CAIU NO ENEM!
CAIU NO VESTIBULAR!
2019
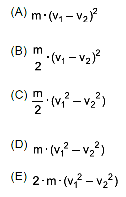
C (CMSCSP 2019) Uma caixa de massa m é abandonada no alto de uma superfície com atrito, choca-se, no ponto mais baixo, com uma mola ideal fixa e volta a subir. Nesse movimento, a caixa passa duas vezes pelo ponto A: na descida, com velocidade v1, e na subida, com velocidade v2.
A energia mecânica dissipada entre as duas passagens da caixa pelo ponto A foi
2018
A (UNESP 2018) Uma minicama elástica é constituída por uma superfície elástica presa a um aro lateral por 32 molas idênticas, como mostra a figura. Quando uma pessoa salta sobre esta minicama, transfere para ela uma quantidade de energia que é absorvida pela superfície elástica e pelas molas.

Considere que, ao saltar sobre uma dessas minicamas, uma pessoa transfira para ela uma quantidade de energia igual a 160 J, que 45% dessa energia seja distribuída igualmente entre as 32 molas e que cada uma delas se distenda 3,0 mm. Nessa situação, a constante elástica de cada mola, em N/m, vale
- a) 5,0 × 105.
- b) 1,6 × 101.
- c) 3,2 × 103.
- d) 5,0 × 103.
- e) 3,2 × 100.
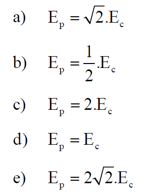
B (CEFET MG 2018) A figura abaixo representa uma esfera liberada do alto de uma rampa sem atrito, que passa pelos pontos A, B, C, D e E na descida. O diagrama abaixo da rampa relaciona os valores das energias cinética (Ec) e potencial (Ep) para os pontos citados.
Se a mesma esfera descer uma outra rampa, com dimensões iguais, na presença de atrito, o diagrama que melhor representa as energias para os respectivos pontos nessa nova situação é:
C (UFRGS 2018) O uso de arco e flecha remonta a tempos anteriores à história escrita. Em um arco, a força da corda sobre a flecha é proporcional ao deslocamento x, ilustrado na figura abaixo, a qual representa o arco nas suas formas relaxada I e distendida II.

Uma força horizontal de 200 N, aplicada na corda com uma flecha de massa m = 40 g, provoca um deslocamento x = 0,5 m.
Supondo que toda a energia armazenada no arco seja transferida para a flecha, qual a velocidade que a flecha atingiria, em m/s, ao abandonar acorda?
- a) 5 x 103.
- b) 100.
- c) 50.
- d) 5.
- e) 101/2.
(TEOREMA DA ENERGIA CINÉTICA) C (UNICAMP 2018) O primeiro satélite geoestacionário brasileiro foi lançado ao espaço em 2017 e será utilizado para comunicações estratégicas do governo e na ampliação da oferta de comunicação de banda larga. O foguete que levou o satélite ao espaço foi lançado do Centro Espacial de Kourou, na Guiana Francesa. A massa do satélite é constante desde o lançamento até a entrada em órbita e vale m = 6,0 ×103 kg. O módulo de sua velocidade orbital é igual a vor= 3,0 x 103 m/s. Desprezando a velocidade inicial do satélite em razão do movimento de rotação da Terra, o trabalho da força resultante sobre o satélite para levá-lo até a sua órbita é igual a
- a) 2 MJ.
- b) 18 MJ.
- c) 27 GJ.
- d) 54 GJ.
2017
A (FUVEST 2017) Helena, cuja massa é 50 kg, pratica o esporte radical bungee jumping. Em um treino, ela se solta da beirada de um viaduto, com velocidade inicial nula, presa a uma faixa elástica de comprimento natural L0 = 15 m e constante elástica k = 250 N/m. Quando a faixa está esticada 10 m além de seu comprimento natural, o módulo da velocidade de Helena é
- a) 0 m/s
- b) 5 m/s
- c) 10 m/s
- d) 15 m/s
- e) 20 m/s
E (MACKENZIE 2017) Um Drone Phanton 4 de massa 1300 g desloca-se horizontalmente, ou seja, sem variação de altitude, com velocidade constante de 36,0 km/h com o objetivo de fotografar o terraço da cobertura de um edifício de 50,0 m de altura. Para obter os resultados esperados o sobrevoo ocorre a 10,0 m acima do terraço da cobertura. A razão entre a energia potencial gravitacional do Drone, considerado como um ponto material, em relação ao solo e em relação ao terraço da cobertura é
- a) 2
- b) 3
- c) 4
- d) 5
- e) 6
D (MACKENZIE 2017) Uma bola é lançada obliquamente do solo sob ângulo de 45º. Admitindo-se que a resistência do ar seja desprezível e que a energia potencial gravitacional no solo é nula, no instante em que a bola atinge a altura máxima, pode-se afirmar que a relação entre as energias potencial gravitacional (Ep) e a cinética (Ec) da bola é
D (UDESC 2017) Um elevador está descendo com velocidade constante, analise as proposições.
I. A força exercida pelo cabo sobre o elevador é constante.
II. A energia cinética do elevador é constante.
III. A aceleração do elevador é constante e diferente de zero.
IV. A energia mecânica do sistema Terra – elevador é constante.
V. E energia potencial gravitacional Terra – elevador é constante.
Assinale a alternativa correta.
- a) Somente as afirmativas III e V são verdadeiras.
- b) Somente as afirmativas II e IV são verdadeiras.
- c) Somente as afirmativas I e IV são verdadeiras.
- d) Somente as afirmativas I e II são verdadeiras.
- e) Somente as afirmativas II e V são verdadeiras.
D (UDESC 2017) O peso de um objeto na Lua é igual a um sexto do seu peso na Terra. Considere este objeto movendo-se com velocidade V na Terra e movendo-se com a mesma velocidade V na Lua.
Assinale a alternativa que corresponde à razão entre a energia cinética do corpo na Terra e a energia cinética do corpo na Lua.
