RESUMO
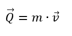
QUANTIDADE DE MOVIMENTO
É uma grandeza vetorial dada pelo produto da massa pela velocidade do corpo:
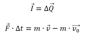
IMPULSO DE UMA FORÇA
É uma grandeza vetorial dada pelo produto da força pelo tempo de aplicação dessa força:
Sua unidade no SI é o N.s, que corresponde ao kg.m/s.
Se a força que atua sobre o corpo for variável, o impulso é dado numericamente pela área sob a curva do gráfico de força versus tempo.
TEOREMA DO IMPULSO
Quando há forças externas ao sistema, o valor do impulso é igual à variação da quantidade de movimento.
PRINCÍPIO DE CONSERVAÇÃO DA QUANTIDADE DE MOVIMENTO
Na ausência de forças externas, a quantidade de movimento se conserva.
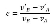
CHOQUES
O coeficiente de restituição é igual, em módulo, à razão entre a velocidade relativa de afastamento e a de aproximação:
Classificamos os choques em 3 tipos, de acordo com o valor do coeficiente de restituição:
CAIU NO ENEM!
C (ENEM 2016) O trilho de ar é um dispositivo utilizado em laboratórios de física para analisar movimentos em que corpos de prova (carrinhos) podem se mover com atrito desprezível. A figura ilustra um trilho horizontal com dois carrinhos (1 e 2) em que se realiza um experimento para obter a massa do carrinho 2. No instante em que o carrinho 1, de massa 150,0 g, passa a se mover com velocidade escalar constante, o carrinho 2 está em repouso. No momento em que o carrinho 1 se choca com o carrinho 2, ambos passam a se movimentar juntos com velocidade escalar constante. Os sensores eletrônicos distribuídos ao longo do trilho determinam as posições e registram os instantes associados a passagem de cada carrinho, gerando os dados do quadro.
Com base nos dados experimentais, o valor da massa do carrinho 2 é igual a
- a) 50,0 g.
- b) 250,0 g.
- c) 300,0 g.
- d) 450,0 g.
- e) 600,0 g.
A (ENEM 2014) Para entender os movimentos dos corpos, Galileu discutiu o movimento de uma esfera de metal em dois planos inclinados sem atritos e com a possibilidade de se alterarem os ângulos de inclinação, conforme mostra a figura.
Na descrição do experimento, quando a esfera de metal é abandonada para descer um plano inclinado de um determinado nível, ela sempre atinge, no plano ascendente, no máximo, um nível igual àquele em que foi abandonada. Se o ângulo de inclinação do plano de subida for reduzido a zero, a esfera
- a) manterá sua velocidade constante, pois o impulso resultante sobre ela será nulo.
- b) manterá sua velocidade constante, pois o impulso da descida continuará a empurrá-la.
- c) diminuirá gradativamente a sua velocidade, pois não haverá mais impulso para empurrá-la.
- d) diminuirá gradativamente a sua velocidade, pois o impulso resultante será contrário ao seu movimento.
- e) aumentará gradativamente a sua velocidade, pois não haverá nenhum impulso contrário ao seu movimento.
C (ENEM 2014) O pêndulo de Newton pode ser constituído por cinco pêndulos idênticos suspensos em um mesmo suporte. Em um dado instante, as esferas de três pêndulos são deslocadas para a esquerda e liberadas, deslocando-se para a direita e colidindo elasticamente com as outras duas esferas, que inicialmente estavam paradas.

O movimento dos pêndulos após a primeira colisão está representado em:
CAIU NO VESTIBULAR!
2019
B (FCMSCSP 2019) Em um supermercado, uma pessoa empurra seu carrinho de compras com velocidade de 1 m/s por um corredor retilíneo.
Para mover o carrinho mais rápido, a pessoa dá sobre ele dois impulsos consecutivos de 0,5 s de duração cada um, exercendo uma força horizontal na mesma direção e no mesmo sentido do movimento do carrinho, cuja intensidade varia, em função do tempo, de acordo com o gráfico.

Sabendo que a massa total do carrinho é 50 kg e desprezando a ação das forças dissipativas sobre ele, a velocidade do carrinho ao final do segundo impulso é
- a) 1,4 m/s.
- b) 1,1 m/s.
- c) 1,5 m/s.
- d) 1,2 m/s.
- e) 1,3 m/s.
2018
E (FUVEST 2018) Uma caminhonete, de massa 2.000 kg, bateu na traseira de um sedã, de massa 1.000 kg, que estava parado no semáforo, em uma rua horizontal. Após o impacto, os dois veículos deslizaram como um único bloco. Para a perícia, o motorista da caminhonete alegou que estava a menos de 20 km/h quando o acidente ocorreu. A perícia constatou, analisando as marcas de frenagem, que a caminhonete arrastou o sedã, em linha reta, por uma distância de 10 m. Com este dado e estimando que o coeficiente de atrito cinético entre os pneus dos veículos e o asfalto, no local do acidente, era 0,5, a perícia concluiu que a velocidade real da caminhonete, em km/h, no momento da colisão era, aproximadamente,
Note e adote: Aceleração da gravidade: 10 m/s2; Desconsidere a massa dos motoristas e a resistência do ar.
- a) 10.
- b) 15.
- c) 36.
- d) 48.
- e) 54.
C (MACKENZIE 2018) Um corpo de massa 2,00 kg é abandonado de uma altura de 50,0 cm, acima do solo. Ao chocar-se com o solo ocorre uma perda de 40% de sua energia. Adotando a aceleração da gravidade local igual a 10,0 m/s2, a energia cinética do corpo logo após o choque parcialmente elástico com o solo é
- a) 2,00 J.
- b) 4,00 J.
- c) 6,00 J.
- d) 8,00 J.
- e) 10,0 J.
E (UNESP 2018) A figura mostra a trajetória de um projétil lançado obliquamente e cinco pontos equidistantes entre si e localizados sobre o solo horizontal. Os pontos e a trajetória do projétil estão em um mesmo plano vertical.
No instante em que atingiu o ponto mais alto da trajetória, o projétil explodiu, dividindo-se em dois fragmentos, A e B, de massas MA e MB, respectivamente, tal que MA = 2MB. Desprezando a resistência do ar e considerando que a velocidade do projétil imediatamente antes da explosão era VH e que, imediatamente após a explosão, o fragmento B adquiriu velocidade VB = 5VH, com mesma direção e sentido de VH, o fragmento A atingiu o solo no ponto
- a) IV.
- b) III.
- c) V.
- d) I.
- e) II.
E (FCMSCSP 2018) Duas esferas idênticas, A e B, sofrem uma colisão totalmente inelástica. Imediatamente antes da colisão, elas se movem no plano xy, representado na figura, com velocidades vA = 2v e vB = v.

