RESUMO
DILATAÇÃO DE SÓLIDOS
Todos os corpos quando são aquecidos aumentam as suas distâncias interatômicas devido ao aumento da agitação térmica. Essa dilatação ocorre sempre nas três dimensões mas, para simplificar, consideramos apenas as mais relevantes.
Em relação ao coeficiente de dilatação podemos usar três:
- Quando apenas 1 dimensão for considerada: coeficiente de dilatação linear (α);
- Quando 2 dimensões forem consideradas: coeficiente de dilatação superficial (β = 2α);
- Quando as 3 dimensões forem relevantes: coeficiente de dilatação volumétrica (γ=3α).
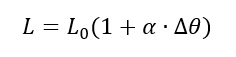
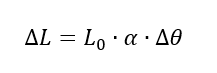
DILATAÇÃO LINEAR
No caso de uma barra metálica, por exemplo, a dimensão mais relevante é o comprimento. A altura e a profundidade por serem muito pequenas, são desprezadas.
A variação de comprimento (∆L) da placa, após um aquecimento ∆θ = θ – θ0, em função do comprimento inicial (L0) e do coeficiente de dilatação linear (α) é dada por:
Substituindo ∆L por , e isolando o L, obtemos:
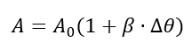
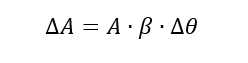
DILATAÇÃO SUPERFICIAL
No caso de uma chapa metálica, por exemplo, apenas a profundidade é desprezível.
A variação da área (∆A) da placa, após um aquecimento ∆θ = θ – θ0, em função da área inicial (A0) e do coeficiente de dilatação superficial (β) é dada por:
Substituindo ∆S por , e isolando o A, obtemos:
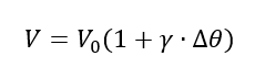
DILATAÇÃO VOLUMÉTRICA
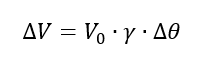
A variação do volume (∆V) de um corpo, após um aquecimento ∆θ = θ – θ0, em função do volume inicial (V0) e do coeficiente de dilatação volumétrica (γ) é dada por:
Substituindo ∆V por , e isolando o V, obtemos:
DILATAÇÃO DE LÍQUIDOS
Os líquidos ocupam um volume delimitado pelo frasco que os contém. Portanto, sua dilatação será sempre volumétrica. Mas como o frasco também se dilata, estamos diante de três dilatações:
DILATAÇÃO ANÔMALA DA ÁGUA
A dilatação da água tem uma pequena anomalia de consequências extraordinárias. Como você pode ver no gráfico abaixo, de 4°C a 0°C o volume da água, em vez de diminuir, aumenta!
Esse estranho comportamento da água, a temperaturas próximas da de solidificação, pode ser entendido pelo processo de transição da água líquida, sem estrutura cristalina definida, para a estrutura cristalina do gelo. As moléculas de água têm uma forma angular que impede um agrupamento muito próximo entre elas, o que, de certa forma, retarda a sua solidificação.
E quando a solidificação acontece, elas formam uma estrutura cristalina muito complicada, cheia de lacunas. Por isso o gelo tem densidade menor do que a água: a 0°C, a pressão normal, 1 kg de água tem 1000 cm3; 1 kg de gelo tem 1 090 cm3. Assim, quando a temperatura da água se aproxima de sua temperatura de solidificação, embora a água ainda esteja líquida, algumas de suas moléculas se antecipam agrupando-se em cristais microscópios e instáveis. São esses cristais que aumentam o volume da água e lhe dão essa anomalidade.
A importância ecológica desse comportamento da água é extraordinária. Para entendê-la, imagine um lago numa região fria. À medida que o inverno se aproxima, a temperatura da água abaixa (e a densidade aumenta). A água mais fria desce e a mais quente sobe, formando correntes ascendentes e descendentes no lago. Mas, quando a temperatura da água de todo o lago chega a 4°C, o processo de convecção é interrompido.
