PROVAS ANTERIORES
2020-1
- 2020_1__sem_-_Grupos__I_-_IV_-_V_-_VI
- 2020_1__sem_-_Grupos__I_-_IV_-_V_-_VI_-_Gabarito
- 2020_1__sem_-_Grupos__II_-_III
- 2020_1__sem_-_Grupos__II_-_III_-_Gabarito
2019-1
- 2019_1__sem_-_Grupos__I_-_IV_-_V_-_VI
- 2019_1__sem_-_Grupos__I_-_IV_-_V_-_VI_-_Gabarito
- Gabarito_-_Grupos_II_-_III_-_Manhã_-_2019_1__sem
- Gabarito_CAMPINAS_2019_1__semestre
- Provas_grupos_II_e_III
2018-2
2018-1
- ARQUITETURA_HE_NEW
- Gabarito_-_Grupos__I_-_IV_-_V_-_VI_-_Tarde_-_2018_1o_sem__1_
- Gabarito_-_Grupos_II_-_III_-_Manha_-_2018_1o_sem
- Prova_-_Grupos__I_-_IV_-_V_-_VI_-_Tarde_-_2018_1o_sem__2_
- Provas_-_Grupos_II_e_II_-_Manha_-_2018_1o_sem
2017-2
- Gabarito Mackenzie 2017.2 – Campinas
- Gabarito Mackenzie 2017.2
- Prova Mackenzie 2017.2 – THE Arquitetura e Urbanismo
- Prova Mackenzie 2017.2 – THE Design
- Prova Mackenzie 2017.2
2017-1
- Gabarito Mackenzie 2017.1 – Campinas
- Gabarito Mackenzie 2017.1 – Grupos I, IV, V e VI
- Gabarito Mackenzie 2017.1 – Grupos II e III
- Gabarito Mackenzie 2017.1 – THE Arquitetura e Urbanismo
- Gabarito Mackenzie 2017.1 – THE Design
- Prova Mackenzie 2017.1 – Grupos I, IV, V e VI
- Prova Mackenzie 2017.1 – Grupos II e III
2016-2
- Gabarito Mackenzie 2016.2 – Campinas – 07.06
- Gabarito Mackenzie 2016.2 – Campinas – 11.06
- Prova Habilidade Específica Mackenzie 2016.2 – Campinas
- Provas Mackenzie 2016.2 – Campinas
- 2016-2º-sem-Gabarito
- 2016-2º-sem-Provas
2016-1
2015-2
2015-1
- Vestibular_2015_1o_Arquitetura
- Vestibular_2015_1o_Design
- Vestibular_2015_1o_Gabarito_I_IV_V_VI
- Vestibular_2015_1o_Gabarito_II_III
- Vestibular_2015_1o_Grupos_I_IV_V_VI
- Vestibular_2015_1o_Grupos_II_III
2014-2
2014-1
- Grupos__I_IV_V__VI_2014_1o_sem
- Gabarito_2013_Dez_Grupos_I__IV__V__VI
- Grupos_II__III_2014_1o_sem
- Gabarito_2013_Dez_Grupos_II___III
- Arquitetura
- Design
2013-2
2013-1
- Prova_-_Grupos_I_-_IV_-_V_-_VI__-_8_dez_2012
- Gabarito_Grupos_I_-_IV_-_V_-_VI_-_8_dez_2012
- Prova_-_Grupos_II_-_III__-_9_dez_2012
- Prova_HE_-_Arquitetura_2013_1o_sem
- Prova_HE_-_Design_2013_1o_sem
2012-2
2012-1
- Gabarito- II – III
- Prova – II – III
- Gabarito_I – IV – V – VI
- Prova I – IV – V – VI
- Habilidade_-_Arquitetura_13_dez_11
- Habilidade_-_Design_13_dez_11
2011-2
2011-1
- 13_12_prova_a
- Gabarito_13_dez_2010_-_Grupos_II_-_III
- 14_12_prova_a
- Gabarito14.12
- 13_12_arquitetura
- 13_12_design
MAPA DE CLASSIFICAÇÃO
2018-1
GRUPOS II E III
| QUÍMICA | FÍSICA |
|
|
GRUPOS I, IV, V E VI
| QUÍMICA | FÍSICA |
|
|
2017-2
| QUÍMICA | FÍSICA |
|
|
2017-1
GRUPOS II E III
| QUÍMICA | FÍSICA |
|
|
GRUPOS I, IV, V E VI
| QUÍMICA | FÍSICA |
|
|
2016-2
| QUÍMICA | FÍSICA |
|
|
2015-1
GRUPOS II E III
FÍSICA
- 54 – TRABALHO NO CAMPO ELÉTRICO
- 55 – QUEDA LIVRE
- 56 – ENERGIA
- 57 – ATRITO
- 58 – ESTÁTICA DO CORPO EXTENSO
- 59 – ESPELHOS ESFÉRICOS
- 60 – CIRCUITOS (PONTE DE WHEATSONE)
GRUPOS I, IV, V E VI
FÍSICA
- 54 – CARGA ELÉTRICA E ELETRIZAÇÃO
- 55 – INTRODUÇÃO À ONDAS
- 56 – ENERGIA
- 57 – QUEDA LIVRE
- 58 – ESPELHOS ESFÉRICOS
- 59 – GASES
- 60 – LANÇAMENTO OBLÍQUO
QUÍMICA NO MACKENZIE
QUÍMICA GERAL
(LIGAÇÕES QUÍMICAS) B (MACKENZIE 2018) Assinale (V) para verdadeiro e (F) para falso, para as afirmações abaixo.
( ) Os metais apresentam alta condutividade elétrica, mas baixa condutividade térmica.
( ) O bronze é uma liga formada por cobre e estanho.
( ) Compostos iônicos conduzem corrente elétrica em meio aquoso e quando fundidos.
( ) A ligação covalente ocorre entre metais e não metais. O KBr é um exemplo.
( ) O dióxido de carbono é uma molécula apolar, mas que possui ligações covalentes polares.
A sequência correta de preenchimento dos parênteses, de cima para baixo é
- a) F, F, V, F e V.
- b) F, V, V, F e V.
- c) V, F, V, F e V.
- d) F, F, V, F e F.
- e) V, V, F, V e F.
(LIGAÇÕES QUÍMICAS) E (MACKENZIE 2017) Em dezembro de 2016, a IUPAC (International Union of Pure and Applied Chemistry) oficializou a nomenclatura dos novos elementos químicos, presentes no sétimo período da tabela periódica. Assim, os elementos 113 (grupo 13), 115 (grupo 15), 117 (grupo 17) e 118 (grupo 18) passaram a ser denominados, respectivamente, de Nihonium (Nh), Moscovium (Mc), Tennessine (Ts) e Oganesson (Og). Pode-se afirmar que o elemento
Dado: Número atômico (Z): O = 8
- a) Nh forma o íon Nh3-.
- b) Mc é um metal de transição.
- c) Ts é um elemento representativo e pertence ao mesmo grupo do oxigênio.
- d) Og é um gás nobre e apresenta configuração da camada de valência 6s2 6p2.
- e) Nh pode combinar-se com um halogênio (X), formando o composto hipotético NhX3.
(LIGAÇÕES QUÍMICAS) B (MACKENZIE 2017) Assinale a alternativa que apresenta compostos químicos que possuam geometria molecular, respectivamente, linear, trigonal plana e piramidal.
Dados: número atômico (Z) H = 1, C = 6, N = 7, O = 8, F = 9 e S = 16.
- a) H2O, SO3 e CH4.
- b) CO2, SO3 e NH3.
- c) CH4, SO2 e HF.
- d) CO2, SO2 e NH3.
- e) H2O, SO2 e HF.
(LIGAÇÕES QUÍMICAS) D (MACKENZIE 2017) Assinale a alternativa que apresenta compostos químicos que possuam, respectivamente, ligação covalente polar, ligação covalente apolar e ligação iônica.
- a) H2O, CO2 e NaCl.
- b) CCl4, O3 e HBr.
- c) CH4, SO2 e HI.
- d) CO2, O2 e KCl.
- e) H2O, H2 e HCl.
(FUNÇÕES INORGÂNICAS) D (MACKENZIE 2018) Indicadores são substâncias que mudam de cor na presença de íons H+ e OH– livres em uma solução. Justamente por esta propriedade, são usados para indicar o pH, ou seja, os indicadores “indicam” se uma solução é ácida ou básica. Esses indicadores podem ser substâncias sintéticas como a fenolftaleína e o azul de bromotimol, ou substâncias que encontramos em nosso cotidiano, como por exemplo, o suco de repolho roxo, que apresenta uma determinada coloração em meio ácido e uma outra coloração em meio básico. A tabela a seguir ilustra as cores características dessas substâncias nos intervalos ácido e básico.
Assim, um estudante preparou três soluções aquosas concentradas de diferentes substâncias, de acordo com a ilustração abaixo.
- a) róseo, vermelho e amarelo.
- b) incolor, verde e amarelo.
- c) incolor, verde e azul.
- d) róseo, vermelho e azul.
- e) incolor, vermelho e azul.
(FUNÇÕES INORGÂNICAS) B (MACKENZIE 2016) Alguns produtos comercializados no mercado têm como principais componentes substâncias inorgânicas, nas quais o elemento químico sódio encontra-se presente. Na tabela abaixo, segue a relação de algumas dessas substâncias.
Assinale a alternativa na qual encontram-se as fórmulas químicas das substâncias inorgânicas presentes nos produtos comercializados, na ordem que aparecem na tabela, de cima para baixo.