- a) 1/6
- b) 36
- c) 6
- d) 1
- e) 1/36
B (UECE 2017) Um bloco desce uma rampa plana sob ação da gravidade e sem atrito. Durante
- a descida, a energia potencial gravitacional do bloco
- a) e a cinética aumentam.
- b) diminui e a cinética aumenta.
- c) e a cinética diminuem.
- d) aumenta e a cinética diminui.
A (FGV SP 2017) Os Jogos Olímpicos recém-realizados no Rio de Janeiro promoveram uma verdadeira festa esportiva, acompanhada pelo mundo inteiro. O salto em altura foi uma das modalidades de atletismo que mais chamou a atenção, porque o recorde mundial está com o atleta cubano Javier Sotomayor desde 1993, quando, em Salamanca, ele atingiu a altura de 2,45 m, marca que ninguém, nem ele mesmo, em competições posteriores, conseguiria superar. A foto a seguir mostra o atleta em pleno salto.
Considere que, antes do salto, o centro de massa desse atleta estava a 1,0 m do solo; no ponto mais alto do salto, seu corpo estava totalmente na horizontal e ali sua velocidade era de 2√5 m s; a aceleração da gravidade é 10 m/s2; e não houve interferências passivas. Para atingir a altura recorde, ele deve ter partido do solo a uma velocidade inicial, em m/s, de
- a) 7,0.
- b) 6,8.
- c) 6,6.
- d) 6,4.
- e) 6,2.
2016
E (FUVEST 2016) Uma bola de massa m é solta do alto de um edifício. Quando está passando pela posição y = h, o módulo de sua velocidade é v. Sabendo-se que o solo, origem para a escala de energia potencial, tem coordenada y = h0, tal que h > h0 > 0, a energia mecânica da bola em y = (h – h0)/2 é igual a

C (FGV SP 2016) Criança feliz é aquela que brinca, fato mais do que comprovado na realidade do dia a dia. A brincadeira ativa, a que faz gastar energia, que traz emoção, traz também felicidade. Mariana é uma criança que foi levada por seus pais para se divertir em um parquinho infantil.
Em uma das oscilações, Mariana partiu do extremo, de uma altura de 80 cm acima do solo e, ao atingir a posição inferior da trajetória, chutou uma bola, de 0,5 kg de massa, que estava parada no solo. A velocidade de Mariana, imediatamente antes do chute na bola, passou a ser, em m/s, de
- a) 2, 0.
- b) 2, 4.
- c) 4,0
- d) 3, 2.
- e) 3, 6.
C (UECE 2016) Considere que a cabine de um elevador despenque sem atrito em queda livre de uma altura de 3 m, que corresponde aproximadamente a um andar. Considerando que a cabine tenha massa de 500 kg e a aceleração da gravidade seja 2 10m s , a energia cinética ao final da queda será, em kJ,
- a) 15.000.
- b) 1.500.
- c) 15.
- d) 1,5.
D (UFPA 2016) Um menino solta uma moeda, a partir do repouso, sobre um plano inclinado. Desprezando-se o atrito, pode-se afirmar que a velocidade, ao final da rampa, é
- a) igual a de qualquer ponto anterior à do final.
- b) diretamente proporcional à altura do plano.
- c) diretamente proporcional ao quadrado da altura do plano.
- d) diretamente proporciona à raiz quadrada da altura do plano.
- e) inversamente proporcional à altura do plano.
2015
A (FUVEST 2015) No desenvolvimento do sistema amortecedor de queda de um elevador de massa m, o engenheiro projetista impõe que a mola deve se contrair de um valor máximo d, quando o elevador cai, a partir do repouso, de uma altura h, como ilustrado na figura a seguir.
Para que a exigência do projetista seja satisfeita, a mola a ser empregada deve ter constante elástica dada por
E (FUVEST 2015) A figura abaixo mostra o gráfico da energia potencial gravitacional U de uma esfera em uma pista, em função da componente horizontal x da posição da esfera na pista. A esfera é colocada em repouso na pista, na posição de abscissa x = x1, tendo energia mecânica E < 0. A partir dessa condição, sua energia cinética tem valor
- a) máximo igual a |U0|.
- b) igual a |E| quando x = x3.
- c) mínimo quando x = x2.
- d) máximo quando x = x3.
- e) máximo quando x = x2.
- a) entre 11,0 km/h e 12,0 km/h
- b) entre 10,0 km/h e 11,0 km/h
- c) entre 13,0 km/h e 14,0 km/h
- d) entre 15,0 km/h e 16,0 km/h
- e) menor que 10,0 km/h
- a) 80,0 J
- b) 60,0 J
- c) 90,0 J
- d) 40,0 J
- e) 30,0 J
B (UERJ 2015) Um carro, em um trecho retilíneo da estrada na qual trafegava, colidiu frontalmente com um poste. O motorista informou um determinado valor para a velocidade de seu veículo no momento do acidente. O perito de uma seguradora apurou, no entanto, que a velocidade correspondia a exatamente o dobro do valor informado pelo motorista. Considere Ec1 a energia cinética do veículo calculada com a velocidade informada pelo motorista e Ec2 aquela calculada com o valor apurado pelo perito. A razão Ec1/Ec2 corresponde a:
- a) 1/2
- b) 1/4
- c) 1
- d) 2
A (UDESC 2015) Deixa-se cair um objeto de massa 500 g de uma altura de 5 m acima do solo. Assinale a alternativa que representa a velocidade do objeto, imediatamente, antes de tocar o
solo, desprezando-se a resistência do ar.
- a) 10 m/s
- b) 7,0 m/s
- c) 5,0 m/s
- d) 15 m/s
- e) 2,5 m/s
B (IMED 2015) Considere um lançador de bolinhas de tênis, colocado em um terreno plano e horizontal. O lançador é posicionado de tal maneira que as bolinhas são arremessadas de 80 cm do chão em uma direção que faz um ângulo de 30 graus com a horizontal. Desconsiderando efeitos de rotação da bolinha e resistência do ar, a bolinha deve realizar uma trajetória parabólica. Sabemos também que a velocidade de lançamento da bolinha é de 10,8 km/h. Qual é o módulo da velocidade da bolinha quando ela toca o chão? Se necessário, considere que a aceleração da gravidade seja igual a 10 m/s2 e que uma bolinha de tênis tenha 50 g de massa.