A partir daí, enquanto o inverno vai se acentuando, a superfície do lago vai se congelando, mas abaixo do gelo a água continua líquida. Mas não é só. Como o gelo é um mau condutor de calor, quanto maior a camada de gelo da superfície, maior o isolamento térmico entre o ambiente e a água sob o gelo. O resultado desse processo é que toda espécie de vida aquática que habita o lago é preservada ao longo de todo o inverno. Não é difícil imaginar o que ocorreria se a água não tivesse esse estranho comportamento.
Certamente a vida, se existisse, estaria restrita à faixa tropical da terra.
CAIU NO ENEM!
C (ENEM PPL 2014) Para a proteção contra curtos-circuitos em residências são utilizados disjuntores, compostos por duas lâminas de metais diferentes, com suas superfícies soldadas uma à outra, ou seja, uma lâmina bimetálica. Essa lâmina toca o contato elétrico, fechando o circuito e deixando a corrente elétrica passar. Quando da passagem de uma corrente superior à estipulada (limite), a lâmina se curva para um dos lados, afastando-se do contato elétrico e, assim, interrompendo o circuito. Isso ocorre porque os metais da lâmina possuem uma característica física cuja resposta é diferente para a mesma corrente elétrica que passa no circuito.
A característica física que deve ser observada para a escolha dos dois metais dessa lâmina bimetálica é o coeficiente de
- a) dureza
- b) elasticidade
- c) dilatação térmica.
- d) compressibilidade
- e) condutividade elétrica.
D (ENEM 2009) Durante uma ação de fiscalização em postos de combustíveis, foi encontrado um mecanismo inusitado para enganar o consumidor. Durante o inverno, o responsável por um posto de combustível compra álcool por R$ 0,50/litro, a uma temperatura de 5 °C. Para revender o líquido aos motoristas, instalou um mecanismo na bomba de combustível para aquecê-lo, para que atinja a temperatura de 35 °C, sendo o litro de álcool revendido a R$ 1,60. Diariamente o posto compra 20 mil litros de álcool a 5 ºC e os revende.
Com relação à situação hipotética descrita no texto e dado que o coeficiente de dilatação volumétrica do álcool é de 1×10-3 ºC-1, desprezando-se o custo da energia gasta no aquecimento do combustível, o ganho financeiro que o dono do posto teria obtido devido ao aquecimento do álcool após uma semana de vendas estaria entre
- a) R$ 500,00 e R$ 1.000,00.
- b) R$ 1.050,00 e R$ 1.250,00.
- c) R$ 4.000,00 e R$ 5.000,00.
- d) R$ 6.000,00 e R$ 6.900,00.
- e) R$ 7.000,00 e R$ 7.950,00.
E (ENEM 1999) A gasolina é vendida por litro, mas em sua utilização como combustível, a massa é o que importa. Um aumento da temperatura do ambiente leva a um aumento no volume da gasolina. Para diminuir os efeitos práticos dessa variação, os tanques dos postos de gasolina são subterrâneos. Se os tanques NÃO fossem subterrâneos:
- Você levaria vantagem ao abastecer o carro na hora mais quente do dia pois estaria comprando mais massa por litro de combustível.
- Abastecendo com a temperatura mais baixa, você estaria comprando mais massa de combustível para cada litro.
- Se a gasolina fosse vendida por kg em vez de por litro, o problema comercial decorrente da dilatação da gasolina estaria resolvido.
Destas considerações, somente
- a) I é correta.
- b) II é correta
- c) III é correta
- d) I e II são corretas.
- e) II e III são corretas.
CAIU NO VESTIBULAR!
2018
D (UFRGS 2018) Uma barra metálica de 1 m de comprimento é submetida a um· processo de aquecimento e sofre uma variação de temperatura. O gráfico abaixo representa a variação Δl, em mm, no comprimento da barra, em função da variação de temperatura ΔT, em ºC.