Sabendo que imediatamente depois da colisão elas se movem juntas com velocidade de módulo v’, é correto afirmar que
D (FCMSCSP 2018) Um brinquedo é constituído por um caminhão de massa 3M e por uma bolinha de massa M apoiada em sua carroceria. Entre os dois há uma mola ideal comprimida e travada. O brinquedo se encontra inicialmente em repouso sobre uma superfície plana e horizontal. Quando o gatilho da mola é acionado, a mola é destravada e faz com que o caminhão adquira energia cinética igual a EC.
Desprezando todos os atritos e considerando EB a energia cinética adquirida pela bolinha imediatamente após o destravamento da mola, é correto afirmar que
B (UFRGS 2018) Considere as três afirmações abaixo.
I – Em qualquer processo de colisão entre dois objetos, a energia cinética total e a quantidade de movimento linear total do sistema são quantidades conservadas.
II – Se um objeto tem quantidade de movimento linear, então terá energia mecânica.
III – Entre dois objetos de massas diferentes, o de menor massa jamais terá quantidade de movimento linear maior do que o outro.
Quais estão corretas?
- a) Apenas I.
- b) Apenas lI.
- c) Apenas III.
- d) Apenas I e lI.
- e) I, II e III.
2017
(UNIFESP 2017) Em um teste realizado na investigação de um crime, um projétil de massa 20 g é disparado horizontalmente contra um saco de areia apoiado, em repouso, sobre um carrinho que, também em repouso, está apoiado sobre uma superfície horizontal na qual pode mover-se livre de atrito. O projétil atravessa o saco perpendicularmente aos eixos das rodas do carrinho, e sai com velocidade menor que a inicial, enquanto o sistema formado pelo saco de areia e pelo carrinho, que totaliza 100 kg sai do repouso com velocidade de módulo v.
O gráfico representa a variação da velocidade escalar do projétil, vP em função do tempo, nesse teste.
- a) o módulo da velocidade v em m/s adquirida pelo sistema formado pelo saco de areia e pelo carrinho imediatamente após o saco ter sido atravessado pelo projétil.
- b) o trabalho, em joules, realizado pela resultante das forças que atuaram sobre o projétil no intervalo de tempo em que ele atravessou o saco de areia.
RESPOSTAS: 1. a) 0,084 m/s. b) -2436 J.
D (FUVEST 2017) A figura foi obtida em uma câmara de nuvens, equipamento que registra trajetórias deixadas por partículas eletricamente carregadas. Na figura, são mostradas as trajetórias dos produtos do decaimento de um isótopo do hélio (2He6) em repouso: um elétron (e–) e um isótopo de lítio (3Li6), bem como suas respectivas quantidades de movimento linear, no instante do decaimento, representadas, em escala, pelas setas. Uma terceira partícula, denominada antineutrino (v, carga zero), é também produzida nesse processo.
O vetor que melhor representa a direção e o sentido da quantidade de movimento do antineutrino é:
E (PUCRJ 2017) Um objeto de massa m escorrega com velocidade V sobre uma superfície horizontal sem atrito e colide com um objeto de massa M que estava em repouso. Após a colisão, os dois objetos saem grudados com uma velocidade horizontal igual a V/4.
Calcule a razão M/m:
- a) 1/3
- b) 1/2
- c) 1
- d) 2
- e) 3
B (UEG 2017) Na olimpíada, o remador Isaquias Queiroz, ao se aproximar da linha de chegada com o seu barco, lançou seu corpo para trás. Os analistas do esporte a remo disseram que esse ato é comum nessas competições, ao se cruzar a linha de chegada.
Em física, o tema que explica a ação do remador é
- a) o lançamento oblíquo na superfície terrestre.
- b) a conservação da quantidade de movimento.
- c) o processo de colisão elástica unidimensional.
- d) o princípio fundamental da dinâmica de Newton.
- e) a grandeza viscosidade no princípio de Arquimedes.
A (PUCRJ 2017) Um jogador de tênis, durante o saque, lança a bola verticalmente para cima. Ao atingir sua altura máxima, a bola é golpeada pela raquete de tênis, e sai com velocidade de 108 km/h na direção horizontal.
Calcule, em kg.m/s, o módulo da variação de momento linear da bola entre os instantes logo após e logo antes de ser golpeada pela raquete.
Dado: Considere a massa da bola de tênis igual a 50 g
- a) 1,5
- b) 5,4
- c) 54
- d) 1500
- e) 5400
D (PUCSP 2017) A figura mostra uma colisão envolvendo um trem de carga e uma camionete. Segundo testemunhas, o condutor da camionete teria ignorado o sinal sonoro e avançou a cancela da passagem de nível.
Após a colisão contra a lateral do veículo, o carro foi arrastado pelo trem por cerca de 300 metros. Supondo a massa total do trem de 120 toneladas e a da camionete de 3 toneladas, podemos afirmar que, no momento da colisão, a intensidade da força que
- a) o trem aplicou na camionete foi 40 vezes maior do que a intensidade da força que a camionete aplicou no trem e a colisão foi parcialmente elástica.
- b) o trem aplicou na camionete foi 40 vezes maior do que a intensidade da força que a camionete aplicou no trem e a colisão foi inelástica.
- c) a camionete aplicou no trem foi igual à intensidade da força que o trem aplicou na camionete e a colisão foi parcialmente elástica.
- d) a camionete aplicou no trem foi igual à intensidade da força que o trem aplicou na camionete e a colisão foi inelástica.
C (PUCRS 2017) O gráfico abaixo representa a quantidade de movimento Q em função da velocidade v para uma partícula de massa m.
A área hachurada no gráfico é numericamente igual a qual grandeza física?
- a) Impulso
- b) Deslocamento
- c) Energia cinética
- d) Força resultante
(UFSC 2017) Nos Jogos Olímpicos Rio 2016, a seleção brasileira de vôlei obteve a medalha de ouro após doze anos da última conquista, com uma vitória de sets a sobre a Itália. O saque Viagem, popularizado pelos jogadores brasileiros na Olimpíada de 1984, foi de fundamental importância para o alto desempenho da equipe. Na figura abaixo, uma sequência de imagens ilustra a execução de um saque Viagem, com indicação da posição do jogador e da posição correspondente da bola em diversos instantes de tempo. O jogador lança a bola, cuja massa é de 0,3 kg com velocidade horizontal de 4,0 m/s e entra em contato novamente com ela a uma altura de 3,50 m acima do solo, no instante 2,2 s Esse contato dura apenas 0,02 s mas projeta a bola com velocidade de módulo V = 20 m/s.
Com base na figura e nos dados acima, é correto afirmar que:
01) a força média de interação da mão do jogador com a bola na direção horizontal é de aproximadamente 234 N .