(REAÇÕES ÁCIDO-BASE) B (MACKENZIE 2016) Em 1920, o cientista dinamarquês Johannes N. Brönsted e o inglês Thomas M. Lowry propuseram, independentemente, uma nova definição de ácido e base diferente do conceito até então utilizado de Arrhenius. Segundo esses cientistas, ácido é uma espécie química (molécula ou íon) capaz de doar próton (H+) em uma reação. Já, a base é uma espécie química (molécula ou íon) capaz de receber próton (H+) em uma reação. Abaixo está representada uma reação com a presença de ácidos e bases de acordo com a teoria ácido-base de Brönsted-Lowry.
De acordo com essas informações, assinale a alternativa que possui, respectivamente, um ácido e uma base de Brönsted-Lowry.
(ESTEQUIOMETRIA) C (MACKENZIE 2018) A partir de um minério denominado galena, rico em sulfeto de chumbo II (PbS), pode-se obter o metal chumbo em escala industrial, por meio das reações representadas pelas equações de oxirredução a seguir, cujos coeficientes estequiométricos encontram-se já ajustados:
- a) 621 kg.
- b) 559 kg.
- c) 447 kg.
- d) 425 kg.
- e) 382 kg.
(ESTEQUIOMETRIA) D (MACKENZIE 2017) Na reação de neutralização, representada pela equação não balanceada, quando são misturados 444 g de Ca(OH)2 e 294 g de H3PO4 ,
- a) o hidróxido de cálcio encontra-se em excesso.
- b) são formados 162 g de água.
- c) a reação produz 465 g de fosfato de cálcio.
- d) permaneceram sem reagir 74 g de hidróxido de cálcio.
- e) o ácido fosfórico é o reagente limitante.
(ESTEQUIOMETRIA) D (MACKENZIE 2016) A reação entre o ferro e a solução de ácido clorídrico pode ser equacionada, sem o acerto dos coeficientes estequiométricos, por
Em uma análise no laboratório, após essa reação, foram obtidos 0,002 mol de FeCl2. Considerando-se que o rendimento do processo seja de 80%, pode-se afirmar que reagiram
- a) 5,600·10–2 g de ferro.
- b) 1,460·10–1 g de ácido clorídrico.
- c) 1,680·10–1 g de ferro.
- d) 1,825·10–1 g de ácido clorídrico.
- e) 1,960·10–1 g de ferro.
(O ESTADO GASOSO) C (MACKENZIE 2018) Certa massa fixa de um gás ideal, sob temperatura de 30 ºC e pressão de 2 atm, foi submetida a uma transformação isocórica, em que sua temperatura foi aumentada em 150 unidades. Dessa forma, é correto afirmar que, durante a transformação,
- a) além do volume, a pressão manteve-se constante.
- b) apenas o volume permaneceu constante, e no final, a pressão exercida por essa massa gasosa, foi aumentada para aproximadamente 12 atm.
- c) apenas o volume permaneceu constante, e no final, a pressão exercida por essa massa gasosa, foi aumentada para aproximadamente 3 atm.
- d) apenas o volume permaneceu constante, e no final, a pressão exercida por essa massa gasosa, foi diminuída para aproximadamente 1 atm.
- e) apenas o volume permaneceu constante, e no final, a pressão exercida por essa massa gasosa, foi diminuída para aproximadamente 0,33 atm.
(O ESTADO GASOSO) E (MACKENZIE 2016) Em um experimento no qual foi envolvido um determinado gás ideal X, uma amostra de 2,0 g desse gás ocupou o volume de 623 mL de um balão de vidro, sob temperatura de 127 ºC e pressão de 1000 mmHg. Considerando-se que esse gás X seja obrigatoriamente um dos gases presentes nas alternativas a seguir, identifique-o.
- a) H2
- b) O2
- c) NO2
- d) SO2
- e) SO3
FÍSICO-QUÍMICA
(SOLUÇÕES) D (MACKENZIE 2018) Em uma embalagem de 2 L de água sanitária, facilmente encontrada em supermercados, encontra-se a seguinte informação:
- Há de 20 a 25 g de cloro ativo por litro dessa solução comercial.
- Na piscina A, a solução formada após a diluição seria irritante aos olhos do usuário dessa piscina.
- Na piscina B, a solução formada após a diluição seria adequada ao tratamento de água.
- a) nenhuma é correta.
- b) são corretas, apenas, I e II.
- c) são corretas, apenas, II e III.
- d) são corretas, apenas, I e III.
- e) todas são corretas.
Analisando os valores tabelados, assinale a alternativa que representa corretamente a fórmula dos cátions e ânions, respectivamente, que se encontram em maior quantidade em mols, em 1 L dessa água mineral.- A solubilização do sal X, em água, é exotérmica.
- Ao preparar-se uma solução saturada do sal X, a 60 ºC, em 200 g de água e resfriá-la, sob agitação até 10 ºC, serão precipitados 19 g desse sal.
- Uma solução contendo 90 g de sal e 300 g de água, a 50 ºC, apresentará precipitado.
- a) nenhuma das afirmativas está certa.
- b) apenas a afirmativa II está certa.
- c) apenas as afirmativas II e III estão certas.
- d) apenas as afirmativas I e III estão certas.
- e) todas as afirmativas estão certas.
(TERMOQUÍMICA) B (MACKENZIE 2018) O gás de água é uma mistura gasosa que contém monóxido de carbono e hidrogênio. Por ser um produto industrial da reação de passagem de vapor de água através do carvão incandescente, seu processo pode ser equacionado por
- a) – 131,3 kJ.
- b) + 131,3 kJ.
- c) – 352,3 kJ.
- d) + 352,3 kJ.
- e) 0 kJ.
(TERMOQUÍMICA) D (MACKENZIE 2017) O etanol, produzido por meio da fermentação do açúcar extraído da cana-de-açúcar, é um combustível renovável extremamente difundido no território nacional, e possui entalpia-padrão de combustão de -1368 kJ∙mol-1. Considerando-se os dados fornecidos na tabela abaixo, é correto afirmar que, a entalpia-padrão de formação do etanol é de
- a) reduzida a um quarto.
- b) reduzida à metade.
- c) mantida constante.
- d) duplicada.
- e) quadruplicada.
- As ordens de reação para os reagentes A e B2, respectivamente, são 2 e 1.
- A equação cinética da velocidade para o processo pode ser representada pela equação v = k∙[A]2∙[B2].
- A constante cinética da velocidade k tem valor igual a 200.
- a) nenhuma afirmativa é certa.
- b) apenas a afirmativa I está certa.
- c) apenas as afirmativas I e II estão certas.
- d) apenas as afirmativas II e III estão certas.
- e) todas as afirmativas estão certas.
(EQUILÍBRIO QUÍMICO) A (MACKENZIE 2018) Considerando-se o equilíbrio químico equacionado por A(g) + 2 B(g) ⇌ AB2(g), sob temperatura de 300 K, a alternativa que mostra a expressão correta da constante de equilíbrio em termos de concentração em mols por litro é
(EQUILÍBRIO QUÍMICO) B (MACKENZIE 2017) Em um balão de capacidade igual a 10 L, foram adicionados 1 mol da espécie A2(g) e 2 mols da espécie B2(g). Tais reagentes sofreram transformação de acordo com a equação a seguir:
Considerando-se que, no estado de equilíbrio químico, a concentração da espécie AB(g) seja de 0,1 mol·L-1, a constante de equilíbrio (KC), para esse processo, é aproximadamente igual a
- a) 0,25
- b) 1,33
- c) 5,00
- d) 6,66
- e) 7,50
(EQUILÍBRIO QUÍMICO) E (MACKENZIE 2006)
O aumento da produção de CCl4, no sistema em equilíbrio acima, pode ser obtido
- a) com a diminuição da quantidade de CHCl3.
- b) com o aumento da pressão total, a temperatura constante.
- c) com a diminuição da quantidade de Cl2.
- d) com o decréscimo da pressão total, a temperatura constante.
- e) com a diminuição da quantidade de HCl.
(EQUILÍBRIO QUÍMICO) A (MACKENZIE 2005) O equilíbrio químico que não será afetado pelo aumento ou diminuição da pressão é
(EQUILÍBRIO QUÍMICO) D (MACKENZIE 2005)
A reação acima ocorreu num sistema fechado, entre quantidades estequiométricas de reagentes. Após alcançado o equilíbrio, pode-se representar o sistema por
(EQUILÍBRIO QUÍMICO) D (MACKENZIE 2005)
Essa equação representa a reação que ocorre no “galinho do tempo”, enfeite cuja superfície é impregnada por uma solução em que se
estabelece o equilíbrio dado acima. O “galinho do tempo” indica, pela cor, como o tempo vai ficar.
Fazem-se as afirmações:
- Quando a umidade relativa do ar está alta, o galinho fica rosa.
- Quando a temperatura aumenta, o galinho fica azul.
- Quando o galinho fica azul, há indicativo de tempo bom, sem previsão de chuva.
Das afirmações,
- a) somente II está correta.
- b) somente I e III estão corretas.
- c) somente III está correta.
- d) I, II e III estão corretas.
- e) somente I e II estão corretas.
(EQUILÍBRIO QUÍMICO) A (MACKENZIE 2002)
O rendimento da reação de obtenção da amônia diminui, se a:
- a) pressão do sistema diminuir.
- b) concentração do gás nitrogênio aumentar.
- c) concentração do gás hidrogênio aumentar.