Qual é o valor do coeficiente de dilatação térmica linear do material de que é feita a barra, em unidades 10–6 /ºC?
- a) 0,2.
- b) 2,0.
- c) 5,0.
- d) 20.
- e) 50.
2017
A (IFSUL 2017) A cada ano, milhares de crianças sofrem queimaduras graves com água de torneiras fervendo. A figura a seguir mostra uma vista em corte transversal de um dispositivo antiescaldante, bem simplificado, para prevenir este tipo de acidente.
Dentro do dispositivo, uma mola feita com material com um alto coeficiente de expansão térmica controla o êmbolo removível. Quando a temperatura da água se eleva acima de um valor seguro preestabelecido, a expansão da mola faz com que o êmbolo corte o fluxo de água. Admita que o comprimento inicial L da mola não tensionada seja de 2,40 cm e que seu coeficiente de expansão volumétrica seja de 66,0 x 10-6 °C-1.
Nas condições acima propostas o aumento no comprimento da mola, quando a temperatura da água se eleva de 30 °C, é de
- a) 1,58 x 10-3 cm
- b) 4,74 x 10-3 cm
- c) 3,16 x 10-3 cm
- d) 2,37 x 10-3 cm
D (UNISC 2017) Duas barras metálicas representadas por (A) e (B) possuem comprimentos iniciais L0A e L0B, coeficientes de dilatação lineares αA e αB e sofreram variações de temperatura ∆TA e ∆TB, respectivamente. Sabendo que L0A = 5 ∙ L0B, αB = 8 ∙ αA e ∆TA = 2 ∙ ∆TB, podemos escrever que a razão entre as variações de comprimento ∆LA e ∆LB, ou seja, ∆LA /∆LB vale
- a) 0,25
- b) 0,50
- c) 0,80
- d) 1,25
- e) 1,50
C (IFSUL 2017) Uma chapa retangular, de lados 20 cm e 10 cm feita de um material cujo coeficiente de dilatação linear é igual a 22 x 10-6 °C-1, tem um furo circular no seu centro, cujo diâmetro é 5 cm à 25 °C. Se a chapa for aquecida até 125 °C, afirma-se que a área do furo
- a) diminui e que o diâmetro passa a ser 4,985 cm.
- b) não se altera e que o diâmetro continua sendo 5,000 cm.
- c) aumenta e que o diâmetro passa a ser 5,011 cm.
- d) diminui e que o diâmetro passa a ser 4,890 cm.
D (MACKENZIE 2017) Um cubo regular homogêneo de aresta 20,0 cm está inicialmente a 20,0 °C. O coeficiente de dilatação linear médio do material com que foi fabricado é 2,00 x 10-5 °C-1. Aquecendo-se uniformemente o cubo com uma fonte de calor constante durante 50,0 s, a temperatura se eleva para 120,0 °C. A dilatação ocorrida em uma das superfícies do cubo é
- a) 4,00 x 10-1 cm2
- b) 8,00 x 10-1 cm2
- c) 12,00 x 10-1 cm2
- d) 16,00 x 10-1 cm2
- e) 20,00 x 10-1 cm2
E (CPS 2017) A caminho da erradicação da pobreza, para poder contemplar a todos com o direito à habitação, as novas edificações devem ser construídas com o menor custo e demandar cuidados mínimos de manutenção.
Um acontecimento sempre presente em edificações, e que torna necessária a manutenção, é o surgimento de rachaduras. Há muitas formas de surgirem rachaduras como, por exemplo, pela acomodação do terreno ou ocorrência de terremotos. Algumas rachaduras, ainda, ocorrem devido à dilatação térmica.
A dilatação térmica é um fenômeno que depende diretamente do material do qual o objeto é feito, de suas dimensões originais e da variação de temperatura a que ele é submetido.