02) o módulo da velocidade vertical da bola no momento em que o jogador entra em contato novamente com ela é de 3,5 m/s.
04) o módulo da força média de interação da mão do jogador com a bola é maior que o módulo da força média de interação da bola com a mão do jogador.
08) a força média de interação da mão do jogador com a bola na direção vertical é nula.
16) o trabalho realizado sobre a bola durante a interação é de aproximadamente 53,23 J.
RESPOSTAS: 01+16=17.
2016
(UNESP 2016) Duas esferas, A e B de mesma massa e de dimensões desprezíveis, estão inicialmente em repouso nas posições indicadas na figura. Após ser abandonada de uma altura h a esfera A presa por um fio ideal a um ponto fixo O desce em movimento circular acelerado e colide frontalmente com a esfera B que está apoiada sobre um suporte fixo no ponto mais baixo da trajetória da esfera A. Após a colisão, as esferas permanecem unidas e, juntas, se aproximam de um sensor S, situado à altura 0,2 m que, se for tocado, fará disparar um alarme sonoro e luminoso ligado a ele.
Compare as situações imediatamente antes e imediatamente depois da colisão entre as duas esferas, indicando se a energia mecânica e a quantidade de movimento do sistema formado pelas duas esferas se conservam ou não nessa colisão. Justifique sua resposta. Desprezando os atritos e a resistência do ar, calcule o menor valor da altura h em metros, capaz de fazer o conjunto formado por ambas as esferas tocar o sensor S.
RESPOSTA: 0,8 m
(FMJ 2016) Uma bola de massa 1 kg é chutada a 12 m/s a partir do solo, formando um ângulo de 45° com a horizontal. Ao atingir o ponto mais alto de sua trajetória, a bola colide e adere a um balde de massa 2 kg que se encontra em repouso na extremidade de uma plataforma plana e horizontal, conforme mostra a figura.
Considerando a aceleração da gravidade 10 m/s , √2 ≈ 1,4 e a resistência do ar desprezível, determine:
- a) a altura máxima, em metros, atingida pela bola.
- b) a velocidade da bola, em m/s, imediatamente antes e depois da colisão totalmente inelástica com o balde.
RESPOSTA: a) 3,528 m. b) 2,8 m/s.
(UERJ 2016) Observe o gráfico a seguir, que indica a força exercida por uma máquina em função do tempo.
Admitindo que não há perdas no sistema, estime, em N.s a impulsão fornecida pela máquina no intervalo entre 5 e 105 segundos.
RESPOSTA: 10 000 N.s
(UFJF-pism 1 2016) Uma aranha radioativa de massa ma = 3,0 g fugiu do laboratório e foi parar na sala de aula. Ela está parada e pendurada no teto através de um fio fino feito de sua teia, de massa desprezível. Um estudante, mascando um chiclete com massa mc = 10,0 g se apavora e atira o chiclete contra a aranha com uma velocidade de vc = 20 m/s. Considere que a colisão entre o chiclete e a aranha é totalmente inelástica e que possa ser tratada como unidimensional. Com base nestas informações, CALCULE:
- a) Os módulos dos momentos lineares da aranha e do chiclete imediatamente antes da colisão.
- b) A velocidade final do conjunto aranha-chiclete imediatamente após a colisão.
RESPOSTA: a) Qa = 0, Qc = 0,2 kg.m/s. b) 15,4 m/s.
B (UNICAMP 2016) Beisebol é um esporte que envolve o arremesso, com a mão, de uma bola de 140 g de massa na direção de outro jogador que irá rebatê-la com um taco sólido. Considere que, em um arremesso, o módulo da velocidade da bola chegou a 162 km/h, imediatamente após deixar a mão do arremessador. Sabendo que o tempo de contato entre a bola e a mão do jogador foi de 0,07 s o módulo da força média aplicada na bola foi de
- a) 324,0 N
- b) 90,0 N
- c) 6,3 N
- d) 11,3 N
C (UNICAMP 2016) Tempestades solares são causadas por um fluxo intenso de partículas de altas energias ejetadas pelo Sol durante erupções solares. Esses jatos de partículas podem transportar bilhões de toneladas de gás eletrizado em altas velocidades, que podem trazer riscos de danos aos satélites em torno da Terra.
Considere que, em uma erupção solar em particular, um conjunto de partículas de massa total mP = 5 kg deslocando-se com velocidade de módulo vP = 2 x 105 m/s choca-se com um satélite de massa MS = 95 kg que se desloca com velocidade de módulo igual a VS = 4 x 103 m/s na mesma direção e em sentido contrário ao das partículas. Se a massa de partículas adere ao satélite após a colisão, o módulo da velocidade final do conjunto será de
- a) 102000 m/s
- b) 14000 m/s
- c) 6200 m/s
- d) 3900 m/s
B (EFOMM 2016) Uma balsa de 2,00 toneladas de massa, inicialmente em repouso, transporta os carros A e B, de massas 800 kg e 900 kg respectivamente. Partindo do repouso e distantes 200 m inicialmente, os carros aceleram, um em direção ao outro, até alcançarem uma velocidade constante de 20 m/s em relação à balsa. Se as acelerações são aA = 7,00 m/s2 e aB = 5,00 m/s2 relativamente à balsa, a velocidade da balsa em relação ao meio líquido, em m/s, imediatamente antes dos veículos colidirem, é de
- a) zero
- b) 0,540
- c) 0,980
- d) 2,35
- e) 2,80
C (IFSP 2016) Os Jogos Olímpicos de 2016 (Rio 2016) é um evento multiesportivo que acontecerá no Rio de Janeiro. O jogo de tênis é uma das diversas modalidades que compõem as Olímpiadas. Se em uma partida de tênis um jogador recebe uma bola com velocidade de 18,0 m/s e rebate na mesma direção e em sentido contrário com velocidade de 32 m/s assinale a alternativa que apresenta qual o módulo da sua aceleração média, em m/s2, sabendo que a bola permaneceu 0,10 s em contato com a raquete.
- a) 450
- b) 600
- c) 500
- d) 475
- e) 200
A (UERJ 2016) Considere um patinador X que colide elasticamente com a parede P de uma sala. Os diagramas abaixo mostram segmentos orientados indicando as possíveis forças que agem no patinador e na parede, durante e após a colisão. Note que segmento nulo indica força nula.
Supondo desprezível qualquer atrito, o diagrama que melhor representa essas forças é designado por:
- a) I
- b) II
- c) III
- d) IV
C (IFSC 2016) Um torcedor de futebol, durante uma partida do campeonato brasileiro de 2015, resolveu utilizar seus conhecimentos de Física para explicar diversas jogadas.
Nesta perspectiva, leia com atenção as afirmações a seguir e marque V para as verdadeiras e F para as falsas:
( ) A força que o jogador exerce sobre a bola, ao chutá-la, é maior do que a força que a bola exerce sobre o pé do jogador.