- d) temperatura do sistema diminuir.
- e) pressão do sistema aumentar.
(EQUILÍBRIO QUÍMICO) D (MACKENZIE 2002)
Da reação acima equacionada, pode-se afirmar que o equilíbrio:
- a) desloca-se no sentido 2, se a pressão aumentar.
- b) desloca-se no sentido 1, se a concentração do Cl2 aumentar.
- c) desloca-se no sentido 1, se for adicionado um catalisador.
- d) desloca-se no sentido 2, se a concentração de gás oxigênio diminuir.
- e) não se altera, se a pressão diminuir.
(EQUILÍBRIO IÔNICO) C (MACKENZIE 2017) Um aluno preparou três soluções aquosas, a 25 ºC, de acordo com a figura abaixo.
Conhecedor dos conceitos de hidrólise salina, o aluno fez as seguintes afirmações:
- a solução de nitrato de potássio apresenta caráter neutro.
- o cianeto de sódio sofre ionização em água, produzindo uma solução básica.
- ao verificar o pH da solução de brometo de amônio, a 25 ºC, conclui-se que Kb > Ka.
representa a hidrólise do cátion amônio.
Estão corretas somente as afirmações
- a) I e II.
- b) I, II e III.
- c) I e IV.
- d) II e III.
- e) I, II e IV.
(ELETROQUÍMICA) D (MACKENZIE 2018) De acordo com os conceitos de eletroquímica, é correto afirmar que
- a) a ponte salina é a responsável pela condução de elétrons durante o funcionamento de uma pilha.
- b) na pilha representada por Zn(s) /Zn2+(aq )//Cu2+(aq )/Cu(s), o metal zinco representa o cátodo da pilha.
- c) o resultado positivo da ddp de uma pilha, por exemplo, +1,10 V, indica a sua não espontaneidade, pois essa pilha está absorvendo energia do meio.
- d) na eletrólise o ânodo é o polo positivo, onde ocorre o processo de oxidação.
- e) a eletrólise ígnea só ocorre quando os compostos iônicos estiverem em meio aquoso.
(ELETROQUÍMICA) A (MACKENZIE 2017) Um dos modos de se produzirem gás hidrogênio e gás oxigênio em laboratório é promover a eletrólise (decomposição pela ação da corrente elétrica) da água, na presença de sulfato de sódio ou ácido sulfúrico. Nesse processo, usando para tal um recipiente fechado, migram para o cátodo (polo negativo) e ânodo (polo positivo), respectivamente, H2 e O2. Considerando-se que as quantidades de ambos os gases são totalmente recolhidas em recipientes adequados, sob mesmas condições de temperatura e pressão, é correto afirmar que
Dados: massas molares (g·mol-1) H = 1 e O = 16.
- a) o volume de H2(g) formado, nesse processo, é maior do que o volume de O2(g).
- b) serão formados 2 mols de gases para cada mol de água decomposto.
- c) as massas de ambos os gases formados são iguais no final do processo.
- d) o volume de H2(g) formado é o quádruplo do volume de O2(g) formado.
- e) a massa de O2(g) formado é o quádruplo da massa de H2(g) formado.
- a) I, II e IV, apenas.
- b) II e III, apenas.
- c) I, II e III, apenas.
- d) I e II, apenas.
- e) I e IV, apenas.
- . Ao partir-se de 1 kg de plutônio-238, após 176 anos, restarão 250 g desse isótopo.
- A equação
representa a emissão que ocorre nesse isótopo. - A quantidade de nêutrons existentes no núcleo do plutônio-238 é de 144.
- a) não há nenhuma afirmação verdadeira.
- b) são verdadeiras apenas as afirmações I e II.
- c) são verdadeiras apenas as afirmações I e III.
- d) são verdadeiras apenas as afirmações II e III.
- e) todas as afirmações são verdadeiras.
- a) A fusão nuclear é o processo de junção de núcleos atômicos menores formando núcleos atômicos maiores, absorvendo uma grande quantidade
de energia. - b) A fissão nuclear é o processo utilizado na produção de energia nas usinas atômicas, com baixo impacto ambiental, sendo considerada uma energia
limpa e sem riscos. - c) No Sol ocorre o processo de fissão nuclear, liberando uma grande quantidade de energia.
- d) A equação:
representa uma reação de fissão nuclear.
- e) O processo de fusão nuclear foi primeiramente dominado pelos americanos para a construção das bombas atômicas de Hiroshima e Nagasaki.
Por sua vez, o livermório sofre decaimento. Em 47 milissegundos, forma o fleróvio, como mostra a equação de decaimento abaixo.
Assim, x e y, presentes nas equações acima, representam, respectivamente,
- a) pósitrons e o elemento hélio.
- b) elétrons e partícula beta.
- c) prótons e radiação gama.
- d) deutério e nêutron.
- e) nêutrons e partícula alfa.
(RADIOATIVIDADE) A (MACKENZIE 2016) O urânio-238, após uma série de emissões nucleares de partículas alfa e beta, transforma-se no elemento químico chumbo-206 que não mais se desintegra, pelo fato de possuir um núcleo estável. Dessa forma, é fornecida a equação global que representa o decaimento radioativo ocorrido.
Assim, analisando a equação acima, é correto afirmar-se que foram emitidas
- a) 8 partículas α e 6 p artículas β.
- b) 7 partículas α e 7 p artículas β.
- c) 6 partículas α e 8 p artículas β.
- d) 5 partículas α e 9 p artículas β.
- e) 4 partículas α e 10 partículas β.
QUÍMICA ORGÂNICA
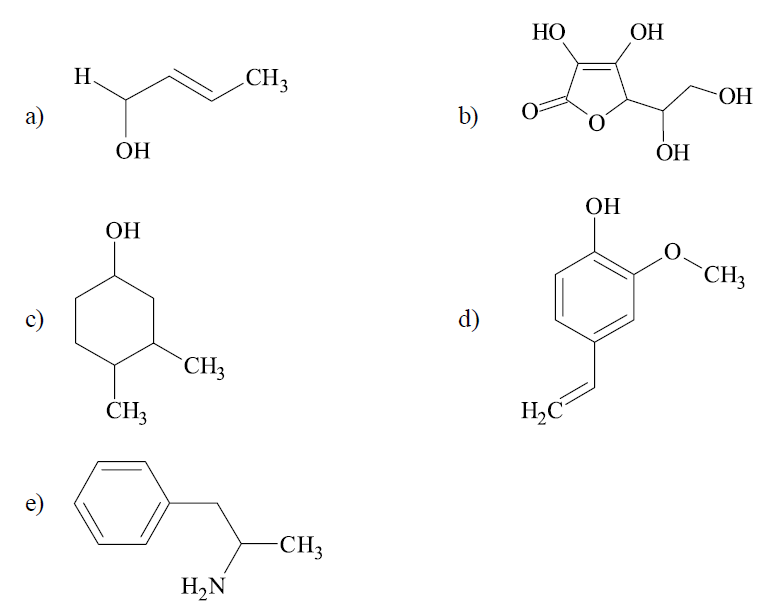
(FUNÇÕES ORGÂNICAS) E(MACKENZIE 2018) Associe o composto orgânico à sua fórmula molecular.
A sequência correta de preenchimento dos parênteses, de cima para baixo, é
- a) 3, 6, 5, 1, 2 e 4.
- b) 3, 2, 4, 6, 5 e 1.
- c) 4, 1, 5, 6, 2 e 3.
- d) 5, 6, 4, 1, 3 e 2.
- e) 4, 6, 5, 1, 2 e 3.
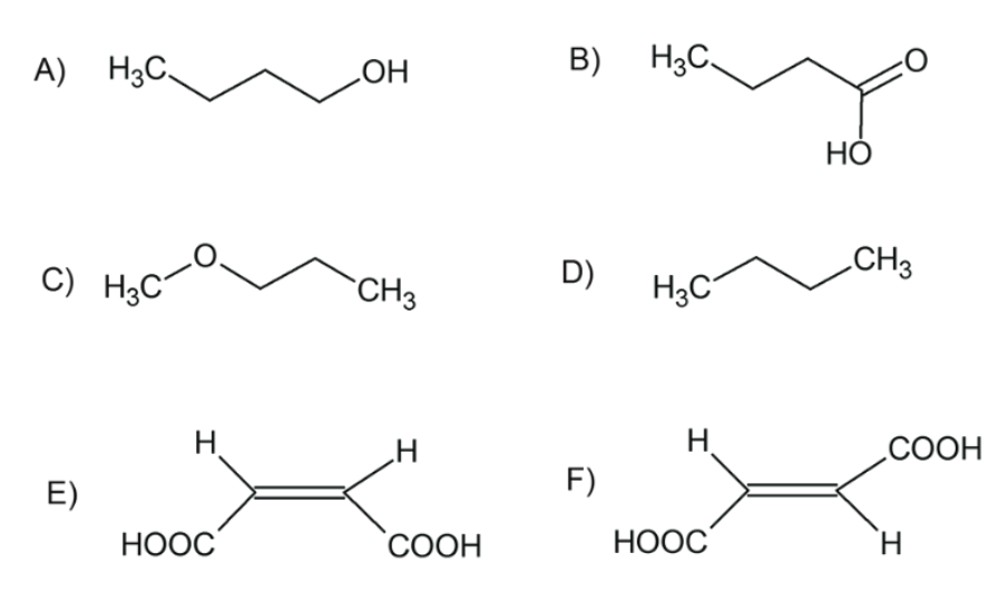
(ISOMERIA) B (MACKENZIE 2018) Dados os seguintes compostos orgânicos:
- A e B são isômeros funcionais e B possui ponto de ebulição maior do que A.