Para um objeto como um muro, o acréscimo ou decréscimo da área da superfície do muro é calculado pela expressão:
∆S = S0 ∙β ∙ ∆θ
Em que:
∆S → representa a variação (acréscimo ou diminuição) da área da superfície que o muro apresentará;
S0 → é a área original da superfície do muro, antes de ocorrer a dilatação térmica;
Β → é uma constante que está relacionada com o material que foi utilizado em sua construção;
∆θ → é a variação de temperatura à qual o muro é submetido.
Considere dois muros feitos com o mesmo material, sendo que o menor deles possui uma área de superfície igual a 100 m2, enquanto que o maior tem 200 m2.
Se o muro menor sofrer uma variação de temperatura de + 20 °C e o maior sofrer uma variação de + 40 °C, a variação da área da superfície do muro maior em relação à variação da área da superfície do muro menor, é
- a) quatro vezes menor.
- b) duas vezes menor.
- c) a mesma.
- d) duas vezes maior.
- e) quatro vezes maior.
E (PUC PR 2017) Considere um recipiente de vidro com certo volume de mercúrio, ambos em equilíbrio térmico numa dada temperatura θ0, conforme mostra a figura a seguir.
O conjunto, recipiente de vidro e mercúrio, é colocado num forno à temperatura θ com θ > θ0.
Sejam os coeficientes de dilatação volumétrica do vidro e do mercúrio iguais, respectivamente, a 1,2 x 10-5 °C-1 e 1,8 x 10-4 °C-1.
De quantas vezes o volume do recipiente deve ser maior que o volume inicial de mercúrio, para que o volume vazio do recipiente permaneça constante a qualquer temperatura?
- a) 11
- b) 12
- c) 13
- d) 14
- e) 15
C (UPE-ssa 2 2017) Neste sábado, começa a maior, mais famosa e mais esperada competição do ciclismo mundial, o Tour de France. (…) Do dia 2 ao dia 24 de julho, os ciclistas vão encarar as grandes montanhas francesas e as mais belas paisagens em busca da tão sonhada camisa amarela. (…) Serão vinte e duas etapas – nove planas, uma de alta montanha, nove de montanha e duas de relógio individual – e 3.519 km percorridos ao longo de todo o território francês, uma média de 167,5 km pedalados por dia.
Fonte: http://espn.uol.com.br/noticia/610082_equipes-favoritos-camisas-e-curiosidades-saiba-tudo-sobre-o-tour-de-france-2016. Acessado em 15 de julho de 2016. (Adaptado)
Ao longo dessa competição, um ciclista viaja por diversos locais, onde ele e sua bicicleta experimentam as mais diferentes temperaturas. Desejando um melhor desempenho aerodinâmico na prova, um atleta analisa o comportamento geométrico dos raios (barras cilíndricas maciças) disponíveis para instalar nas rodas de sua bicicleta, com a variação de temperatura. Em seu experimento, dois raios de alumínio, A e B, de comprimentos L e 2L e diâmetros 4r e 2r, respectivamente, são aquecidos até a mesma temperatura, a partir de uma mesma temperatura inicial.
A razão entre o aumento de volume do raio A com respeito ao raio do tipo B é
- a) 1 : 1
- b) 1 : 2
- c) 2 : 1
- d) 1 : 4
- e) 4 : 1
E (PUC RJ 2017) Uma placa de vidro possui as dimensões de 1,0 m x 1,0 m x 1,0 cm quando está à temperatura ambiente. Seu coeficiente de dilatação linear é 9 x 10-6 °C-1.
Se a placa sofrer uma variação de temperatura de 10 °C, de quanto será a variação de volume da placa, em cm3?
- a) 7,3 x 10-11
- b) 7,3 x 10-7
- c) 9,0 x 10-3
- d) 9,0 x 10-1
- e) 2,7
E (PUC RS 2017) As três placas de um mesmo material metálico, A, B e C, representadas na figura abaixo são submetidas a um mesmo aumento na temperatura.