- a) 3 m/s.
- b) 5 m/s.
- c) 6 m/s.
- d) 14,4 km/h.
- e) 21,6 km/h.
C (UDESC 2015) Um pêndulo é formado por uma haste rígida inextensível de massa desprezível e em uma das extremidades há uma esfera sólida de massa m. A outra extremidade é fixada em um suporte horizontal. A haste tem comprimento L e a esfera tem raio r. O pêndulo é deslocado da sua posição de equilíbrio de uma altura H e executa um movimento harmônico simples no plano, conforme mostra a figura.
Com relação ao movimento desse pêndulo, analise as proposições.
I. A energia mecânica em A e B são iguais.
II. As energias cinética e potencial em A e B são iguais.
III. A energia cinética em A é mínima.
IV. A energia potencial em B é máxima.
Assinale a alternativa correta.
- a) Somente as afirmativas I e II são verdadeiras.
- b) Somente as afirmativas III e IV são verdadeiras.
- c) Somente as afirmativas I e III são verdadeiras.
- d) Somente as afirmativas I e IV são verdadeiras.
- e) Todas afirmativas são verdadeiras.
(UNIFESP 2015) Uma pista de esqui para treinamento de principiantes foi projetada de modo que, durante o trajeto, os esquiadores não ficassem sujeitos a grandes acelerações nem perdessem contato com nenhum ponto da pista. A figura representa o perfil de um trecho dessa pista, no qual o ponto C é o ponto mais alto de um pequeno trecho circular de raio de curvatura igual a 10 m.
Os esquiadores partem do repouso no ponto A e percorrem a pista sem receber nenhum empurrão, nem usam os bastões para alterar sua velocidade. Adote g = 10 m/s2 e despreze o atrito e a resistência do ar.
a) Se um esquiador passar pelo ponto B da pista com velocidade 10√2 m s, com que velocidade ele passará pelo ponto C?
b) Qual a maior altura hA do ponto A, indicada na figura, para que um esquiador não perca contato com a pista em nenhum ponto de seu percurso?
RESPOSTA: a) 2√10 m/s; b).35 m.
B (PUC RS 2015) Responda à questão com base na figura abaixo, que representa o trecho de uma montanha-russa pelo qual se movimenta um carrinho com massa de 400 kg. A aceleração gravitacional local é de 10 m/s2.
Partindo do repouso (ponto A), para que o carrinho passe pelo ponto B com velocidade de 10 m/s, desprezados todos os efeitos dissipativos durante o movimento, a altura hA, em metros, deve ser igual a
- a) 5
- b) 7
- c) 9
- d) 11
- e) 13
2014
B (FUVEST 2014) Em uma competição de salto em distância, um atleta de 70 kg tem, imediatamente antes do salto, uma velocidade na direção horizontal de módulo 10 m/s. Ao saltar, o atleta usa seus músculos para empurrar o chão na direção vertical, produzindo uma energia de 500 J, sendo 70% desse valor na forma de energia cinética. Imediatamente após se separar do chão o módulo da velocidade do atleta é mais próximo de
- a) 10,0 m/s
- b) 10,5 m/s
- c) 12,2 m/s
- d) 13,2 m/s
- e) 13,8 m/s
B (IFCE 2014) Paulo coloca a bola no gramado e bate um “tiro de meta”. A bola, após descrever uma trajetória parabólica de altura máxima B, atinge o ponto C no gramado do campo adversário.
Desprezando-se a resistência do ar e adotando-se o solo como referencial, é correto dizer-se que
- a) a energia da bola no ponto B é maior do que aquela que ela possui em qualquer outro ponto de sua trajetória.
- b) no ponto B, a bola possui energia cinética e energia gravitacional.
- c) no ponto B, a energia cinética da bola é máxima, e a energia potencial é nula.
- d) ao bater no gramado, no ponto C, toda a energia cinética da bola transforma-se em energia potencial gravitacional.
- e) a bola, no instante antes de colidir no gramado em C, já terá perdido toda a sua energia.
D (UNICAMP 2014) A altura do Morro da Urca é de 220 m e a altura do Pão de Açúcar é de cerca de 400 m, ambas em relação ao solo. A variação da energia potencial gravitacional do bondinho com passageiros de massa total M = 5000 kg, no segundo trecho do passeio, é
(Use g = 10 m/s2)
- a) 11 x 106 J
- b) 20 x 106 J
- c) 31 x 106 J
- d) 9 x 106 J
C (ACAFE 2014) Sem proteção adequada, uma queda com skate pode causar sérias lesões, dependendo da velocidade que ocorre a queda. Um menino em repouso no seu skate encontra-se no ponto mais alto de uma rampa e começa a descer, chegando ao ponto mais baixo com velocidade de módulo 2,0 m/s. Em seguida, o menino se lança para baixo com o mesmo skate desse ponto mais alto com uma velocidade inicial de módulo 1,5 m/s. Sabendo que, em ambas as situações, após iniciado o movimento, o menino não toca mais os pés no solo, a alternativa correta que indica o módulo da velocidade, em m/s, com que o menino no skate chega ao ponto mais baixo na segunda situação, é:
- a) 0,5
- b) 3,5
- c) 2,5
- d) 2,0
A (UFPR 2014) Considere um edifício em construção, constituído pelo andar térreo e mais dez andares. Um servente de pedreiro deixou cair um martelo cuja massa é 0,5 kg a partir de uma
altura do piso do décimo andar. Suponha que cada andar tem uma altura de 2,5 m e que o martelo caiu verticalmente em queda livre partindo do repouso. Considere a aceleração da gravidade igual a 10 m/s2 e o martelo como uma partícula. Despreze a resistência do ar, a ação do vento e a espessura de cada piso.
Levando em conta as informações dadas, analise as seguintes afirmativas:
1. A velocidade do martelo ao passar pelo teto do 1° andar era 20 m/s.
2. A energia cinética do martelo ao passar pelo piso do 5° andar era maior que 100 J.
3. Se a massa do martelo fosse o dobro, o tempo de queda até o chão diminuiria pela metade.
Assinale a alternativa correta.