- D não possui isômeros funcionais e apresenta pressão de vapor maior do que B.
- E e F são isômeros geométricos, onde E é polar e F é apolar.
- A e C são isômeros constitucionais, sendo C mais volátil do que A.
- D possui um isômero de cadeia e é líquido à temperatura ambiente devido às suas ligações de hidrogênio intermoleculares.
- a) I, II e IV.
- b) II, III e IV.
- c) I e V.
- d) II, III e V.
- e) IV e V.
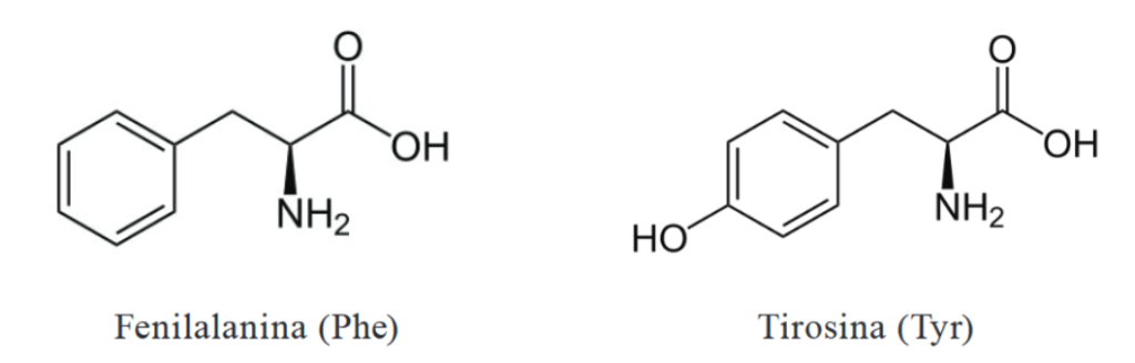
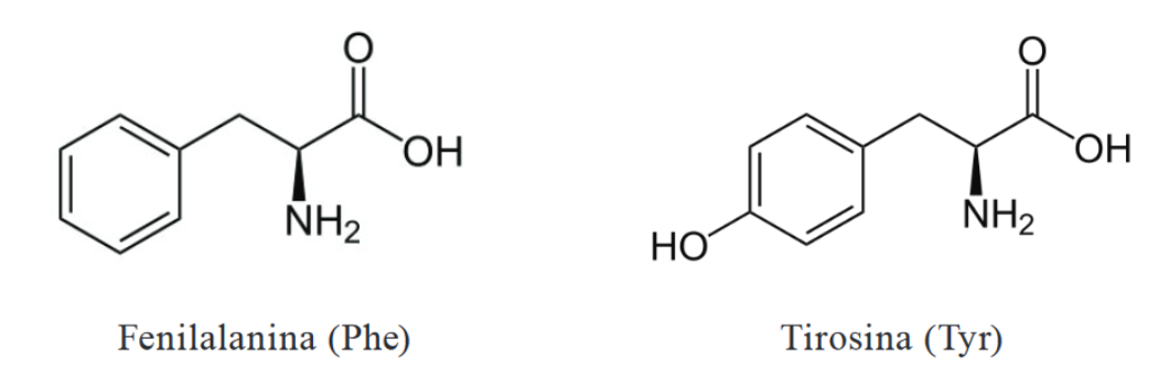
- a) ambas possuem carbono quiral, mas somente a Tyr possui grupo funcional álcool.
- b) a hidroxilação da Phe ocorre na posição meta do anel aromático.
- c) a Tyr forma maior número de ligações de hidrogênio intermolecular do que a Phe.
- d) a Tyr possui 4 isômeros ópticos e a Phe apresenta isômeros geométricos.
- e) ambas possuem 7 átomos de carbono com geometria linear.
(ISOMERIA) D (MACKENZIE 2017) A isomeria é um fenômeno que ocorre em diversos compostos orgânicos. Assim, assinale a alternativa, que possui uma molécula orgânica capaz de apresentar simultaneamente isomeria geométrica e óptica.
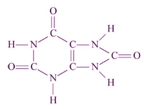
(ISOMERIA) D (MACKENZIE 2017) A gota é um tipo de artrite causada pela presença de níveis mais altos do que o normal de ácido úrico na corrente sanguínea. Isso pode ocorrer quando o corpo produz ácido úrico em excesso ou tem dificuldade de eliminá-lo pelos rins. Quando essa substância se acumula no líquido ao redor das articulações, são formados os cristais de ácido úrico, que causam inchaço e inflamação nas articulações.
De acordo com a fórmula estrutural do ácido úrico, anteriormente representada, são feitas as seguintes afirmações:
- possui somente átomos de carbono com geometria trigonal plana.
- possui os grupos funcionais cetona e amina.
- apresenta isomeria geométrica cis/trans.
- possui 10 pares de elétrons não compartilhados.
Estão corretas somente as afirmações
- a) I e II.
- b) I e III.
- c) II e III.
- d) I e IV.
- e) III e IV.
(ISOMERIA) B (MACKENZIE 2017) Os alcanos, sob condições adequadas de reação, reagem com o gás cloro (halogenação) formando uma mistura de isômeros de posição monoclorados. Assim, o número de isômeros de posição, com carbono quiral, obtidos a partir da monocloração do 2,5-dimetilexano, em condições adequadas é
- a) 1
- b) 2
- c) 3
- d) 4
- e) 5
(REAÇÕES ORGÂNICAS) D (MACKENZIE 2018) Os detergentes são substâncias orgânicas sintéticas que possuem como principal característica a capacidade de promover limpeza por meio de sua ação emulsificante, isto é, a capacidade de promover a dissolução de uma substância. Abaixo, estão representadas uma série de equações de reações químicas, envolvidas nas diversas etapas de síntese de um detergente, a partir do benzeno, realizadas em condições ideais de reação.
- A equação 1 representa uma alquilação de Friedel-Crafts.
- A equação 2 é uma reação de substituição, que produz um ácido meta substituído.
- A equação 3 trata-se de uma reação de neutralização com a formação de uma substância orgânica de característica anfipática.
- a) apenas a afirmação I está correta.
- b) apenas a afirmação II está correta.
- c) apenas a afirmação III está correta.
- d) apenas as afirmações I e III estão corretas.
- e) todas as afirmações estão corretas.
(REAÇÕES ORGÂNICAS) C (MACKENZIE 2017) A respeito da combustão completa de 1 mol de gás propano, no estado padrão, são feitas as seguintes afirmações:
- Trata-se de um processo endotérmico.
- Ocorre com liberação de energia para o meio externo.
- Há a formação de 3 mols de dióxido de carbono e 4 mols de água.
- São consumidos 5 mols de gás oxigênio.
Analisando-se as afirmações acima, estão corretas somente
- a) I e II.
- b) I, II e III.
- c) II, III e IV.
- d) I, III e IV.
- e) II e IV.
(REAÇÕES ORGÂNICAS) E (MACKENZIE 2016) A epidemia de dengue no Brasil, transmitida pelo mosquito Aedes aegypti e mais recentemente os casos de microcefalia, causado pela disseminação do Zika vírus, vem preocupando a população brasileira e principalmente as gestantes. Na tentativa de evitar o contato com o mosquito, os repelentes desapareceram das prateleiras das farmácias, mas a eficácia não está no uso de um repelente qualquer. Os médicos alertam que o repelente eficaz contra o Aedes aegypti deve conter um princípio ativo chamado icaridina. A Organização Mundial de Saúde (OMS) acrescenta também outros princípios ativos eficazes, o DEET e IR3535. Assim, de acordo com as fórmulas estruturais do DEET e da icaridina, abaixo representadas, são feitas as seguintes afirmações:
I. O DEET possui três carbonos terciários e um grupo funcional amida.
II. A fórmula molecular da icaridina é C12H22NO3.
III. A molécula de icaridina possui enantiômeros.
IV. A hidrólise ácida do DEET forma um ácido carboxílico e uma amina secundária.
É correto dizer que apenas as afirmações
- a) II, III e IV são verdadeiras.
- b) I e II são verdadeiras.
- c) I, II e III são verdadeiras.
- d) II e IV são verdadeiras.
- e) III e IV são verdadeiras.
(REAÇÕES ORGÂNICAS) D (MACKENZIE 2016) Abaixo estão representadas as fórmulas estruturais dos compostos A e B, obtidos por meio de duas sínteses orgânicas distintas e em condições adequadas.
Assim, a alternativa que traz, respectivamente, considerando as condições adequadas para tal, os reagentes orgânicos utilizados na obtenção dos compostos A e B é
- a) A: etanol e ácido acético; B: ácido butanoico e etanol.
- b) A: ácido metanoico e etanol; B: isopropano e ácido acético.
- c) A: metanol e ácido etanoico; B: ácido butanoico e etanol.
- d) A: ácido acético e metanol; B: ácido 4-hidroxi-3-metilbutanoico.
- e) A: etanol e metanol; B: ácido 4-hidroxi-3-metilbutanoico.
(POLÍMEROS) C (MACKENZIE 2017) Os polímeros condutores são geralmente chamados de “metais sintéticos” por possuírem propriedades elétricas, magnéticas e ópticas de metais e semicondutores. O mais adequado seria chamá-los de “polímeros conjugados”, pois apresentam elétrons pi (π) conjugados. Assinale a alternativa que contém a fórmula estrutural que representa um polímero condutor.