Assumindo que todas as placas inicialmente estejam em equilíbrio térmico entre si, o maior aumento na dimensão paralela ao eixo x e o maior aumento na área ocorrem, respectivamente, nas placas
- a) A e B
- b) A e C
- c) B e A
- d) C e B
- e) C e A
2016
B (UDESC 2016) Uma placa de alumínio com um furo circular no centro foi utilizada para testes de dilatação térmica. Em um dos testes realizados, inseriu-se no furo da placa um cilindro maciço de aço. À temperatura ambiente, o cilindro ficou preso à placa, ajustando-se perfeitamente ao furo, conforme ilustra a figura abaixo.
O valor do coeficiente de dilatação do alumínio é, aproximadamente, duas vezes o valor do coeficiente de dilatação térmica do aço. Aquecendo-se o conjunto a 200 °C, é correto afirmar que:
- a) o cilindro de aço ficará ainda mais fixado à placa de alumínio, pois, o diâmetro do furo da placa diminuirá e o diâmetro do cilindro aumentará.
- b) o cilindro de aço soltar-se-á da placa de alumínio, pois, em decorrência do aumento de temperatura, o diâmetro do furo aumentará mais que o diâmetro do cilindro.
- c) não ocorrerá nenhuma mudança, pois, o conjunto foi submetido à mesma variação de temperatura.
- d) o cilindro soltar-se-á da placa porque sofrerá uma dilatação linear e, em função da conservação de massa, ocorrerá uma diminuição no diâmetro do cilindro.
- e) não é possível afirmar o que acontecerá, pois, as dimensões iniciais da placa e do cilindro são desconhecidas.
(UERJ 2016) Fenda na Ponte Rio-Niterói é uma junta de dilatação, diz CCR
De acordo com a CCR, no trecho sobre a Baía de Guanabara, as fendas existem a cada 400 metros, com cerca de 13 cm de abertura.
oglobo.com, 10/04/2014.
Admita que o material dos blocos que constituem a Ponte Rio-Niterói seja o concreto, cujo coeficiente de dilatação linear é igual a 1 x 10-5 °C-1.
Determine a variação necessária de temperatura para que as duas bordas de uma das fendas citadas na reportagem se unam.
RESPOSTA: 32,5 °c.
C (MACKENZIE 2016)
O gráfico mostra a variação da área lateral de um cilindro metálico em função da temperatura, quando submetido a uma fonte de calor constante. O coeficiente de dilatação volumétrica média do material que constitui o cilindro é
- a) 60,0 x 10-6 °C-1
- b) 120,0 x 10-6 °C-1
- c) 180,0 x 10-6 °C-1
- d) 240,0 x 10-6 °C-1
- e) 300,0 x 10-6 °C-1
D (PUC MG 2016) Deseja-se passar uma esfera metálica através de um orifício localizado no centro de uma chapa metálica quadrada. O diâmetro da esfera é levemente maior que o diâmetro do furo. Para conseguir esse objetivo, o procedimento CORRETO é:
- a) aquecer igualmente a esfera e a chapa.
- b) resfriar apenas a chapa.
- c) resfriar igualmente a esfera e a chapa.
- d) aquecer a chapa.
B (UPE-ssa 2 2016) Por que os lagos congelam só na superfície?
Porque a camada de gelo funciona como uma espécie de cobertor, impedindo que a água mais profunda congele. “A capa gelada faz o papel de isolante térmico. Como o gelo é um mau condutor, ele evita que o resto da água perca calor para a atmosfera”, afirma o glaciologista Jefferson Cardia Simões, da Universidade Federal do Rio Grande do Sul (UFRGS).