- a) Somente a afirmativa 1 é verdadeira.
- b) Somente a afirmativa 2 é verdadeira.
- c) Somente as afirmativas 1 e 2 são verdadeiras.
- d) Somente as afirmativas 2 e 3 são verdadeiras.
- e) As afirmativas 1, 2 e 3 são verdadeiras.
B (UNIFOR 2014) A figura a seguir mostra uma das cenas vistas durante a Copa das Confederações no Brasil. Os policiais militares responderam às ações dos manifestantes com bombas de gás lacrimogêneo e balas de borracha em uma região totalmente plana onde era possível avistar a todos.
Suponha que o projétil disparado pela arma do PM tenha uma velocidade inicial de 200,00 m/s ao sair da arma e sob um ângulo de 30,00º com a horizontal. Calcule a altura máxima do projétil em relação ao solo, sabendo-se que ao deixar o cano da arma o projétil estava a 1,70 m do solo.
Despreze as forças dissipativas e adote g = 10,00 m/s2.
- a) 401,70 m
- b) 501,70 m
- c) 601,70 m
- d) 701,70 m
- e) 801,70 m
(FUVEST 2014) Uma pessoa faz, diariamente, uma caminhada de 6 km em uma pista horizontal, consumindo 80 cal a cada metro. Num certo dia, ela fez sua caminhada habitual e, além disso, subiu um morro de 300 m de altura. Essa pessoa faz uma alimentação diária de 2000 kcal, com a qual manteria seu peso, se não fizesse exercícios. Com base nessas informações, determine:
- a) a percentagem P da energia química proveniente dos alimentos ingeridos em um dia por essa pessoa, equivalente à energia consumida na caminhada de 6 km.
- b) a quantidade C de calorias equivalente à variação de energia potencial dessa pessoa entre a base e o topo do morro, se sua massa for de 80 kg.
- c) o número N de caminhadas de 6 km que essa pessoa precisa fazer para perder 2,4 kg de gordura, se mantiver a dieta diária de 2000 kcal.
Note e adote: A aceleração da gravidade local é 10 m/s2; 1 cal = 4 J; 9 kcal são produzidos com a queima de 1 g de gordura.
RESPOSTA: a) P = 24%. b) C = 6,0 x 104 cal. c) N = 45 caminhadas.
2013
A (UNESP 2013) A figura ilustra um brinquedo oferecido por alguns parques, conhecido por tirolesa, no qual uma pessoa desce de determinada altura segurando-se em uma roldana apoiada numa corda tensionada. Em determinado ponto do percurso, a pessoa se solta e cai na água de um lago.
Considere que uma pessoa de 50 kg parta do repouso no ponto A e desça até o ponto B segurando-se na roldana, e que nesse trajeto tenha havido perda de 36% da energia mecânica do sistema, devido ao atrito entre a roldana e a corda. No ponto B ela se solta, atingindo o ponto C na superfície da água. Em seu movimento, o centro de massa da pessoa sofre o desnível vertical de 5 m mostrado na figura.
Desprezando a resistência do ar e a massa da roldana, e adotando g = 10 m/s2, pode-se afirmar que a pessoa atinge o ponto C com uma velocidade, em m/s, de módulo igual a
- a) 8
- b) 10
- c) 6
- d) 12
- e) 4
C (UEG 2013) Para um atleta da modalidade “salto com vara” realizar um salto perfeito, ele precisa correr com a máxima velocidade e transformar toda sua energia cinética em energia potencial, para elevar o seu centro de massa à máxima altura possível. Um excelente tempo para a corrida de velocidade nos 100 metros é de 10 s. Se o atleta, cujo centro de massa está a uma altura de um metro do chão, num local onde a aceleração da gravidade é de 10 m/s2, adquirir uma velocidade igual a de um recordista dos 100 metros, ele elevará seu centro de massa a uma altura de
- a) 0,5 metros.
- b) 5,5 metros.
- c) 6,0 metros.
- d) 10,0 metros.
A (ESPCEX 2013) Um carrinho parte do repouso, do ponto mais alto de uma montanha-russa. Quando ele está a 10 m do solo, a sua velocidade é de 1 m/s. Desprezando todos os atritos e considerando a aceleração da gravidade igual a 10 m/s2, podemos afirmar que o carrinho partiu de uma altura de
- a) 10,05 m
- b) 12,08 m
- c) 15,04 m
- d) 20,04 m
- e) 21,02 m
(UERJ 2013) Uma pequena caixa é lançada em direção ao solo, sobre um plano inclinado, com velocidade igual a 3,0 m/s. A altura do ponto de lançamento da caixa, em relação ao solo,
é igual a 0,8 m. Considerando que a caixa desliza sem atrito, estime a sua velocidade ao atingir o solo. Utilize: Aceleração da gravidade = 10 m/s2.
RESPOSTA: 5 m/s.
2012
D (IFBA 2012) Um corpo é abandonado do alto de um plano inclinado, conforme a figura abaixo.
Considerando as superfícies polidas ideais, a resistência do ar nula e 10 m/s2 como a aceleração da gravidade local, determine o valor aproximado da velocidade com que o corpo atinge o solo:
- a) v = 84 m/s
- b) v = 45 m/s
- c) v = 25 m/s
- d) v = 10 m/s
- e) v = 5 m/s
C (UFRGS 2012) Um objeto, com massa de 1,0 kg, é lançado, a partir do solo, com energia mecânica de 20 J. Quando o objeto atinge a altura máxima, sua energia potencial gravitacional relativa ao solo é de 7,5 J. Desprezando-se a resistência do ar, e considerando-se a aceleração da gravidade com módulo de 10 m/s2, a velocidade desse objeto no ponto mais alto de sua trajetória é
- a) zero
- b) 2,5 m/s.
- c) 5,0 m/s.
- d) 12,5 m/s.
- e) 25,0 m/s.