FÍSICA NO MACKENZIE
MECÂNICA
(MRU) B (MACKENZIE 2018)
Uma pessoa realiza uma viagem de carro em uma estrada retilínea, parando para um lanche, de acordo com gráfico acima. A velocidade média nas primeiras 5 horas deste movimento é
- a) 10 km/h.
- b) 12 km/h.
- c) 15 km/h.
- d) 30 km/h.
- e) 60 km/h.
(MRUV) D (MACKENZIE 2017) Um carro, trafegando com velocidade escalar constante v, freia até parar, percorrendo uma distância de frenagem (Δs), devido à desaceleração do carro, considerada constante. Se o carro estiver trafegando com o dobro da velocidade anterior e nas mesmas condições, a nova distância de frenagem imposta ao carro em relação a anterior será
- a) 2.Δs
- b) 0,5.Δs
- c) 0,25.Δs
- d) 4.Δs
- e) 1.Δs
(MRUV) A (MACKENZIE 2017) Um móvel varia sua velocidade escalar de acordo com o diagrama abaixo. A velocidade escalar média e a aceleração escalar média nos 10,0 s iniciais são, respectivamente,
- a) 3,8 m/s e 0,20 m/s2
- b) 3,4 m/s e 0,40 m/s2
- c) 3,0 m/s e 2,0 m/s2
- d) 3,4 m/s e 2,0 m/s2
- e) 4,0 m/s e 0,60 m/s2
- a) 12,0 s
- b) 14,0 s
- c) 11,0 s
- d) 13,0 s
- e) 15,0 s
(MCU) A (MACKENZIE 2015) Duas rodas são acopladas de modo que suas bandas de rodagem sejam tangentes, como ilustra a figura abaixo. O movimento ocorre devido ao atrito entre as superfícies em contato. Considerando que não haja escorregamento relativo entre as rodas, o raio da roda menor (R2) é a metade do raio da roda maior (R1) e elas realizam um movimento circular uniforme, podemos afirmar que
- a) o deslocamento angular da roda maior é a metade da roda menor e seu sentido de rotação é oposto ao da roda menor.
- b) o deslocamento angular da roda maior é o dobro da roda menor e seu sentido de rotação é oposto ao da roda menor.
- c) o deslocamento angular da roda maior é a metade da roda menor e de mesmo sentido de rotação da roda menor.
- d) o deslocamento angular da roda maior é o dobro da roda menor e de mesmo sentido de rotação da roda menor.
- e) o deslocamento angular da roda maior é o mesmo da roda menor e de mesmo sentido de rotação da roda menor.
- a) 10,0 m/s
- b) 6,00 m/s
- c) 3,00 m/s
- d) 9,00 m/s
- e) 12,0 m/s
- a) o tempo de queda do corpo A é igual que o do corpo B.
- b) o tempo de queda do corpo A é maior que o do corpo B.
- c) o tempo de queda do corpo A é menor que o do corpo B.
- d) o tempo de queda depende do volume dos corpos A e B.
- e) o tempo de queda depende da forma geométrica dos corpos A e B.
(LANÇAMENTO OBLÍQUO) C (MACKENZIE 2017) Um míssil AX100 é lançado obliquamente, com velocidade de 800 m/s, formando um ângulo de 30,0° com a direção horizontal. No mesmo instante, de um ponto situado a 12,0 km do ponto de lançamento do míssil, no mesmo plano horizontal, é lançado um projétil caça míssil, verticalmente para cima, com o objetivo de interceptar o míssil AX100. A velocidade inicial de lançamento do projétil caça míssil, para ocorrer a interceptação desejada, é de
- a) 960 m/s
- b) 480 m/s
- c) 400 m/s
- d) 500 m/s
- e) 900 m/s
- a aceleração da bola é constante no decorrer de todo movimento.
- a velocidade da bola na direção horizontal é constante no decorrer de todo movimento.
- a velocidade escalar da bola no ponto de altura máxima é nula.
- a) se somente a afirmação I estiver correta.
- b) se somente as afirmações I e III estiverem corretas.
- c) se somente as afirmações II e III estiverem corretas.
- d) se as afirmações I, II e III estiverem corretas.
- e) se somente as afirmações I e II estiverem corretas.
(LANÇAMENTO OBLÍQUO) D (MACKENZIE 2012) Uma bola é chutada a partir de um ponto de uma região plana e horizontal, onde o campo gravitacional considerado uniforme, segundo a direção vertical descendente. A trajetória descrita pela bola é uma parábola, g = 10 m/s2 e a resistência do ar é desprezível. Considerando os valores da tabela ao lado, conclui-se que o ângulo α de lançamento da bola foi, aproximadamente,
- a) 15°
- b) 30°
- c) 45°
- d) 50°
- e) 75°
- a) a massa total de Armstrong na Lua é de 300 kg e seu peso é 500 N.
- b) a massa total de Armstrong na Terra é de 50,0 kg e seu peso é 3000 N.
- c) a massa total de Armstrong na Terra é de 300 kg e seu peso é 500 N.
- d) a massa total de Armstrong na Lua é de 50,0 kg e seu peso é 3000 N.
- e) o peso de Armstrong na Lua e na Terra são iguais.
- a) 5,0.10–2
- b) 5,0.10–1
- c) 1,0.10–1
- d) 2,0.10–1
- e) 2,0.10–2
(ATRITO) C (MACKENZIE 2010-1) Um corpo de peso 30 N repousa sobre uma superfície horizontal de coeficiente de atrito estático 0,4. Por meio de uma mola de massa desprezível, de comprimento natural 20 cm e constante elástica 20 N/m, prende-se esse corpo em uma parede como mostra a figura.
A máxima distância a que podemos manter esse corpo da parede e em equilíbrio será de:
- a) 26 cm
- b) 40 cm
- c) 80 cm
- d) 90 cm
- e) 100 cm
(RESULTANTE CENTRÍPETA) C (MACKENZIE 2018) Uma esfera de massa 2,00 kg que está presa na extremidade de uma corda de 1,00 m de comprimento, de massa desprezível, descreve um movimento circular uniforme sobre uma mesa horizontal, sem atrito. A força de tração na corda é de 18,0 N, constante. A velocidade de escape ao romper a corda é
- a) 0,30 m/s.
- b) 1,00 m/s.
- c) 3,00 m/s.
- d) 6,00 m/s.
- e) 9,00 m/s.
(RESULTANTE CENTRÍPETA) D (MACKENZIE 2015) O pêndulo de um relógio é formado por uma haste rígida, de peso desprezível, e uma esfera de peso P presa em uma de suas extremidades. A outra extremidade da haste é presa no ponto O como mostra a figura abaixo.
(TRABALHO DE UMA FORÇA) C (MACKENZIE 2017) Na olimpíada Rio 2016, nosso medalhista de ouro em salto com vara, Thiago Braz, de 75,0 kg, atingiu a altura de 6,03 m, recorde mundial, caindo a 2,80 m do ponto de apoio da vara. Considerando o módulo da aceleração da gravidade g = 10,0 m/s2, o trabalho realizado pela força peso durante a descida foi aproximadamente de
- a) 2,10 kJ
- b) 2,84 kJ
- c) 4,52 kJ
- d) 4,97 kJ
- e) 5,10 kJ
(TRABALHO DE UMA FORÇA) C (MACKENZIE 2012) Certo corpo de massa 10,0 kg está suspenso por uma pequena argola, que pode deslizar, sem atrito, por um fio, supostamente ideal. Em uma primeira situação, o corpo encontra-se na posição ilustrada na figura 1 e, depois de certo tempo, encontra-se na posição ilustrada na figura 2. O trabalho realizado pela força peso, entre a posição 1 e a posição 2, foi:
CONSIDERE: g = 10 m/s2; √6 ≅ 2,45
- a) 2,40. 10–1 J
- b) 2,45. 10–1 J
- c) 5,00. 10–1 J
- d) 2,40 J
- e) 2,45 J
(ENERGIA) E (MACKENZIE 2017) Um Drone Phanton 4 de massa 1300 g desloca-se horizontalmente, ou seja, sem variação de altitude, com velocidade constante de 36,0 km/h com o objetivo de fotografar o terraço da cobertura de um edifício de 50,0 m de altura. Para obter os resultados esperados o sobrevoo ocorre a 10,0 m acima do terraço da cobertura. A razão entre a energia potencial gravitacional do Drone, considerado como um ponto material, em relação ao solo e em relação ao terraço da cobertura é
- a) 2
- b) 3
- c) 4
- d) 5
- e) 6
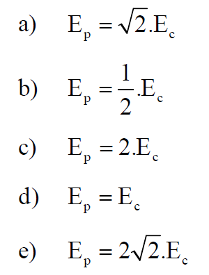
(ENERGIA) D (MACKENZIE 2017) Uma bola é lançada obliquamente do solo sob ângulo de 45º. Admitindo-se que a resistência do ar seja desprezível e que a energia potencial gravitacional no solo é nula, no instante em que a bola atinge a altura máxima, pode-se afirmar que a relação entre as energias potencial gravitacional (Ep) e a cinética (Ec) da bola é
- a) entre 11,0 km/h e 12,0 km/h
- b) entre 10,0 km/h e 11,0 km/h
- c) entre 13,0 km/h e 14,0 km/h
- d) entre 15,0 km/h e 16,0 km/h
- e) menor que 10,0 km/h
- a) 80,0 J
- b) 60,0 J
- c) 90,0 J
- d) 40,0 J
- e) 30,0 J
(ENERGIA) A (MACKENZIE 2011) Um estudante abandonou uma bola de borracha maciça, com 300 g de massa, de uma altura de 1,5 m em relação ao solo, plano e horizontal. A cada batida da bola com o piso, ela perde 20% de sua energia mecânica. Sendo 10 m/s2 a aceleração da gravidade no local, a altura máxima atingida por essa bola, após o terceiro choque com o piso, foi, aproximadamente, de:
- a) 77 cm
- b) 82 cm
- c) 96 cm
- d) 108 cm
- e) 120 cm
(ENERGIA) C (MACKENZIE 2010) Em uma região plana, delimitou-se o triângulo ABC, cujos lados AB e BC medem, respectivamente, 300,00 m e 500,00 m. Duas crianças, de 39,20 kg cada uma, partem, simultaneamente, do repouso, do ponto A, e devem chegar juntas ao ponto C, descrevendo movimentos retilíneos uniformemente acelerados.