Disponível em: http://mundoestranho.abril.com.br/materia/por-que-os-lagos-congelam-so-na-superficie, acessado em:
O comportamento diferenciado da densidade da água em baixas temperaturas, quando comparada com outras substâncias, permite que o fundo dos lagos não congele, preservando a vida nesses ecossistemas, nos períodos de inverno. Sobre isso, o gráfico que melhor descreve a variação da densidade da água, d, com a temperatura, T, está indicado na alternativa
2015
- a) 20 °C
- b) 15 °C
- c) 10 °C
- d) 5 °C
- e) 0 °C
2014
B (PUC RS 2014) O piso de concreto de um corredor de ônibus é constituído de secções de 20 m separadas por juntas de dilatação. Sabe-se que o coeficiente de dilatação linear do concreto é 12 x 10-6 °C-1 e que a variação de temperatura no local pode chegar a 50°C entre o inverno e o verão. Nessas condições, a variação máxima de comprimento, em metros, de uma dessas secções, devido à dilatação térmica, é
- a) 1,0 x 10-2
- b) 1,2 x 10-2
- c) 2,4 x 10-4
- d) 4,8 x 10-4
- e) 6,0 x 10-4
D (FUVEST 2014) Uma lâmina bimetálica de bronze e ferro, na temperatura ambiente, é fixada por uma de suas extremidades, como visto na figura abaixo.
Nessa situação, a lâmina está plana e horizontal. A seguir, ela é aquecida por uma chama de gás. Após algum tempo de aquecimento, a forma assumida pela lâmina será mais adequadamente representada pela figura:
D (CPS 2014) Quem viaja de carro ou de ônibus pode ver, ao longo das estradas, torres de transmissão de energia tais como as da figura.
Olhando mais atentamente, é possível notar que os cabos são colocados arqueados ou, como se diz popularmente, “fazendo barriga”.
A razão dessa disposição é que
- a) a densidade dos cabos tende a diminuir com o passar dos anos.
- b) a condução da eletricidade em alta tensão é facilitada desse modo.
- c) o metal usado na fabricação dos cabos é impossível de ser esticado.
- d) os cabos, em dias mais frios, podem encolher sem derrubar as torres.
- e) os ventos fortes não são capazes de fazer os cabos, assim dispostos, balançarem.
2013
B (UFRN 2013) Em uma oficina mecânica, o mecânico recebeu um mancal “engripado”, isto é, o eixo de aço está colado à bucha de bronze, conforme mostra a figura a seguir.
Nessa situação, como o eixo de aço está colado à bucha de bronze devido à falta de uso e à oxidação entre as peças, faz-se necessário separar essas peças com o mínimo de impacto de modo que elas possam voltar a funcionar normalmente.
Existem dois procedimentos que podem ser usados para separar as peças: o aquecimento ou o resfriamento do mancal (conjunto eixo e bucha).
Sabendo-se que o coeficiente de dilatação térmica linear do aço é menor que o do bronze, para separar o eixo da bucha, o conjunto deve ser
- a) aquecido, uma vez que, nesse caso, o diâmetro do eixo aumenta mais que o da bucha.
- b) aquecido, uma vez que, nesse caso, o diâmetro da bucha aumenta mais que o do eixo.
- c) esfriado, uma vez que, nesse caso, o diâmetro da bucha diminui mais que o do eixo.
- d) esfriado, uma vez que, nesse caso, o diâmetro do eixo diminui mais que o da bucha .
2012
Para ilustrar a dilatação dos corpos, um grupo de estudantes apresenta, em uma feira de ciências, o instrumento esquematizado na figura acima. Nessa montagem, uma barra de alumínio com 30 cm de comprimento está apoiada sobre dois suportes, tendo uma extremidade presa ao ponto inferior do ponteiro indicador e a outra encostada num anteparo fixo. O ponteiro pode girar livremente em torno do ponto O, sendo que o comprimento de sua parte superior é 10 cm e, o da inferior, 2 cm. Se a barra de alumínio, inicialmente à temperatura de 25 ° C, for aquecida a 225 °C, o deslocamento da extremidade superior do ponteiro será, aproximadamente, de- a) 1 mm.
- b) 3 mm.
- c) 6 mm.
- d) 12 mm.
- e) 30 mm.