C (ESPCEX (AMAN) 2012) Um corpo de massa 4 kg está em queda livre no campo gravitacional da Terra e não há nenhuma força dissipativa atuando. Em determinado ponto, ele possui uma energia potencial, em relação ao solo, de 9 J, e sua energia cinética vale 9 J. A velocidade do corpo, ao atingir o solo, é de:
- a) 5 m/s
- b) 4 m/s
- c) 3 m/s
- d) 2 m/s
- e) 1 m/s
C (CFTMG 2012) Um carrinho é lançado sobre os trilhos de uma montanha russa, no ponto A, com uma velocidade inicial V0 conforme mostra a figura. As alturas h1, h2 e h3 valem, respectivamente, 16,2 m, 3,4 m e 9,8 m.
Para o carrinho atingir o ponto C, desprezando o atrito, o menor valor de V0, em m/s, deverá ser igual a
- a) 10
- b) 14
- c) 18
- d) 20.
A (UERN 2012) “Helter Skelter” é uma das mais famosas canções do “Álbum Branco” dos Beatles lançado em 1968 e tem como tradução: escorregador e confusão, como pode ser percebido por um trecho traduzido a seguir:
Quando eu chego no chão, eu volto para o topo do escorregador
Onde eu paro, me viro e saio para outra volta
Até que eu volte ao chão e te veja novamente
Você não quer que eu te ame?
Estou descendo rápido mas estou a milhas de você
Diga-me, diga-me a resposta, vamos me diga a resposta
Você pode ser uma amante, mas você não é uma dançarina
Confusão, Confusão
Confusão (…)
(http://www.vagalume.com.br/the-beatles/helter-skelter-traducao.html#ixzz1nPqIlOE9 / Fragmento)
Um Helter Skelter é uma espécie de escorregador construído em forma espiral em torno de uma torre. As pessoas sobem por dentro da torre e escorregam abaixo para o lado de fora, geralmente em um tapete. Uma criança de 40 kg desce no escorregador a partir de seu ponto mais alto e com velocidade inicial igual a zero. Considere que, ao passar pelo ponto do escorregador situado a uma altura de 3,2 m sua velocidade atinja 6 m/s. Sendo g = 10 m/s2, a altura desse escorregador é
- a) 5 m.
- b) 4 m.
- c) 7 m.
- d) 6 m.
B (IFSC 2012) A ilustração abaixo representa um bloco de 2 kg de massa, que é comprimido contra uma mola de constante elástica K = 200 N/m. Desprezando qualquer tipo de atrito, é CORRETO afirmar que, para que o bloco atinja o ponto B com uma velocidade de 1,0 m/s, é necessário comprimir a mola em:
- a) 0,90 cm.
- b) 90,0 cm.
- c) 0,81 m.
- d) 81,0 cm.
- e) 9,0 cm.
D (ACAFE 2012) Em um curso de segurança de trânsito, um instrutor deseja mostrar a relação entre o aumento de velocidade de um carro e a energia associada ao mesmo. Considere um carro acelerado do repouso até 72 km/h (20 m/s), gastando uma energia E1, cedida pelo motor. Após, o mesmo carro é acelerado de 72 km/h (20 m/s) até 144 km/h (40 m/s), portanto, com a mesma variação de velocidade, gastando uma energia E2. A alternativa correta que mostra a relação entre as energias E2 e E1 é:
- a) E2 = 4E1
- b) E2 = 2E1
- c) E2 = E1
- d) E2 = 3E1
E (CESGRANRIO 2012) Um brinquedo de mola lança uma partícula, que está inicialmente em repouso, verticalmente para cima. Ao comprimirmos inicialmente a mola por 1,0 cm, a partícula atinge uma altura máxima de 1,5 m a partir da posição inicial. Se comprimirmos inicialmente a mola por 2,0 cm, a altura máxima atingida, em metros, será igual a
- a) 1,5
- b) 2,0
- c) 3,0
- d) 4,5
- e) 6,0
E (FATEC 2012) Em alguns parques de diversão, há um brinquedo radical que funciona como um pêndulo humano. A pessoa, presa por uma corda inextensível amarrada a um ponto fixo acima de sua cabeça, é erguida por um guindaste até uma altura de 20 m. A partir daí, ela é solta fazendo um movimento pendular. Veja a figura.
Se admitirmos a aceleração da gravidade de 10 m/s2 e desprezarmos qualquer tipo de atrito, a velocidade com que a pessoa passará no ponto A mais baixo da trajetória, em km/h, será de:
- a) 18.
- b) 24.
- c) 36.
- d) 48.
- e) 72.
A (FEI 2012) Em uma competição de tiro ao prato, um prato de 300 g está disposto em um dispositivo vertical, junto a uma mola de constante elástica k = 1 200 N/m e comprimida em 30 cm. Quando a mola é liberada, o prato é impulsionado para cima. Qual é a máxima altura que o prato atinge a partir de sua posição inicial?
Obs: Desprezar a resistência do ar.
- a) 18 m
- b) 15 m
- c) 12 m
- d) 21 m
- e) 24 m
B (FGV RJ Econ 2012) Um garoto joga uma bola em direção a um piso liso, a partir de uma altura de 1,5 m, com velocidade inicial vertical para baixo igual a 2 m/s. Após uma colisão elástica com o piso, ou seja, em que ocorre conservação da energia total, a bola sobe até uma altura igual a:
- a) 1,9 m
- b) 1,7 m
- c) 1,5 m
- d) 1,3 m
- e) 0,2 m
B (FTT 2012-1) As fontes de energia são de fundamental importância, em especial na atual sociedade capitalista. O consumo de energia aumentou de forma significativa, fato que tem gerado grandes problemas socioambientais. O homem tem buscado novas soluções inovadoras e tecnológicas, utilizando outras fontes de energia de preferência renováveis e não poluentes.
(mavba.bloggspot.com)
De acordo com o texto, com a mensagem da charge e com seus conhecimentos sobre fontes energéticas, pode-se afirmar que a energia solar e a energia
- a) fóssil são fontes que poluem o ambiente.
- b) eólica são fontes de energia não poluentes.
- c) biomassa são fontes que poluem o ambiente.
- d) nuclear são fontes seguras quanto aos impactos ambientais.