Se a criança 2 chegar ao ponto C com energia cinética igual a 640,0 J, a velocidade da criança 1, nesse ponto, será:
- a) 3,750 m/s
- b) 4,375 m/s
- c) 5,000 m/s
- d) 7,500 m/s
- e) 8,750 m/s
(ENERGIA) D (MACKEZIE 2010) Um corpo de pequenas dimensões e massa 400 g é abandonado do repouso no topo do trilho ilustrado a seguir.
O atrito é desprezível, o módulo da aceleração gravitacional é g = 10 m/s2 e, quando esse corpo passa pelo ponto de altura h/5, sua energia cinética, em relação ao trilho, é 4,00 J. Chegando ao ponto C, ele se choca frontalmente com um espelho plano disposto perpendicularmente à parte horizontal do trilho. Nesse instante, a velocidade do corpo, em relação à respectiva imagem conjugada no espelho, tem módulo:
- a) 1,25 m/s
- b) 2,50 m/s
- c) 5,00 m/s
- d) 10,0 m/s
- e) 12,5 m/s
(DINÂMICA IMPULSIVA) C (MACKENZIE 2018) Um corpo de massa 2,00 kg é abandonado de uma altura de 50,0 cm, acima do solo. Ao chocar-se com o solo ocorre uma perda de 40% de sua energia. Adotando a aceleração da gravidade local igual a 10,0 m/s2, a energia cinética do corpo logo após o choque parcialmente elástico com o solo é
- a) 2,00 J.
- b) 4,00 J.
- c) 6,00 J.
- d) 8,00 J.
- e) 10,0 J.
(DINÂMICA IMPULSIVA) B (MACKENZIE 2011) No esquema a seguir, a polia e o fio são considerados ideais e os corpos A e B se deslocam com velocidade escalar constante e igual a 2,0 m/s.
Sabendo-se que a quantidade de movimento do corpo A tem módulo 3,0 kg.m/s e que a massa do corpo B é 10 kg, o coeficiente de atrito dinâmico entre sua base de apoio e o plano horizontal de deslocamento é:
- a) 0,10
- b) 0,15
- c) 0,20
- d) 0,25
- e) 0,30
(DINÂMICA IMPULSIVA) D (MACKENZIE 2010) O conjunto ilustrado a seguir é constituído de fio e polias ideais e se encontra em equilíbrio, quando o dinamômetro D, de massa desprezível, indica 60 N.
Em um dado instante, o fio é cortado e o corpo C cai livremente. Adotando-se g= 10 m/s2, a quantidade de movimento do corpo, no instante t = 1,0 s, medido a partir do início da queda, tem módulo:
- a) 30 kg.m/s
- b) 60 kg.m/s
- c) 90 kg.m/s
- d) 120 kg.m/s
- e) 150 kg.m/s
(HIDROSTÁTICA) C (MACKENZIE 2017) Uma força F1 de intensidade 30 N é aplicada sobre um êmbolo de área A1 = 5,0 cm2 de uma prensa hidráulica produzindo um deslocamento de 18 cm abaixo de sua posição inicial. O deslocamento h2 no êmbolo de área A2 = 15,0 cm2, para cima e a intensidade da força F2 são, respectivamente,
- a) 2,0 cm e 40 N.
- b) 4,0 cm e 30 N.
- c) 6,0 cm e 10 N.
- d) 8,0 cm e 20 N.
- e) 10 cm e 30 N.
(HIDROSTÁTICA) B (MACKENZIE 2017) A pressão exercida por uma coluna de água de 10 m de altura é igual a 1,0 atm. Um mergulhador encontra-se a uma profundidade H, da superfície livre da água, onde a pressão atmosférica é 1,0 atm. A pressão absoluta sobre o mergulhador é de 5,0 atm. A profundidade que o mergulhador se encontra é
- a) 50 m
- b) 40 m
- c) 30 m
- d) 20 m
- e) 10 m
(HIDROSTÁTICA) C (MACKENZIE 2017) Um navio flutua porque
- a) seu peso é pequeno quando comparado com seu volume.
- b) seu volume é igual ao volume do líquido deslocado.
- c) o peso do volume do líquido deslocado é igual ao peso do navio.
- d) o peso do navio é menor que o peso do líquido deslocado.
- e) o peso do navio é maior que o peso do líquido deslocado.
(HIDROSTÁTICA) B (MACKENZIE 2015) No recipiente aberto da figura abaixo, são colocados dois líquidos não miscíveis e incompressíveis, de massas específicas volumétricas ρ1 e ρ2 (ρ1 > ρ2). O ponto B encontra-se na superfície de separação dos dois líquidos a uma profundidade h2 da superfície livre e o ponto A, a uma profundidade h1 em relação ao ponto B.
(ESTÁTICA DO CORPO EXTENSO) D (MACKENZIE 2018) A escada rígida da figura acima de massa 20,0 kg, distribuída uniformemente ao longo de seu comprimento, está apoiada numa parede e no chão, lisos, e está impedida de deslizar por um cabo de aço AC. Uma pessoa de massa 80,0 kg se posiciona no ponto D, conforme indicado na figura. Considerando que a aceleração da gravidade local é de 10,0 m/s2, pode-se afirmar que a força de tração no cabo AC, nessas condições, será de
- a) 100 N.
- b) 150 N.
- c) 200 N.
- d) 250 N.
- e) 300 N.
(ESTÁTICA DO CORPO EXTENSO) A (MACKENZIE 2017) Uma barra homogênea de comprimento L e peso P encontra-se apoiada na parede vertical lisa e no chão horizontal áspero formando um ângulo θ como mostra a figura abaixo. O coeficiente de atrito estático mínimo (μe) entre a barra e o chão deve ser

(ESTÁTICA DO CORPO EXTENSO) C (MACKENZIE 2017) Uma barra homogênea AB de peso PAB está apoiada no solo horizontal rugoso e mantida em equilíbrio através do corpo P de peso PP, como mostra a figura abaixo. Considere o fio e a polia ideal, o trecho CD horizontal, BC = 2/3 · AB e sen 45º = cos 45º = 2√2. O coeficiente de atrito estático entre o solo e a barra AB é
- a) 0,35
- b) 0,55
- c) 0,75
- d) 0,80
- e) 0,90
(ESTÁTICA DO CORPO EXTENSO) C (MACKENZIE 2015) Uma cancela manual é constituída de uma barra homogênea AB de comprimento L = 2,40 m e massa M = 10,0 kg, está articulada no ponto O, onde o atrito é desprezível. A força F tem direção vertical e sentido descendente, como mostra a figura acima. Considerando a aceleração da gravidade g = 10,0 m/s2, a intensidade da força mínima que se deve aplicar em A para iniciar o movimento de subida da cancela é
- a) 150 N
- b) 175 N
- c) 200 N
- d) 125 N
- e) 100 N
TERMOLOGIA
(TERMOMETRIA) C (MACKENZIE 2017) Uma escala termométrica A adota para a temperatura da água em ebulição à pressão normal, de 70°A e para a temperatura de fusão do gelo à pressão normal, de 20°A Outra escala termométrica B adota para a temperatura da água em ebulição à pressão normal, de 90°B, e para a temperatura de fusão do gelo à pressão normal, de 10°B. A expressão que relaciona a temperatura das escalas A (θA) e (θB) é
- a) θB = 2,6 ∙ θA – 42
- b) θB = 2,6 ∙ θA – 22
- c) θB = 1,6 ∙ θA – 22
- d) θA = 1,6 ∙ θB + 22
- e) θA = 1,6 ∙ θB + 42
(TERMOMETRIA) C (Mackenzie 2014) Um internauta, comunicando-se em uma rede social, tem conhecimento de que naquele instante a temperatura em Nova Iorque é θNI = 68 °F, em Roma é θRO = 291 °F e em São Paulo, θSP = 25 °C. Comparando essas temperaturas, estabelece-se que
- a) θNI < θRO < θSP
- b) θSP < θRO < θNI
- c) θRO < θNI < θSP
- d) θRO < θSP < θNI
- e) θNI < θSP < θRO
(DILATOMETRIA) D (MACKENZIE 2017) Um cubo regular homogêneo de aresta 20,0 cm está inicialmente a 20,0 °C. O coeficiente de dilatação linear médio do material com que foi fabricado é 2,00 x 10-5 °C-1. Aquecendo-se uniformemente o cubo com uma fonte de calor constante durante 50,0 s, a temperatura se eleva para 120,0 °C. A dilatação ocorrida em uma das superfícies do cubo é
- a) 4,00 x 10-1 cm2
- b) 8,00 x 10-1 cm2
- c) 12,00 x 10-1 cm2
- d) 16,00 x 10-1 cm2
- e) 20,00 x 10-1 cm2
(DILATOMETRIA) C (MACKENZIE 2016)
O gráfico mostra a variação da área lateral de um cilindro metálico em função da temperatura, quando submetido a uma fonte de calor constante. O coeficiente de dilatação volumétrica média do material que constitui o cilindro é
- a) 60,0 x 10-6 °C-1
- b) 120,0 x 10-6 °C-1
- c) 180,0 x 10-6 °C-1
- d) 240,0 x 10-6 °C-1
- e) 300,0 x 10-6 °C-1
- a) 20 °C
- b) 15 °C
- c) 10 °C
- d) 5 °C
- e) 0 °C
(DILATOMETRIA) C (MACKENZIE 2010) Uma placa de alumínio (coeficiente de dilatação linear do alumínio = 2.10-5 ºC-1), com 2,4 m2 de área à temperatura de – 20 ºC, foi aquecido à 176 ºF. O aumento de área da placa foi de
- a) 24 cm2
- b) 48 cm2
- c) 96 cm2
- d) 120 cm2
- e) 144 cm2
(DILATOMETRIA) B (MACK 2010) Uma chapa metálica de área 1 m2, ao sofrer certo aquecimento, dilata de 0,36 mm2. Com a mesma variação de temperatura, um cubo de mesmo material, com volume inicial de 1 dm3, dilatará:
- a) 0,72 mm3
- b) 0,54 mm3
- c) 0,36 mm3
- d) 0,27 mm3
- e) 0,18 mm3
(GASES) D (MACKENZIE 2018) A figura abaixo representa duas isotérmicas em que certa massa gasosa, inicialmente no estado A, sofre uma transformação atingindo o estado B, que por sua vez sofre uma transformação, atingindo o estado C. A temperatura TA e o volume VA são iguais a
- a) 200 K e 5 L.