( ) A energia cinética da bola em movimento é diretamente proporcional ao quadrado da sua velocidade.
( ) Se, em uma determinada jogada da partida, a bola cair verticalmente de uma altura, a energia potencial em relação a Terra será diretamente proporcional ao quadrado da altura.
( ) Na cobrança de um pênalti, o jogador altera a quantidade de movimento da bola, que, por sua vez, é novamente alterada quando a bola se choca com a rede.
Assinale a opção que contém a sequência CORRETA das respostas, de cima para baixo:
- a) F, V, V, V.
- b) V, F, F, V.
- c) F, V, F, V.
- d) F, F, V, V.
- e) V, V, V, F.
D (PUC PR 2016) Um foguete, de massa M, encontra-se no espaço e na ausência de gravidade com uma velocidade (v0) de 3000 km/h em relação a um observador na Terra, conforme ilustra a figura a seguir. Num dado momento da viagem, o estágio, cuja massa representa 75% da massa do foguete, é desacoplado da cápsula. Devido a essa separação, a cápsula do foguete passa a viajar 800 km/h mais rápido que o estágio.
Qual a velocidade da cápsula do foguete, em relação a um observador na Terra, após a separação do estágio?
- a) 3000 km/h
- b) 3200 km/h
- c) 3400 km/h
- d) 3600 km/h
- e) 3800 km/h
B (IFBA 2016) Considere que um satélite de massa m = 5 kg seja colocado em órbita circular ao redor da Terra, a uma altitude h = 650 km Sendo o raio da Terra igual a 6350 km sua massa igual a 5,98 x 1024 kg e a constante de gravitação universal G = 6,67 x 10-11 N.m2/kg2 , o módulo da quantidade de movimento do satélite, em kg.m/s, é, aproximadamente, igual a
- a) 7,6 x 103
- b) 3,8 x 104
- c) 8,0 x 104
- d) 2,8 x 1011
- e) 5,6 x 1011
A (Fac. Pequeno Príncipe – Medici 2016) O pêndulo balístico, inventado no século XIX, é um dispositivo bastante preciso na determinação da velocidade de projéteis e é constituído por um bloco, geralmente de madeira, suspenso por dois fios de massas desprezíveis e inextensíveis, conforme mostrado a seguir. Para o pêndulo da figura, considere que o projétil tenha massa de 50 g e o bloco de 5 kg e que, após ser atingido pelo projétil, o bloco alcança uma altura h = 20 cm. Determine a velocidade do projétil no instante em que atinge o bloco. (Faça g = 10 m/s2)
- a) 202 m/s
- b) 212 m/s
- c) 222 m/s
- d) 242 m/s
- e) 252 m/s
B (UPE – SSA 1 2016) “Ao utilizar o cinto de segurança no banco de trás, o passageiro também está protegendo o motorista e o carona, as pessoas que estão na frente do carro. O uso do cinto de segurança no banco da frente e, principalmente, no banco de trás pode evitar muitas mortes. Milhares de pessoas perdem suas vidas no trânsito, e o uso dos itens de segurança pode reduzir essa estatística. O Brasil também está buscando, cada vez mais, fortalecer a nossa ação no campo da prevenção e do monitoramento. Essa é uma discussão que o Ministério da Saúde vem fazendo junto com outros órgãos do governo”, destacou o Ministro da Saúde, Arthur Chioro.
Estudo da Associação Brasileira de Medicina de Tráfego (Abramet) mostra que o cinto de segurança no banco da frente reduz o risco de morte em 45% e, no banco traseiro, em até 75% Em 2013, um levantamento da Rede Sarah apontou que 80% dos passageiros do banco da frente deixariam de morrer, se os cintos do banco de trás fossem usados com regularidade.
Disponível em: http://bvsms.saude.gov.br/ultimas-noticias/1596-metade-dos-brasileiros-nao-usa-cinto-de-seguranca-no-banco-detras
Acesso em: 12 de julho de 2015.
Em uma colisão frontal, um passageiro sem cinto de segurança é arremessado para a frente. Esse movimento coloca em risco a vida dos ocupantes do veículo. Vamos supor que um carro popular com lotação máxima sofra uma colisão na qual as velocidades inicial e final do veículo sejam iguais a 72 km/h e zero, respectivamente. Se o passageiro do banco de trás do veículo tem massa igual a 80 kg e é arremessado contra o banco da frente, em uma colisão de 400ms de duração, a força média sentida por esse passageiro é igual ao peso de
- a) 360 kg na superfície terrestre.
- b) 400 kg na superfície terrestre.
- c) 1440 kg na superfície terrestre.
- d) 2540 kg na superfície terrestre.
- e) 2720 kg na superfície terrestre.
C (UDESC 2016) Em uma colisão elástica frontal (em uma dimensão) entre duas partículas de massas m1 e m2 a partícula 2 estava em repouso antes da colisão. Analise as proposições em relação à colisão.
- A quantidade de movimento e a energia cinética do sistema se conservam.
- Se as massas são iguais, a magnitude da velocidade adquirida pela partícula 2, após a colisão, é igual à magnitude da velocidade da partícula 1, antes da colisão.
- Se m1 é maior que m2 a magnitude da velocidade adquirida pela partícula 2, após a colisão, será maior que a magnitude da velocidade da partícula 1, antes da colisão.
- Se m1 é menor que m2 o vetor velocidade da partícula 1, após a colisão, é igual ao vetor velocidade que ela tinha antes da colisão.
Assinale a alternativa correta:
- a) Somente as afirmativas I e III são verdadeiras.
- b) Somente as afirmativas I, III e IV são verdadeiras.
- c) Somente as afirmativas I, II e III são verdadeiras.
- d) Somente a afirmativa II é verdadeira.
- e) Somente a afirmativa IV é verdadeira.
C (UECE 2016) Em um dado jogo de sinuca, duas das bolas se chocam uma contra a outra. Considere que o choque é elástico, a colisão é frontal, sem rolamento, e despreze os atritos. No sistema composto pelas duas bolas há conservação de
- a) momento linear e força.
- b) energia cinética e força.
- c) momento linear e energia cinética.
- d) calor e momento linear.
D (UPE – SSA 1 2016) Em um experimento utilizando bolas de bilhar, uma bola A é arremessada com velocidade horizontal de módulo vA em uma superfície horizontal fixa e sem atrito. A bola A colide elasticamente com outra bola idêntica, B.
Sobre o movimento do centro de massa do conjunto de bolas, sabendo que a bola B está sempre em contato com a superfície, assinale a alternativa CORRETA.
- a) Permanece em repouso, durante o movimento de A e B na plataforma.
