CAIU NO ENEM!
D (ENEM 2016) Uma ambulância A em movimento retilíneo e uniforme aproxima-se de um observador O em repouso. A sirene emite um som de frequência constante fA. O desenho ilustra as frentes de onda do som emitido pela ambulância.
O observador possui um detector que consegue registrar, no esboço de um gráfico, a frequência da onda sonora detectada em função do tempo fO(t) antes e depois da passagem da ambulância por ele.
Qual esboço gráfico representa a frequência fO(t) detectada pelo observador?
A (ENEM 2011) Ao diminuir o tamanho de um orifício atravessado por um feixe de luz, passa menos luz por intervalo de tempo, e próximo da situação de completo fechamento do orifício, verifica-se que a luz apresenta um comportamento como o ilustrado nas figuras. Sabe-se que o som, dentro de suas particularidades, também pode se comportar dessa forma.
Em qual das situações a seguir está representado o fenômeno descrito no texto?
- a) Ao se esconder atrás de um muro, um menino ouve a conversa de seus colegas.
- b) Ao gritar diante de um desfiladeiro, uma pessoa ouve a repetição do seu próprio grito.
- c) Ao encostar o ouvido no chão, um homem percebe o som de uma locomotiva antes de ouvi-lo pelo ar.
- d) Ao ouvir uma ambulância se aproximando, uma pessoa percebe o som mais agudo do que quando aquela se afasta.
- e) Ao emitir uma nota musical muito aguda, uma cantora de ópera faz com que uma taça de cristal se despedace.
CAIU NO VESTIBULAR!
2017
B (UFJF – PISM 3 2017) Pedro é músico e estudante de Física. Certo dia, Pedro estava no alto de um palco afinando seu violão. Ele usava um diapasão em Lá fundamental do piano que vibra com uma frequência de 440,00 Hz Por um descuido, Pedro inadvertidamente deixou o diapasão cair. Ele, que tem um ouvido muito bom, percebeu que enquanto o diapasão caía, o som percebido se alterava para frequências diferentes daqueles 440,00 Hz que ele estava ouvindo antes. Muito curioso, Pedro resolveu determinar a frequência do diapasão percebido por ele, no instante imediatamente antes de o diapasão tocar o chão. Para isso, ele mediu a altura de queda em 1,80 m e considerando a velocidade do som no ar como 330,00 m/s ele chegou a um valor de:
- a) 438,15 Hz
- b) 432,14 Hz
- c) 332,12 Hz
- d) 330,00 Hz
- e) 324,10 Hz
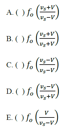
A (UDESC 2017) Uma fonte emite ondas sonoras com frequência fo, quando em repouso em relação ao ar. Esta fonte move-se com velocidade constante V em direção a uma parede que reflete totalmente as ondas sonoras que nela incidem.
Considerando-se que o ar esteja em repouso em relação ao solo, e que vS seja a velocidade do som no ar, assinale a alternativa que fornece a frequência recebida pela fonte.
2016
2015
E (UDESC 2015) Um carro de bombeiros transita a 90 km/h, com a sirene ligada, em uma rua reta e plana. A sirene emite um som de 630 Hz. Uma pessoa parada na calçada da rua, esperando para atravessar pela faixa de pedestre, escuta o som da sirene e observa o carro de bombeiros se aproximando. Nesta situação, a frequência do som ouvido pela pessoa é igual a:
- a) 620 Hz
- b) 843 Hz
- c) 570 Hz
- d) 565 Hz
- e) 680 Hz
2014
2013
2012
C (PUC RS 2012-1) Um sonar fetal, cuja finalidade é escutar os batimentos cardíacos de um bebê em formação, é constituído por duas pastilhas cerâmicas iguais de titanato de bário, uma emissora e outra receptora de ultrassom. A pastilha emissora oscila com uma frequência de 2,2×106 Hz quando submetida a uma tensão variável de mesma frequência. As ondas de ultrassom produzidas devem ter um comprimento de onda que possibilite a reflexão das mesmas na superfície pulsante do coração do feto. As ondas ultrassônicas refletidas que retornam à pastilha receptora apresentam frequência ligeiramente alterada, o que gera interferências periódicas de reforço e atenuação no sinal elétrico resultante das pastilhas. As alterações no sinal elétrico, após serem amplificadas e levadas a um alto-falante, permitem que os batimentos cardíacos do feto sejam ouvidos.
Considerando que a velocidade média das ondas no corpo humano (tecidos moles e líquido amniótico) seja 1540 m/s, o comprimento de onda do ultrassom que incide no coração fetal é _________, e o efeito que descreve as alterações de frequência nas ondas refletidas chama-se _________.
A alternativa que completa corretamente as lacunas é:
- a) 0,70 mm; Joule.
- b) 7,0 mm; Joule.
- c) 0,70 mm; Doppler.
- d) 7,0 mm; Doppler.
- e) 70 mm; Pascal.
B (UFRN 2012) Duas pessoas, que estão em um ponto de ônibus, observam uma ambulância que delas se aproxima com a sirene de advertência ligada. Percebem que, ao passar por elas, o som emitido pela sirene se torna diferente daquele percebido durante a aproximação.
Por outro lado, comentando esse fato, elas concordam que o som mudou de uma tonalidade aguda para uma mais grave à medida que a ambulância se distanciava. Tal mudança é explicada pelo efeito Doppler, segundo o qual, para essa situação, a
- a) amplitude do som diminuiu.
- b) frequência do som diminuiu.
- c) frequência do som aumentou.
- d) amplitude do som aumentou.
2011
B (CESUPA 2011-2) Nas assertivas abaixo:
- Este efeito é de extrema importância em comunicações a partir de objetos em rápido movimento, como no caso dos satélites.
- Em astronomia, este efeito permite a medida da velocidade relativa das estrelas e outros objetos em relação à Terra. Estas medidas permitiram aos astrônomos concluir que o universo está em expansão.
- Na medicina, um ecocardiograma utiliza este efeito para medir a direção e velocidade do fluxo sanguíneo ou do tecido cardíaco. Pode ser mostrado de várias formas: com som audível, com espectro de cores dentro do vaso ou na forma de gráficos.
Estamos nos referindo ao
- a) Efeito fotoelétrico
- b) Efeito Doppler
- c) Efeito Hall
- d) Efeito Joule
2010