- b) 300 K e 2 L.
- c) 400 K e 4 L.
- d) 500 K e 2 L.
- e) 500 K e 4 L.
(GASES) E (MACKENZIE 2018) Um gás perfeito, que tem um volume de 12,0 L, encontra-se no interior de um frasco sob pressão de 3,00 atm e com temperatura de 200 K. Inicialmente, o gás sofre uma transformação isotérmica, de tal forma que sua pressão passa a ser de 9,00 atm, a seguir, o gás sofre uma transformação segundo a lei de Gay-Lussac, atingindo uma temperatura de 500 K. Os volumes, após as duas transformações, respectivamente, são iguais a
- a) 10,0 L e 4,00 L.
- b) 4,00 L e 2,00 L.
- c) 10,0 L e 2,00 L.
- d) 2,00 L e 4,00 L.
- e) 4,00 L e 10,0 L.
- a) 600 K
- b) 800 K
- c) 750 K
- d) 650 K
- e) 700 K
ONDAS
(INTRODUÇÃO À ONDAS) D (MACKENZIE 2018) Uma estação de rádio tem uma frequência de sintonização de 1000 kHz. Sabendo que a velocidade da luz no meio de propagação é 3,00 x 105 km/s, o comprimento de onda desta estação de rádio neste meio é
- a) 0,30 cm.
- b) 0,30 m.
- c) 3,00 m.
- d) 300 m.
- e) 300 km.
(INTRODUÇÃO À ONDAS) D (MACKENZIE 2018) Um forno microondas possui um magnetron, gerador de ondas eletromagnéticas, cujo comprimento de onda é de 12,0 cm. Sabendo que a velocidade da luz no meio de propagação é 3,00 . 105 km/s, a frequência emitida por este gerador é
- a) 0,25 . 108 Hz.
- b) 3,60 . 108 Hz.
- c) 4,00 . 108 Hz.
- d) 0,25 . 1010 Hz.
- e) 4,00 . 1010 Hz.
(INTRODUÇÃO À ONDAS) E (MACKENZIE 2017) Um pescador observa que seu barco oscila na direção vertical, para baixo e para cima 200 vezes em 50 s. O período de uma oscilação do barco é:
- a) 4,0 s
- b) 2,0 s
- c) 1,0 s
- d) 0,50 s
- e) 0,25 s
(INTRODUÇÃO À ONDAS) D (MACKENZIE 2015)
O gráfico acima representa uma onda que se propaga com velocidade constante de 200 m/s.
A amplitude (A) o comprimento de onda (λ) e a frequência (f) da onda são, respectivamente,
- a) 2,4 cm; 1,0 cm; 40 kHz
- b) 2,4 cm; 4,0 cm; 20 kHz
- c) 1,2 cm; 2,0 cm; 40 kHz
- d) 1,2 cm; 2,0 cm; 10 kHz
- e) 1,2 cm; 4,0 cm; 10 kHz
(INTRODUÇÃO À ONDAS) E (MACKENZIE 2010) A figura a seguir ilustra uma onda mecânica que se propaga em um certo meio, com frequência 10 Hz. A velocidade de propagação dessa onda é:
- a) 0,40 m/s
- b) 0,60 m/s
- c) 4,0 m/s
- d) 6,0 m/s
- e) 8,0 m/s
(INTRODUÇÃO À ONDAS) A (MACKENZIE 2010) Certa onda mecânica se propaga em um meio material com velocidade v = 340 m/s. Considerando-se a ilustração abaixo como a melhor representação gráfica dessa onda, determina-se que a sua frequência é:
- a) 1,00 kHz
- b) 1,11 kHz
- c) 2,00 kHz
- d) 2,22 kHz
- e) 4,00 kHz
ÓPTICA
- a) a imagem aparece mais longe que o objeto real, com um aumento do campo visual, em relação ao de um espelho plano.
- b) a distância da imagem é a mesma que a do objeto real em relação ao espelho, com aumento do campo visual, em relação ao de um espelho plano.
- c) a imagem aparece mais perto que o objeto real, com um aumento do campo visual, em relação ao de um espelho plano.
- d) a imagem aparece mais longe que o objeto real, com uma redução do campo visual, em relação ao de um espelho plano.
- e) a distância da imagem é maior que a do objeto real em relação ao espelho, sem alteração do campo visual, quando comparado ao de um espelho plano.
- a) entre o centro de curvatura e o foco do espelho côncavo.
- b) sobre o centro de curvatura do espelho côncavo.
- c) entre o foco e o vértice do espelho côncavo.
- d) sobre o foco do espelho côncavo.
- e) antes do centro de curvatura do espelho côncavo.
(ESPELHOS ESFÉRICOS) A (MACKENZIE 2012) Um pequeno objeto foi colocado sobre o eixo principal de um espelho esférico côncavo, que obedece às condições de Gauss, conforme ilustra a figura ao lado. O raio da esfera, da qual foi retirada a calota que constitui o espelho, mede 1,00 m. Nessas condições, a distância entre esse objeto e sua respectiva imagem conjugada é de:
- a) 240 cm
- b) 150 cm
- c) 75 cm
- d) 60 cm
- e) 50 cm
(REFRAÇÃO) A (MACKENZIE 2018)
A figura acima representa um raio de luz atingindo uma superfície e sofrendo, simultaneamente, reflexão e refração. Os ângulos de reflexão e refração são, respectivamente, iguais a
- a) 30º e 60º.
- b) 30º e 30º.
- c) 60º e 30º.
- d) 60º e 60º.
- e) 45º e 30º.
(REFRAÇÃO) A (MACKENZIE 2018) Um raio de luz monocromática de frequência f = 1,0 x 1015 Hz, com velocidade v = 3,0 x 105 km/s, que se propaga no ar, cujo índice de refração é igual a 1, incide sobre uma lâmina de vidro (nvidro = √2 ), formando um ângulo 45° com a superfície da lâmina. O seno do ângulo de refração é
- a) 0,5.
- b) 0,7.
- c) 1,0.
- d) 3,0.
- e) √2 .
(LENTES DELGADAS ESFÉRICAS) C (MACKENZIE 2017) Considere quatro lentes esféricas delgadas de distância focal f1 = +5,0 cm, f2 = -10,0 cm, f3 = +20,0 cm e f4 = -40,0 cm. A justaposição de duas lentes terá a maior convergência quando associarmos as lentes
- a) 1 e 2
- b) 2 e 3
- c) 1 e 3
- d) 2 e 4
- e) 1 e 4
(LENTES DELGADAS ESFÉRICAS) E (MACKENZIE 2011) A figura ilustra o esquema, sem escala, de um pequeno objeto real P, situado sobre o eixo principal de uma lente delgada Convergente, com os respectivos Focos Principais, F e F’, e Pontos Antiprincipais, C e C’. A imagem conjugada de P é ________, ________ e de altura ________ que a do objeto.
A alternativa que preenche, corretamente, na ordem correta de leitura, as lacunas do texto é:
- a) virtual, direita, igual ao dobro.
- b) virtual, invertida, igual ao triplo.
- c) real, direita, igual ao dobro.
- d) real, invertida, igual ao triplo.
- e) real, invertida, igual ao dobro.
(LENTES DELGADAS ESFÉRICAS) B (MACKENZIE 2011) Um objeto real, colocado perpendicularmente ao eixo principal de uma lente esférica delgada e convergente, terá uma imagem real e aumentada, quando for colocado
- a) entre o centro óptico e o foco principal objeto da lente.