- b) Permanece em repouso, durante o movimento na rampa da partícula B.
- c) Está em movimento uniformemente variado, antes da colisão.
- d) Está em movimento uniforme, depois da colisão, enquanto B ainda está na plataforma.
- e) Está em movimento uniforme, durante o movimento descendente da partícula B.
2015
A (FUVEST 2015) Um trabalhador de massa m está em pé, em repouso, sobre uma plataforma de massa M. O conjunto se move, sem atrito, sobre trilhos horizontais e retilíneos, com velocidade de módulo constante v. Num certo instante, o trabalhador começa a caminhar sobre a plataforma e permanece com velocidade de módulo v em relação a ela, e com sentido oposto ao do movimento dela em relação aos trilhos. Nessa situação, o módulo da velocidade da plataforma em relação aos trilhos é
- a) ( 2m + M ) v / ( m + M )
- b) ( 2m + M ) v / M
- c) ( 2m + M ) v / m
- d) ( M – m ) v / M
- e) ( m + M ) v / (M – m)
A (UPE 2015) Uma partícula de massa m se move com velocidade de módulo v imediatamente antes de colidir elasticamente com uma partícula idêntica, porém em repouso. A força de contato entre as partículas que atua durante um breve período de tempo T está mostrada no gráfico a seguir.
Desprezando os atritos, determine o valor máximo assumido pela força de contato Fo:
- a) 4 mv / 3T
- b) 2 mv / 3T
- c) mv / T
- d) mv / 3T
- e) mv / 4T
D (PUC RJ 2015) Uma massa de 10 g e velocidade inicial de 5,0 m/s colide, de modo totalmente inelástico, com outra massa de 15 g que se
encontra inicialmente em repouso. O módulo da velocidade das massas, em m/s, após a colisão é:
- a) 0,2
- b) 1,5
- c) 3,3
- d) 2,0
- e) 5,0
A (PUC PR 2015) A figura a seguir ilustra uma visão superior de uma mesa de sinuca, onde uma bola de massa 400 g atinge a tabela com um ângulo de 60º com a normal e ricocheteia formando o mesmo ângulo com a normal. A velocidade da bola, de 9 m/s, altera apenas a direção do movimento durante o choque, que tem uma duração de 10 ms. A partir da situação descrita acima, a bola exerce uma força média na tabela da mesa de:
- a) 360 N
- b) 5400 N
- c) 3600 N
- d) 4000 N
- e) 600 N
A (UERJ 2015) Admita uma colisão frontal totalmente inelástica entre um objeto que se move com velocidade inicial Vo e outro objeto inicialmente em repouso, ambos com mesma massa. Nessa situação, a velocidade com a qual os dois objetos se movem após a colisão equivale a:
- a) Vo/2
- b) Vo/4
- c) 2Vo
- d) 4Vo
B (UFU 2015) Uma pessoa arremessa um corpo de material deformável de massa m1 com velocidade v1 em sentido oposto a um outro corpo, também de mesmo material, porém com massa m2 que possuía velocidade v2 diferente de zero. Considere que m2 = m1 / 4. Os dois corpos se chocam frontalmente numa colisão perfeitamente inelástica, parando imediatamente após o choque. Na situação descrita, a relação entre os módulos das velocidades iniciais dos dois corpos, antes do choque, é:
- a) v1 = 4 . v2
- b) v1 = v2 / 4
- c) v1 = 5 – v2
- d) v1 = v2
A (UDESC 2015) Com relação às colisões elástica e inelástica, analise as proposições.
I. Na colisão elástica, o momento linear e a energia cinética não se conservam.
II. Na colisão inelástica, o momento linear e a energia cinética não se conservam.
III. O momento linear se conserva tanto na colisão elástica quanto na colisão inelástica.
IV. A energia cinética se conserva tanto na colisão elástica quanto na colisão inelástica.
Assinale a alternativa correta.
- a) Somente a afirmativa III é verdadeira.
- b) Somente as afirmativas I e II são verdadeiras.
- c) Somente a afirmativa IV é verdadeira.
- d) Somente as afirmativas III e IV são verdadeiras.
- e) Todas as afirmativas são verdadeiras.
B (FMABC 2015) Uma bola de futebol de massa m é abandonada verticalmente e atinge a cabeça de um jogador com velocidade de módulo vvertical. Instintivamente, o jogador cabeceia a bola lançando-a na direção horizontal com velocidade de módulo vhorizontal. Determine o módulo do impulso da força resultante que a cabeça do jogador aplica na bola devido ao cabeceio.
2014
C (FUVEST 2014) Um núcleo de polônio-204 (204Po), em repouso, transmuta-se em um núcleo de chumbo-200 (200Pb), emitindo uma partícula alfa (α) com energia cinética Eα.
Nesta reação, a energia cinética do núcleo de chumbo é igual a
- a) Eα
- b) Eα /4
- c) Eα/50
- d) Eα/200
- e) Eα/204
A (UECE 2014) Uma esfera de massa m é lançada do solo verticalmente para cima, com velocidade inicial V, em módulo, e atinge o solo 1 s depois. Desprezando todos os atritos, a variação no momento linear entre o instante do lançamento e o instante imediatamente antes do retorno ao solo é, em módulo,
- a) 2mV
- b) mV.
- c) mV²/2.
- d) mV/2.
2013
A (FUVEST 2013) Um fóton, com quantidade de movimento na direção e sentido do eixo x, colide com um elétron em repouso. Depois da colisão, o elétron passa a se mover com quantidade de movimento pe, no plano xy, como ilustra a figura ao lado. Dos vetores pf abaixo, o único que poderia representar a direção e sentido da quantidade de movimento do fóton, após a colisão, é
E (FUVEST 2013) Compare as colisões de uma bola de vôlei e de uma bola de golfe com o tórax de uma pessoa, parada e em pé. A bola de vôlei, com massa de 270 g, tem velocidade de 30 m/s quando atinge a pessoa, e a de golfe, com 45 g, tem velocidade de 60 m/s ao atingir a mesma pessoa, nas mesmas condições. Considere ambas as colisões totalmente inelásticas. É correto apenas o que se afirma em:
- a) Antes das colisões, a quantidade de movimento da bola de golfe é maior que a da bola de vôlei.
- b) Antes das colisões, a energia cinética da bola de golfe é maior que a da bola de vôlei.
- c) Após as colisões, a velocidade da bola de golfe é maior que a da bola de vôlei.
- d) Durante as colisões, a força média exercida pela bola de golfe sobre o tórax da pessoa é maior que a exercida pela bola de vôlei.
- e) Durante as colisões, a pressão média exercida pela bola de golfe sobre o tórax da pessoa é maior que a exercida pela bola de vôlei.
Note e adote:
- A massa da pessoa é muito maior que a massa das bolas.