2010
C (MACKENZIE 2010) Uma placa de alumínio (coeficiente de dilatação linear do alumínio = 2.10-5 ºC-1), com 2,4 m2 de área à temperatura de – 20 ºC, foi aquecido à 176 ºF. O aumento de área da placa foi de
- a) 24 cm2
- b) 48 cm2
- c) 96 cm2
- d) 120 cm2
- e) 144 cm2
B (MACKENZIE 2010) Uma chapa metálica de área 1 m2, ao sofrer certo aquecimento, dilata de 0,36 mm2. Com a mesma variação de temperatura, um cubo de mesmo material, com volume inicial de 1 dm3, dilatará:
- a) 0,72 mm3
- b) 0,54 mm3
- c) 0,36 mm3
- d) 0,27 mm3
- e) 0,18 mm3
A (UFRN 2010) A figura 1, abaixo, mostra o esquema de um termostato que utiliza uma lâmina bimetálica composta por dois metais diferentes – ferro e cobre – soldados um sobre o outro.
Quando uma corrente elétrica aquece a lâmina acima de uma determinada temperatura, os metais sofrem deformações, que os encurvam, desfazendo o contato do termostato e interrompendo a corrente elétrica, conforme mostra a figura 2.
A partir dessas informações, é correto afirmar que a lâmina bimetálica encurva-se para cima devido ao fato de
- a) o coeficiente de dilatação térmica do cobre ser maior que o do ferro.
- b) o coeficiente de dilatação térmica do cobre ser menor que o do ferro.
- c) a condutividade térmica do cobre ser maior que a do ferro.
- d) a condutividade térmica do cobre ser menor que a do ferro.
2009
D (ESPCEX 2009) Um estudante de Física, desejando medir o coeficiente de dilatação volumétrico de uma substância líquida, preenche completamente um recipiente de 400 cm3 de volume interno com a referida substância. O conjunto encontra-se inicialmente à temperatura de equilíbrio t1= 10 ºC e é aquecido até a temperatura de equilíbrio t2= 90 ºC. O coeficiente de dilatação volumétrica do recipiente é 4,0 · 10-5 ºC-1 . Sabendo que houve um transbordamento de 20 cm3 do líquido, o coeficiente de dilatação da substância líquida é de
- a) 2,25 · 10-4 ºC-1
- b) 5,85 · 10-4 ºC-1
- c) 6,25 · 10-4 ºC-1
- d) 6,65 · 10-4 ºC-1
- e) 1,03 · 10-3 ºC-1
2007
B (Pucrj 2007) Uma chapa quadrada, feita de um material encontrado no planeta Marte, tem área A = 100,0 cm2 a uma temperatura de 100 °A uma temperatura de 0,0 °C, qual será a área da chapa em cm2? Considere que o coeficiente de expansão linear do material é α = 2,0 × 10-3 °C-1.
- a) 74,0
- b) 64,0
- c) 54,0
- d) 44,0
- e) 34,0
2006
C (UFMG 2006) João, chefe de uma oficina mecânica, precisa encaixar um eixo de aço em um anel de latão, como mostrado nesta figura:
À temperatura ambiente, o diâmetro do eixo é maior que o do orifício do anel.
Sabe-se que o coeficiente de dilatação térmica do latão é maior que o do aço.
Diante disso, são sugeridos a João alguns procedimentos, descritos nas alternativas a seguir, para encaixar o eixo no anel.
Assinale a alternativa que apresenta um procedimento que NÃO permite esse encaixe.
- a) Resfriar apenas o eixo.
- b) Aquecer apenas o anel.
- c) Resfriar o eixo e o anel.
- d) Aquecer o eixo e o anel.
1999
D (FATEC 1999) Um bloco maciço de zinco tem forma de cubo, com aresta de 20 cm a 50° C. O coeficiente de dilatação linear médio do zinco é 25 x 10-6°C-1.
O valor, em cm3, que mais se aproxima do volume desse cubo a uma temperatura de -50°C é:
- a) 8060
- b) 8000
- c) 7980
- d) 7940
- e) 7700