- b) entre o foco principal objeto e o ponto antiprincipal objeto da lente.
- c) no foco principal objeto da lente.
- d) no ponto antiprincipal objeto da lente.
- e) além do ponto antiprincipal objeto da lente.
(LENTES DELGADAS ESFÉRICAS) A (MACKENZIE 2010) A lupa é um instrumento óptico conhecido popularmente por Lente de Aumento, mas também denominada microscópio simples. Ela consiste de uma lente ______________________ de pequena distância focal e, para ser utilizada com o seu fim específico, o objeto a ser observado por meio dela deverá ser colocado sobre o eixo principal, entre o seu ______________________ e o seu ______________________.
As lacunas são preenchidas corretamente quando se utilizam, na ordem de leitura, as informações
- a) convergente, centro óptico e foco principal objeto.
- b) convergente, ponto antiprincipal objeto e foco principal objeto.
- c) divergente, centro óptico e foco principal objeto.
- d) divergente, ponto antiprincipal objeto e foco principal objeto.
- e) convergente, ponto antiprincipal imagem e foco principal imagem.
ELETRICIDADE
- a) 20,0 μC
- b) 30,0 μC
- c) 40,0 μC
- d) 50,0 μC
- e) 60,0 μC
(CAMPO ELÉTRICO) A (MACKENZIE 2015) Considere as seguintes afirmações, admitindo que em uma região do espaço está presente uma carga geradora de campo elétrico (Q) e uma carga de prova (q) nas suas proximidades.
- Quando a carga de prova tem sinal negativo (q<0), os vetores força e campo elétrico têm mesma direção, mas sentidos opostos.
- Quando a carga de prova tem sinal positivo (q>0), os vetores força e campo elétrico têm mesma direção e sentido.
- Quando a carga geradora do campo tem sinal positivo (Q>0), o vetor campo elétrico tem sentido de afastamento da carga geradora e quando tem sinal negativo (Q<0), tem sentido de aproximação, independente do sinal que possua a carga de prova.
- a) se todas as afirmações são verdadeiras.
- b) se apenas as afirmações I e II são verdadeiras.
- c) se apenas a afirmação III é verdadeira.
- d) se apenas as afirmações II e III são verdadeiras.
- e) se todas as afirmações são falsas.
(TRABALHO NO CAMPO ELÉTRICO) B (MACKENZIE 2017) A intensidade do campo elétrico E e do potencial elétrico V em um ponto P gerado pela carga puntiforme Q são, respectivamente, 50 N/C e 100 V. A distância d que a carga puntiforme se encontra do ponto P, imersa no ar, é
- a) 1,0 m
- b) 2,0 m
- c) 3,0 m
- d) 4,0 m
- e) 5,0 m
(TRABALHO NO CAMPO ELÉTRICO) A (MACKENZIE 2015) Uma carga elétrica de intensidade Q = 10,0 μC, no vácuo, gera um campo elétrico em dois pontos A e B conforme figura acima. Sabendo-se que a constante eletrostática do vácuo é k0 = 9 x 109 Nm2/C2 o trabalho realizado pela força elétrica para transferir uma carga q = 2,00 μC do ponto B até o ponto A é, em mJ igual a:
- a) 90,0
- b) 180
- c) 270
- d) 100
- e) 200
(TRABALHO NO CAMPO ELÉTRICO) A (MACKENZIE 2012) Uma pequena esfera de isopor, de massa 0,512 g, está em equilíbrio entre as armaduras de um capacitor de placas paralelas, sujeito às ações exclusivas do campo elétrico e do campo gravitacional local. Considerando g = 10 m/s2, pode-se dizer que essa pequena esfera possui:
- a) um excesso de 1,0 ∙ 1012 elétrons, em relação ao número de prótons.
- b) um excesso de 6,4 ∙ 1012 prótons, em relação ao número de elétrons.
- c) um excesso de 1,0 ∙ 1012 prótons, em relação ao número de elétrons.
- d) um excesso de 6,4 ∙ 1012 elétrons, em relação ao número de prótons.
- e) um excesso de carga elétrica, porém, impossível de ser determinado.
(TRABALHO NO CAMPO ELÉTRICO) A (MACKENZIE 2010) Uma partícula de massa 1 g, eletrizada com carga elétrica positiva de 40 μC, é abandonada do repouso no ponto A de um campo elétrico uniforme, no qual o potencial elétrico é 300 V. Essa partícula adquire movimento e se choca em B, com um anteparo rígido.
Sabendo-se que o potencial elétrico do ponto B é de 100 V, a velocidade dessa partícula ao se chocar com o obstáculo é de:
- a) 4 m/s
- b) 5 m/s
- c) 6 m/s
- d) 7 m/s
- e) 8 m/s
(POTÊNCIA E ENERGIA ELÉTRICA) D (MACKENZIE 2018) Quatro pessoas, em uma casa, levam em média 30,0 min para tomar um banho, cada uma, por dia, utilizando um chuveiro elétrico, cujas especificações elétricas são: 220 V – 6000 W. Sabendo-se que o custo de 1 kWh, cobrado pela concessionária é de R$ 0,50, nestas condições ao final de 30 dias, o custo total deste consumo será de
- a) R$ 6,00.
- b) R$ 12,00.
- c) R$ 18,00.
- d) R$ 180,00.
- e) R$ 1800,00.
(POTÊNCIA E ENERGIA ELÉTRICA) B (MACKENZIE 2017) Muitos aparelhos elétricos são acionados por controle remoto. O manual do usuário desses aparelhos informa que para mantê-lo em estado de prontidão (stand-by), isto é, acioná-lo por controle remoto, é necessária uma potência de 20 W. A energia consumida por esse aparelho em um dia é, aproximadamente,
- a) 1,3 x 106 J
- b) 1,7 x 106 J
- c) 1,9 x 106 J
- d) 2,1 x 106 J
- e) 2,3 x 106 J
- a) 10
- b) 20
- c) 30
- d) 40
- e) 50
(ASSOCIAÇÃO DE RESISTORES) D (MACKENZIE 2012) No laboratório de Física, monta-se o circuito elétrico ao lado, com um gerador ideal e os interruptores (chaves) K1, K2 e K3. Estando somente o interruptor K1 fechado, o amperímetro ideal acusa a passagem de corrente elétrica de intensidade 5 A. Fechando todos os interruptores, a potência gerada pelo gerador é:
- a) 300 W
- b) 350 W
- c) 400 W
- d) 450 W
- e) 500 W
(ASSOCIAÇÃO DE RESISTORES) D (MACK 2010) As três lâmpadas, L1, L2 e L3, ilustradas na figura abaixo, são idênticas e apresentam as seguintes informações nominais: 0,5 W – 6,0 V.
Se a diferença de potencial elétrico entre os terminais A e B for 12 V, para que essas lâmpadas possam ser associadas de acordo com a figura e “operando” segundo suas especificações de fábrica, pode-se associar a elas o resistor de resistência elétrica R igual a:
- a) 6 Ω
- b) 12 Ω
- c) 18 Ω
- d) 24 Ω
- e) 30 Ω
- a) 50,0 cm e 50,0 cm
- b) 60,0 cm e 40,0 cm
- c) 40,0 cm e 60,0 cm
- d) 80,0 cm e 20,0 cm
- e) 20,0 cm e 80,0 cm
ELETROMAGNETISMO
(MAGNETISMO) B (MACKENZIE 2018) Considere as seguintes afirmações.
- Quando se coloca um ímã em contato com limalha (fragmentos) de ferro, estes não aderem a ele em toda a sua extensão, mas predominantemente nas regiões próximas das extremidades.
- Cortando-se um ímã em duas partes iguais, que por sua vez podem ser redivididas em outras tantas, observa-se que cada uma dessas partes constitui um novo ímã, que embora menor tem sempre dois polos.
- Polos de mesmo nome se atraem e de nomes diferentes se repelem.
Com relação às afirmações, podemos dizer que
- a) apenas I é correta.
- b) apenas I e II são corretas.
- c) apenas I e III são corretas.
- d) apenas II e III são corretas.
- e) todas são corretas.
(MAGNETISMO) E (MACKENZIE 2018) Considere as seguintes afirmações.
- A denominação de Pólo Norte de um ímã é a região que se volta para o Norte geográfico da Terra e Pólo Sul a região que volta para o Sul geográfico da Terra.
- Ímãs naturais são formados por pedras que contém óxido de ferro (Fe3O4), denominadas magnetitas.
- Ímãs artificiais são obtidos a partir de processos denominados imantação.
Com relação às afirmações, podemos dizer que
- a) apenas I é correta.
- b) apenas I e II são corretas.
- c) apenas I e III são corretas.
- d) apenas II e III são corretas.
- e) todas são corretas.
(FORÇA MAGNÉTICA) D (MACKENZIE 2017) Uma partícula eletrizada positivamente, de massa desprezível, penetra na região do espaço onde existe um campo elétrico uniforme de intensidade 1,0.105 N/C, orientado verticalmente para baixo, conforme a figura abaixo. A partícula descreve uma trajetória retilínea, pela presença de um campo magnético uniforme B, de intensidade 4,0.103 T, perpendicular ao campo elétrico e de sentido entrando no plano do papel. A intensidade da velocidade da partícula é, em m/s,
- a) 40
- b) 35
- c) 30
- d) 25
- e) 20








































