D (IFMG 2012) Um corpo de 4,0 kg de massa é solto de uma altura de 20 m. Em três posições, A, B e C, deseja-se relacionar a energia cinética, a energia potencial com nível zero no solo e a energia mecânica do corpo, desprezando a resistência do ar.
| Ec (J) | Ep (J) | Em (J) | |
| A | 0 | x | 800 |
| B | y | 500 | 800 |
| C | 600 | z | w |
Os valores x, y, z e w são, respectivamente:
- a) 0, 500, 600 e 1200.
- b) 0, 600, 800 e 1400.
- c) 800, 200, 300 e 900.
- d) 800, 300, 200 e 800.
E (FMJ 2012) Para realizar o primeiro polimento de joias feitas pelo processo da fundição, as peças são colocadas juntas com uma grande quantidade de diminutas esferas de aço no interior de um tambor rotativo. O tambor possui, em seu interior, quatro abas distribuídas simetricamente, que pegam porções de esferas e joias, leva-as para o alto, de onde tudo cai para o ponto mais baixo. Os choques contínuos dão o acabamento desejado.
Um desses tambores realiza uma volta completa a cada 6 segundos e movimenta 1 kg de esferas misturadas com as joias, durante o tempo de 4 horas. Em qualquer instante do funcionamento do aparelho, duas abas sempre estão sem carga. A quantidade aproximada de energia envolvida no processo de polimento, nesse tempo, é, em J,
Dados: diâmetro aproximado do interior do tambor = 40 cm; aceleração da gravidade = 10 m/s2;
- a) 8 400.
- b) 9 600.
- c) 12 200.
- d) 16 600.
- e) 19 200.
B (PUC RJ 2012) Um ciclista tentando bater um recorde de velocidade em uma bicicleta desce, a partir do repouso, a distância de 1440 m em uma montanha cuja inclinação é de 30°. Calcule a velocidade atingida pelo ciclista ao chegar à base da montanha. Dados: Não há atrito e g = 10 m/s2.
- a) 84 m/s
- b) 120 m/s
- c) 144 m/s
- d) 157 m/s
- e) 169 m/s
B (PUC RJ 2012) Uma bola de borracha de massa 0,1 kg é abandonada de uma altura de 0,2 m do solo. Após quicar algumas vezes, a bola atinge o repouso. Calcule em joules a energia total dissipada pelos quiques da bola no solo. Considere g = 10 m/s2.
- a) 0,02
- b) 0,2
- c) 1,0
- d) 2,0
- e) 3,0
B (UEA 2012) Uma criança escorrega, a partir do repouso, por um grande tobogã, como indicado na figura.
A energia dissipada pelo atrito da criança ao longo do trecho AB equivale a 50% da sua energia mecânica no ponto A. Nessas condições, e considerando g = 10 m/s2, a velocidade da criança ao atingir o ponto B é, em m/s, aproximadamente,
- a) 5
- b) 10
- c) 15
- d) 20
- e) 25
D (UEPA 2012) Num parque de diversões há um escorregador infantil, conforme indica a figura abaixo.
Neste brinquedo, as crianças, inicialmente em repouso, partem do ponto A e atingem o ponto B. Suponha que o coeficiente de atrito entre as superfícies de contato seja igual a 0,5.
Considerando que, quando uma criança escorrega, a dissipação de energia ocorra apenas pela ação da força de atrito, e sabendo que a ingestão de um sorvete fornece 112.000 J, o número de vezes que uma criança de 20 kg deverá escorregar pelo brinquedo para perder a energia correspondente à ingestão de um sorvete é:
Dados: g = 10 m/s2; sen 45° = cos 45° = 0,7
- a) 100
- b) 200
- c) 300
- d) 400
- e) 500
2011
E (FUVEST 2011) Um esqueitista treina em uma pista cujo perfil está representado na figura abaixo. O trecho horizontal AB está a uma altura h = 2,4 m em relação ao trecho, também horizontal, CD. O esqueitista percorre a pista no sentido de A para D. No trecho AB, ele está com velocidade constante, de módulo v = 4 m/s; em seguida, desce a rampa BC, percorre o trecho CD, o mais baixo da pista, e sobe a outra rampa até atingir uma altura máxima H, em relação a CD. A velocidade do esqueitista no trecho CD e a altura máxima H são, respectivamente, iguais a
C (IFSP 2011) Um atleta de salto com vara, durante sua corrida para transpor o obstáculo a sua frente, transforma a sua energia _____________ em energia ____________ devido ao ganho de altura e consequentemente ao/à _____________ de sua velocidade.
As lacunas do texto acima são, correta e respectivamente, preenchidas por:
- a) potencial – cinética – aumento.
- b) térmica – potencial – diminuição.
- c) cinética – potencial – diminuição.
- d) cinética – térmica – aumento.
- e) térmica – cinética – aumento.
(ESPCEX (AMAN) 2011) A mola ideal, representada no desenho I abaixo, possui constante elástica de 256 N/m. Ela é comprimida por um bloco, de massa 2 kg, que pode mover-se numa pista com um trecho horizontal e uma elevação de altura h = 10 cm. O ponto C, no interior do bloco, indica o seu centro de massa. Não existe atrito de qualquer tipo neste sistema e a aceleração da gravidade é igual a 10 m/s2. Para que o bloco, impulsionado exclusivamente pela mola, atinja a parte mais elevada da pista com a velocidade nula e com o ponto C na linha vertical tracejada, conforme indicado no desenho II, a mola deve ter sofrido, inicialmente, uma compressão de:
- a) 1,5 ∙ 10-3 m
- b) 1,18 ∙ 10-2 m
- c) 1,25 ∙ 10-1 m
- d) 2,5 ∙ 10-1 m
- e) 8,75 ∙ 10-1 m
A (UDESC 2011) Uma partícula com massa de 200 g é abandonada, a partir do repouso, no ponto “A” da Figura. Desprezando o atrito e a resistência do ar, pode-se afirmar que as velocidades nos pontos “B” e “C” são, respectivamente:
- a) 7,0 m/s e 8,0 m/s
- b) 5,0 m/s e 6,0 m/s
- c) 6,0 m/s e 7,0 m/s
- d) 8,0 m/s e 9,0 m/s
- e) 9,0 m/s e 10,0 m/s
A (CESUPA 2011) Em uma academia de ginástica, uma cliente corre na esteira ergométrica e esta registra em seu visor a velocidade constante de 9,5 km/h, com queima média de 600 kcal/h.