- As colisões são frontais.
- O tempo de interação da bola de vôlei com o tórax da pessoa é o dobro do tempo de interação da bola de golfe.
- A área média de contato da bola de vôlei com o tórax é 10 vezes maior que a área média de contato da bola de golfe.
A (UNICAMP 2013) Muitos carros possuem um sistema de segurança para os passageiros chamado airbag. Este sistema consiste em uma bolsa de plástico que é rapidamente inflada quando o carro sofre uma desaceleração brusca, interpondo-se entre o passageiro e o painel do veículo. Em uma colisão, a função do airbag é
- a) aumentar o intervalo de tempo de colisão entre o passageiro e o carro, reduzindo assim a força recebida pelo passageiro.
- b) aumentar a variação de momento linear do passageiro durante a colisão, reduzindo assim a força recebida pelo passageiro.
- c) diminuir o intervalo de tempo de colisão entre o passageiro e o carro, reduzindo assim a força recebida pelo passageiro.
- d) diminuir o impulso recebido pelo passageiro devido ao choque, reduzindo assim a força recebida pelo passageiro.
D (PUC RJ 2013) Uma massinha de 0,3 kg é lançada horizontalmente com velocidade de 5,0 m/s contra um bloco de 2,7 kg que se encontra em repouso sobre uma superfície sem atrito. Após a colisão, a massinha se adere ao bloco. Determine a velocidade final do conjunto massinha-bloco em m/s imediatamente após a colisão
- a) 2,8
- b) 2,5
- c) 0,6
- d) 0,5
- e) 0,2
2012
D (FUVEST 2012) Uma pequena bola de borracha maciça é solta do repouso de uma altura de 1 m em relação a um piso liso e sólido. A colisão da bola com o piso tem coeficiente de restituição ε = 0,8. A altura máxima atingida pela bola, depois da sua terceira colisão com o piso, é
- a) 0,80 m.
- b) 0,76 m.
- c) 0,64 m.
- d) 0,51 m.
- e) 0,20 m.
D (FUVEST 2012) Maria e Luísa, ambas de massa M, patinam no gelo.
Luísa vai ao encontro de Maria com velocidade de módulo V. Maria, parada na pista, segura uma bola de massa m e, num certo instante, joga a bola para Luísa. A bola tem velocidade de módulo v, na mesma direção de V. Depois que Luísa agarra a bola, as velocidades de Maria e Luísa, em relação ao solo, são, respectivamente,
- a) 0; v – V
- b) -v; v + V/2
- c) -mv/M; MV/m
- d) -mv/M; (mv – MV)/(M + m)
- e) (MV / 2 – mv)/M; (mv – MV/2)/(M + m)
B (ESPCEX (AMAN) 2012) Um canhão, inicialmente em repouso, de massa 600 kg, dispara um projétil de massa 3 kg com velocidade horizontal de 800 m/s. Desprezando todos os atritos, podemos afirmar que a velocidade de recuo do canhão é de:
- a) 2 m/s
- b) 4 m/s
- c) 6 m/s
- d) 8 m/s
- e) 12 m/s
D (AFA 2012) De acordo com a figura abaixo, a partícula A, ao ser abandonada de uma altura H, desce a rampa sem atritos ou resistência do ar até sofrer uma colisão, perfeitamente elástica, com a partícula B que possui o dobro da massa de A e que se encontra inicialmente em repouso. Após essa colisão, B entra em movimento e A retorna, subindo a rampa e atingindo uma altura igual a:
- a) H
- b) H/2
- c) H/3
- d) H/9
C (FMJ 2012) Uma marreta golpeia uma ponteira de aço que se encontra apoiada em uma parede. O golpe exerce uma força variável sobre a ponteira, de acordo com o gráfico que representa todo o tempo da interação.
Se nessas condições a ponteira de massa 0,1 kg, inicialmente em repouso, não estivesse tocando a parede, após a interação com a marreta, adquiriria uma velocidade, em m/s, igual a
- a) 5
- b) 10
- c) 20
- d) 25
- e) 30
E (PUC RJ 2012) Um objeto de massa M1 = 4,0 kg desliza, sobre um plano horizontal sem atrito, com velocidade V = 5,0 m/s, até atingir um segundo corpo de massa M2 = 5,0 kg, que está em repouso. Após a colisão, os corpos ficam grudados. Calcule a velocidade final Vf dos dois corpos grudados.
- a) Vf = 22 m/s
- b) Vf = 11 m/s
- c) Vf = 5,0 m/s
- d) Vf = 4,5 m/s
- e) Vf = 2,2 m/s
A (PUC RS 2012-1) Uma bola de massa 100 g cai sobre um piso duro, realizando uma colisão que pode ser considerada elástica. O gráfico a seguir mostra como evolui a intensidade da força que o piso faz sobre a bola durante a colisão.
Analisando o gráfico à luz das leis da mecânica, são feitas as seguintes afirmativas:
- O impulso recebido pela bola durante a colisão foi 0,20 N.s na vertical para cima.
- A variação no momento linear da bola devido à colisão foi 0,20 kg.m/s na vertical para cima.
- A variação no módulo do momento linear da bola devido à colisão foi 0,20 kg.m/s.
- A variação no módulo da velocidade da bola devido à colisão foi 2,0 m/s.
As afirmativas corretas são, apenas,
- a) I e II.
- b) I e III.
- c) II e III.
- d) II e IV.
- e) III e IV.
A (UDESC 2012-1) A figura mostra um projétil de massa 20 g se aproximando com uma velocidade constante V de um bloco de madeira de 2,48 kg que repousa na extremidade de uma mesa de 1,25 m de altura. O projétil atinge o bloco e permanece preso a ele. Após a colisão, ambos caem e atingem a superfície a uma distância horizontal de 2,0 m da extremidade da mesa, conforme mostra a figura 1. Despreze o atrito entre o bloco de madeira e a mesa.
Assinale a alternativa que contém o valor da velocidade V do projétil antes da colisão.
Dado: g = 10 m/s2.
- a) 0,50 km/s
- b) 1,00 km/s
- c) 1,50 km/s
- d) 0,10 km/s
- e) 0,004 km/s
A (UEA 2012) Considere que uma lancha, após sofrer problemas mecânicos, exploda em apenas dois pedaços A e B, de mesma massa. Se inicialmente a lancha estava em repouso, podemos afirmar, corretamente, que imediatamente após a explosão
- a) o módulo da quantidade de movimento do pedaço A é igual ao módulo da quantidade de movimento do pedaço B.
- b) a quantidade de movimento do pedaço A tem o mesmo sentido da quantidade de movimento do pedaço B.
- c) o vetor quantidade de movimento do pedaço A é igual ao vetor quantidade de movimento do pedaço B.