- Em relação a um referencial fixo dentro da academia, a energia cinética associada à velocidade horizontal da corredora é nula.
- Quanto maior a velocidade da corrida, maior será a energia potencial da corredora.
- Durante uma hora de exercício, 600 kcal de energia são convertidas em trabalho pela corredora.
Quais as afirmações corretas?
- a) apenas I.
- b) apenas II.
- c) apenas I e III.
- d) apenas II e III.
D (FATEC 2011) Uma bola de basquete é solta de uma altura de 1,0 metro e, a cada colisão com o chão, ela dissipa 10% de sua energia mecânica. Após 3 toques no chão, a bola atingirá uma altura de, aproximadamente,
- a) 54 cm.
- b) 63 cm.
- c) 69 cm.
- d) 73 cm.
- e) 81 cm.
A (MACKENZIE 2011) Um estudante abandonou uma bola de borracha maciça, com 300 g de massa, de uma altura de 1,5 m em relação ao solo, plano e horizontal. A cada batida da bola com o piso, ela perde 20% de sua energia mecânica. Sendo 10 m/s2 a aceleração da gravidade no local, a altura máxima atingida por essa bola, após o terceiro choque com o piso, foi, aproximadamente, de:
- a) 77 cm
- b) 82 cm
- c) 96 cm
- d) 108 cm
- e) 120 cm
C (FEI 2011) Um aluno idealizou um dispositivo para lançar bolas de tênis com massa m = 100 g verticalmente para cima. Para isto, utilizou um tubo de PVC no qual uma extremidade permanece aberta e, na outra, existe uma mola de constante elástica k = 200 N/m. A mola foi comprimida 20 cm e, em seguida, liberada. Qual é a velocidade da bola depois que esta percorreu 2 m a partir da posição da mola comprimida? Obs.: desprezar todos os atritos.
- a) 2,3 m/s
- b) 4,6 m/s
- c) 6,3 m/s
- d) 8,4 m/s
- e) 5,2 m/s
E (FEI 2011) Em um prédio, um elevador de massa m = 2 200 kg está com 5 passageiros de 60 kg cada um. Quando o elevador parou no 5º andar, os cabos de sustentação se romperam e o sistema de frenagem não funcionou. Considere que cada andar possui um pé direito (altura) de 3 m, que no poço do elevador situado abaixo do piso no térreo uma mola está posicionada na vertical de modo a amortecer o impacto, e que a máxima compressão que esta mola sofreu foi de 0,5 m, qual é a constante elástica da mola? Obs.: Desprezar os atritos.
- a) 1,1×106 N/m
- b) 1,6×106 N/m
- c) 2,1×106 N/m
- d) 2,6×106 N/m
- e) 3,1×106 N/m
C (UDESC 2011) Uma estação de esqui possui seu ponto mais alto a 4840 m acima do nível do mar. Um esquiador de massa 80,0 kg parte do repouso do seu ponto mais alto, descendo até a metade da altitude da montanha. Considerando que os efeitos de atrito e a resistência do ar dissipam 1920 kJ da energia mecânica até esse ponto, assinale a alternativa que contém a velocidade do esquiador nessa altitude.
- a) 22,0 m/s
- b) 200 m/s
- c) 20,0 m/s
- d) 220 m/s
- e) 221 m/s
2010
C (MACK 2010-1) Em uma região plana, delimitou-se o triângulo ABC, cujos lados AB e BC medem, respectivamente, 300,00 m e 500,00 m. Duas crianças, de 39,20 kg cada uma, partem, simultaneamente, do repouso, do ponto A, e devem chegar juntas ao ponto C, descrevendo movimentos retilíneos uniformemente acelerados.
Se a criança 2 chegar ao ponto C com energia cinética igual a 640,0 J, a velocidade da criança 1, nesse ponto, será:
- a) 3,750 m/s
- b) 4,375 m/s
- c) 5,000 m/s
- d) 7,500 m/s
- e) 8,750 m/s
D (MACKEZIE 2010) Um corpo de pequenas dimensões e massa 400 g é abandonado do repouso no topo do trilho ilustrado a seguir.
O atrito é desprezível, o módulo da aceleração gravitacional é g = 10 m/s2 e, quando esse corpo passa pelo ponto de altura h/5, sua energia cinética, em relação ao trilho, é 4,00 J. Chegando ao ponto C, ele se choca frontalmente com um espelho plano disposto perpendicularmente à parte horizontal do trilho. Nesse instante, a velocidade do corpo, em relação à respectiva imagem conjugada no espelho, tem módulo:
- a) 1,25 m/s
- b) 2,50 m/s
- c) 5,00 m/s
- d) 10,0 m/s
- e) 12,5 m/s
C (ACAFE 2010) “O Brasil vai se destacar no mundo devido a dois fatores: primeiro, a alta participação de fontes renováveis em sua matriz, principalmente a hidrelétrica; as fontes alternativas que começam a crescer [como a eólica]; e o etanol. Segundo, a inserção no mundo como um importante player [agente] na área de petróleo, onde passará a ser exportador”.
Fonte: http://noticias.ambientebrasil.com.br/clipping/2010/05/05/54595-brasil-mantera-ate-2019-na-matriz-energetica-mesmopercentual-de-energia-de-fontes-renovaveis.html (Acessado em 16/05/2010)
Com base no texto anterior, no processo de obtenção de eletricidade através das várias fontes citadas em relação as transformações de energia, correlacione as colunas a seguir.