- d) a energia mecânica do sistema se conserva.
- e) a energia cinética do sistema se conserva.
2011
B (FUVEST 2011) Um gavião avista, abaixo dele, um melro e, para apanhá-lo, passa a voar verticalmente, conseguindo agarrá-lo. Imediatamente antes do instante em que o gavião, de massa MG = 300 g, agarra o melro, de massa MM = 100 g, as velocidades do gavião e do melro são, respectivamente, VG = 80 km/h na direção vertical, para baixo, e VM = 24 km/h na direção horizontal, para a direita, como ilustra a figura acima. Imediatamente após a caça, o vetor velocidade u do gavião, que voa segurando o melro, forma um ângulo α com o plano horizontal tal que tg α é aproximadamente igual a
- a) 20.
- b) 10.
- c) 3.
- d) 0,3.
- e) 0,1
B (PUC RJ 2011-1) Duas massas se movendo sobre a mesma linha reta e em sentidos opostos se chocam e ficam grudadas entre si após a colisão. Antes da colisão, as massas e velocidades respectivas são m1 = 4,0 kg; m2 = 2,0 kg; v1 = 5,0 m/s; v2 = -10,0 m/s. A velocidade final em m/s do sistema das massas grudadas é:
- a) 5,0.
- b) 0,0.
- c) 15,0.
- d) -10,0.
- e) – 7,5.
B (PUC RJ 2011-1) Uma colisão parcialmente inelástica ocorre entre duas massas idênticas. As velocidades iniciais eram v1i = 5,0 m/s ao longo do eixo x e v2i = 0. Sabendo que, após a colisão, temos v1f = 1,0 m/s ao longo de x, calcule v2f após a colisão.
- a) 5,0 m/s.
- b) 4,0 m/s.
- c) 3,0 m/s.
- d) 2,0 m/s.
- e) 1,0 m/s.
B (PUC RJ 2011-2) Uma patinadora de massa 60,0 kg se movimentando com a velocidade de 5,0 m/s colide com um objeto de massa 1,0 kg que se encontra em repouso. Após a colisão, o objeto se desloca com velocidade de 30,0 m/s na mesma direção e sentido da patinadora. Determine a velocidade relativa entre a patinadora e o objeto após a colisão em m/s.
- a) 25,0.
- b) 25,5.
- c) 34,5.
- d) 35,0.
- e) 35,5.
B (MACKENZIE 2011) No esquema a seguir, a polia e o fio são considerados ideais e os corpos A e B se deslocam com velocidade escalar constante e igual a 2,0 m/s.
Sabendo-se que a quantidade de movimento do corpo A tem módulo 3,0 kg.m/s e que a massa do corpo B é 10 kg, o coeficiente de atrito dinâmico entre sua base de apoio e o plano horizontal de deslocamento é:
- a) 0,10
- b) 0,15
- c) 0,20
- d) 0,25
- e) 0,30
A (UEFS 2011) Uma esfera, A, com massa de 50,0 g e velocidade de 8,0 m/s choca-se frontalmente com outra esfera, B, que se encontra em repouso sobre uma superfície plana e horizontal de atrito desprezível. Sabendo-se que a massa da esfera B é de 200,0 g e que o choque é perfeitamente elástico, os módulos das velocidades das esferas A e B, após o choque, em m/s, são iguais, respectivamente, a:
- a) 4,8 e 3,2.
- b) 5,0 e 3,0.
- c) 5,5 e 2,5.
- d) 5,7 e 2,3.
- e) 6,0 e 2,0.
A (FGV RJ 2011) Leonardo, de 75 kg, e sua filha Beatriz, de 25 kg, estavam patinando em uma pista horizontal de gelo, na mesma direção e em sentidos opostos, ambos com velocidade de módulo v = 1,5 m/s. Por estarem distraídos, colidiram frontalmente, e Beatriz passou a se mover com velocidade de módulo u = 3,0 m/s, na mesma direção, mas em sentido contrário ao de seu movimento inicial. Após a colisão, a velocidade de Leonardo é:
- a) nula.
- b) 1,5 m/s no mesmo sentido de seu movimento inicial.
- c) 1,5 m/s em sentido oposto ao de seu movimento inicial.
- d) 3,0 m/s no mesmo sentido de seu movimento inicial.
- e) 3,0 m/s em sentido oposto ao de seu movimento inicial.
A (UESC 2011) Uma esfera de massa igual a 2,0kg, inicialmente em repouso sobre o solo, é puxada verticalmente para cima por uma força constante de módulo igual a 30,0N, durante 2,0s. Desprezando-se a resistência do ar e considerando-se o módulo da aceleração da gravidade local igual a 10 m/s², a intensidade da velocidade da esfera, no final de 2,0s, é igual, em m/s, a
- a) 10,0
- b) 8,0
- c) 6,0
- d) 5,0
- e) 4,0
D (UFRN 2011) Num jogo de futebol, os jogadores exercem forças de contato sobre a bola, as quais são detectadas pelos seus efeitos, como deformação da bola e modificações do seu estado de repouso ou de movimento.
Quando o jogador chuta a bola, aplica-lhe uma força de intensidade variável e há uma interação entre o pé e a bola durante um curto intervalo de tempo.
Com os recursos tecnológicos de que se dispõe atualmente, é possível determinar tanto a força média exercida pelo pé quanto o tempo de contato entre o pé e a bola.
Considerando que a força média multiplicada pelo tempo de contato é o impulso exercido sobre a bola, pode-se afirmar que este produto é igual à variação da
- a) quantidade de movimento angular da bola devido ao chute.
- b) energia cinética da bola devido ao chute.
- c) energia potencial da bola devido ao chute.
- d) quantidade de movimento linear da bola devido ao chute.
2010
D (MACKENZIE 2010) O conjunto ilustrado a seguir é constituído de fio e polias ideais e se encontra em equilíbrio, quando o dinamômetro D, de massa desprezível, indica 60 N.
Em um dado instante, o fio é cortado e o corpo C cai livremente. Adotando-se g= 10 m/s2, a quantidade de movimento do corpo, no instante t = 1,0 s, medido a partir do início da queda, tem módulo:
- a) 30 kg.m/s
- b) 60 kg.m/s
- c) 90 kg.m/s
- d) 120 kg.m/s
- e) 150 kg.m/s
A (ACAFE 2010) Jornais e revistas anunciaram que um corpo de massa m ficou praticamente destruído ao se chocar com o solo depois de ter sido abandonado de uma altura h. A matéria jornalística ainda justifica a destruição do corpo devido ao aumento de seu peso durante a queda. Desprezando a resistência do ar e considerando g = 10 m/s2, assinale a alternativa correta.
- a) Durante o choque do corpo com o solo, a força média exercida do solo sobre o corpo é tanto menor quanto maior for o tempo de contato entre eles.
- b) O peso do corpo aumenta durante a queda.
- c) Durante o choque do corpo com o solo, a força média exercida do solo sobre o corpo é tanto maior quanto maior for o tempo de contato entre eles.
- d) O peso do corpo diminui durante a queda.
- D (UFPB 2010 – Adaptada) Um disco de 0,03 kg de massa move-se sobre um colchão de ar com velocidade de 4 m/s na direção i. Um jogador, com auxílio de um taco, bate o disco imprimindo-lhe um impulso de 0,09 kg m/s na direção j, que é perpendicular à direção i. Desta forma, é correto dizer que o módulo da velocidade final do disco será:
- a) 1 m/s
- b) 2 m/s
- c) 3 m/s
- d) 5 m/s
- e) 7 m/s
C (FGV 2010) Um brinquedo muito simples de construir, e que vai ao encontro dos ideais de redução, reutilização e reciclagem de lixo, é
retratado na figura.

A brincadeira, em dupla, consiste em mandar o bólido de 100 g, feito de garrafas plásticas, um para o outro. Quem recebe o bólido, mantém suas mãos juntas, tornando os fios paralelos, enquanto que, aquele que o manda, abre com vigor os braços,imprimindo uma força variável, conforme o gráfico.
Considere que:
– a resistência ao movimento causada pelo ar e o atrito entre as garrafas com os fios sejam desprezíveis;
– o tempo que o bólido necessita para deslocar-se de um extremo ao outro do brinquedo seja igual ou superior a 0,60 s.
Dessa forma, iniciando a brincadeira com o bólido em um dos extremos do brinquedo, com velocidade nula, a velocidade de chegada do bólido ao outro extremo, em m/s, é de
- a) 16.
- b) 20.
- c) 24.
- d) 28.
- e) 32.
B (PUCSP 2010) Nas grandes cidades é muito comum a colisão entre veículos nos cruzamentos de ruas e avenidas. Considere uma colisão inelástica entre dois veículos, ocorrida num cruzamento de duas avenidas largas e perpendiculares. Calcule a velocidade dos veículos, em m/s, após a colisão. Considere os seguintes dados dos veículos antes da colisão:
- a) 30
- b) 20
- c) 28
- d) 25
- e) 15
B (UFG 2010) Um jogador de hockey no gelo consegue imprimir uma velocidade de 162 km/h ao puck (disco), cuja massa é de 170 g. Considerando-se que o tempo de contato entre o puck e o stick (o taco) é da ordem de um centésimo de segundo, a força impulsiva média, em newton, é de:
- a) 7,65
- b)7,65 x 102
- c) 2,75 x 103
- d) 7,6 x 103
- e) 2,75 x 104
2009
D (ACAFE 2009) As leis da Física podem ser utilizadas para descrever os fenômenos que ocorrem na Natureza e para efetuar previsões, citando-se as leis de conservação da energia mecânica e da quantidade de movimento. No choque entre dois móveis é possível prever a velocidade dos móveis, após o choque, utilizando-se o princípio de conservação da quantidade de movimento (momento linear). Isto é garantido, se:
- a) a resistência do ar for desprezada.
- b) as forças dissipativas forem desprezadas.
- c) as forças de atrito forem desprezadas.
- d) as forças externas forem desprezadas.
A (UECE 2009) Uma motocicleta de 120 kg se choca de frente com um automóvel de 800 kg, em uma rua horizontal. Sobre a força sofrida pelos veículos, devido à colisão, assinale o correto.
- a) As forças sofridas pelos dois veículos são iguais.
- b) A motocicleta sofre maior força.
- c) O automóvel sofre maior força.
- d) As forças sofridas pelos dois veículos vão depender de a colisão ser ou não elástica.
C (UFRN 2009) Para demonstrar a aplicação das leis de conservação da energia e da quantidade de movimento, um professor realizou o experimento ilustrado nas Figuras 1 e 2, abaixo.
Inicialmente, ele fez colidir um carrinho de massa igual a 1,0 kg, com velocidade de 2,0 m/s, com um outro de igual massa, porém em repouso, conforme ilustrado na Figura 1. No segundo carrinho, existia uma cera adesiva de massa desprezível. Após a colisão, os dois carrinhos se mantiveram
unidos, deslocando-se com velocidade igual a 1,0 m/s, conforme ilustrado na Figura 2.
Considerando-se que a quantidade de movimento e a energia cinética iniciais do sistema eram, respectivamente, 2,0 kg.m/s e 2,0 J, pode-se afirmar que, após a colisão,
- a) nem a quantidade de movimento do sistema nem sua energia cinética foram conservadas.
- b) tanto a quantidade de movimento do sistema quanto sua energia cinética foram conservadas.
- c) a quantidade de movimento do sistema foi conservada, porém a sua energia cinética não foi conservada.
- d) a quantidade de movimento do sistema não foi conservada, porém a sua energia cinética foi conservada.
2007
B (PUC-PR 2007)Um trenó de massa 40 kg desliza a uma velocidade de 5,0 m/s, próximo e paralelamente ao peitoril da pista de patinação. Uma pessoa que está em repouso do lado de fora da pista, solta uma mochila de 10 kg, sobre o trenó. Qual a velocidade do trenó após receber a mochila?
- a) 5,0 m/s
- b) 4,0 m/s
- c) 4,5 m/s
- d) 3,0 m/s
- e) 3,5 m/s
2005
D (UNIFESP 2005) Uma esfera de massa 20 g atinge uma parede rígida com velocidade de 4,0 m/s e volta na mesma direção com velocidade de 3,0 m/s. O impulso da força exercida pela parede sobre a esfera, em N.s, é, em módulo, de
- a) 0,020
- b) 0,040
- c) 0,10
- d) 0,14
- e) 0,70
2000
B (FUVEST 2000) Uma caminhonete A, parada em uma rua plana, foi atingida por um carro B, com massa mB= mA/2, que vinha com velocidade vB. Como os veículos ficaram amassados, pode-se concluir que o choque não foi totalmente elástico. Consta no boletim de ocorrência que, no momento da batida, o carro B parou enquanto a caminhonete A adquiriu uma velocidade vA=vB/2, na mesma direção de vB.
- Considere estas afirmações de algumas pessoas que comentaram a situação:
I. A descrição do choque não está correta, pois é incompatível com a lei da conservação da quantidade de movimento
II. A energia mecânica dissipada na deformação dos veículos foi igual a 1/2 mAvA.
III. A quantidade de movimento dissipada no choque foi igual a 1/2mBvB.
Está correto apenas o que se afirma em
- a) l
- b) II
- c) III
- d) I e III
- e) II e III









