( 1 ) energia potencial gravitacional – energia cinética – energia elétrica
( 2 ) energia cinética – energia elétrica
( 3 ) energia térmica – energia elétrica
( ) Etanol
( ) Petróleo
( ) Hidroelétrica
( ) Eólica
A sequência correta, de cima para baixo, é:
- a) 2 – 3 – 1 – 2
- b) 2 – 3 – 2 – 1
- c) 3 – 3 – 1 – 2
- d) 1 – 2 – 3 – 3
2009
C (ESPCEX 2009) Um trenó, de massa M, desce uma montanha partindo do ponto A, com velocidade inicial igual a zero, conforme desenho abaixo.
Desprezando-se todos os atritos e considerando a aceleração da gravidade igual a 10 m/s2 , quando o trenó atingir o ponto B, que se encontra 7,2 m abaixo do ponto A, sua velocidade será de
- a) 6 m/s
- b) 6√2 m/s
- c) 12 m/s
- d) 12√2 m/s
- e) 144 m/s
D (UFRN 2009) A produção de energia proveniente de maré, sistema maré-motriz (no qual se utiliza o fluxo das marés para movimentar uma turbina reversível capaz de converter em energia elétrica a energia potencial gravitacional da água), constitui-se numa alternativa de produção de energia de baixo impacto ambiental.
Um sistema desse tipo encontra-se em funcionamento na localidade de La Rance, França, desde 1966, com capacidade instalada de 240 megawatts.
As figuras abaixo mostram, esquematicamente, um corte transversal da barragem de um sistema maré-motriz, em quatro situações distintas, evidenciando os níveis da água, nos dois lados da represa (oceano e rio), em função da maré.
As duas situações que permitem a geração de energia elétrica são:
- a) I e IV
- b) I e III
- c) II e III
- d) II e IV
2008
E (ACAFE 2008-1) Uma das grandes atrações do Beto Carrero World é o Teleférico, que leva o visitante a um passeio panorâmico de 800m sobre o Parque, a 30 m de altura. Fabricado com a mais moderna tecnologia, pela empresa suíça Rowema AG, o equipamento tem 23 gôndolas, cada uma com capacidade para quatro passageiros. As estações de embarque e desembarque permitem que as pessoas entrem e saiam sem que as gôndolas que estão no percurso parem, controladas por dispositivos eletrônicos que oferecem segurança total. Considerando que uma das gôndolas esteja com os quatro passageiros e que cada um dos passageiros tenha, em média, 60 kg, calcule a energia potencial gravitacional para esta situação (Use g = 10 m/s2 ). Assinale a alternativa correta:
- a) 18000 J
- b) 1800 J
- c) 7200 J
- d) 600 J
- e) 72000 J
2004
E (FATEC 2004) Um corpo de massa 2,0 kg é lançado na parte horizontal de uma pista com velocidade de 4,0 m/s.
Adotando g = 10 m/s2 , considere as afirmações:
- Em determinadas condições, esse corpo poderia atingir a altura de 0,80 m acima da horizontal.
- Desprezando-se atritos, pode-se calcular a velocidade do corpo a uma altura qualquer abaixo da altura máxima a ser atingida.
- Se o corpo em questão atingir a altura máxima de 0,50 m, então conclui-se que esteve sujeito à ação de força dissipativa.
Sobre tais afirmações deve-se concluir que
- a) apenas I é correta.
- b) apenas I e II são corretas.
- c) apenas I e III são corretas.
- d) apenas II e III são corretas.
- e) I, II e III são corretas.
2003
A (UFMS 2003) Dois corpos puntiformes, de mesma massa (m), são abandonados (partindo do repouso) simultaneamente de uma mesma altura H, como mostra a figura abaixo. Na situação (I) o corpo cai em queda livre, enquanto que na situação (II) o corpo desliza sobre um plano inclinado, sem atrito. Desprezando-se a força de resistência do ar e comparando-se as duas situações, é correto afirmar que:
- a) os dois corpos atingem o solo com velocidades de módulos iguais.
- b) os módulos das acelerações são iguais.
- c) os corpos percorrem espaços iguais.
- d) os corpos atingem o solo com velocidades de módulos diferentes.
- e) os dois corpos levam tempos iguais para atingir o solo.
1997
B (FATEC 1997) Um carrinho de massa 200 kg é solto, sem velocidade inicial, do topo de uma montanha-russa, representada na figura.
Adote: g =10 m/s2 e despreze a resistência do ar, bem como os atritos. A velocidade do carrinho para x = 9,0 m, vale, em m/s:
- a) 5,0
- b) 10
- c) 14
- d) 18
- e) 20
D (UNIRIO 1997) A figura a seguir representa um carrinho de massa m se deslocando sobre o trilho de uma montanha russa num local onde a aceleração da gravidade é g =10 m/s2. Considerando que a energia mecânica do carrinho se conserva durante o movimento e, em P, o módulo de sua velocidade é 8,0m/s, teremos no ponto Q uma velocidade de módulo igual a:
- a) 5,0 m/s
- b) 4,8 m/s
- c) 4,0 m/s
- d) 2,0 m/s
- e) zero
1996
D (MACKENZIE 1996) Assinale a alternativa que preenche correta e ordenadamente as lacunas do texto a seguir.
“Ao efetuar um salto em altura, um atleta transforma energia muscular em energia______; em seguida, esta se transforma em energia_______, comprovando a________ da energia.”
- a) potencial – cinética – dissipação
- b) térmica – potencial elástica – dissipação
- c) potencial gravitacional – cinética – conservação
- d) cinética – potencial gravitacional – conservação
- e) potencial elástica – potencial gravitacional – conservação
E (UFPE 1996) Um bloco é solto no ponto A e desliza sem atrito sobre a superfície indicada na figura a seguir. Com relação ao bloco, podemos afirmar:
- a) A energia cinética no ponto B é menor que no ponto C;
- b) A energia cinética no ponto A é maior que no ponto B;
- c) A energia potencial no ponto A é menor que a energia cinética no ponto B;
- d) A energia total do bloco varia ao longo da trajetória ABC;
- e) A energia total do bloco ao longo da trajetória ABC é constante.
1995
D (UFMG 1995) Um esquiador de massa m = 70 kg parte do repouso no ponto P e desce pela rampa mostrada na figura. Suponha que as perdas de energia por atrito são desprezíveis e considere g = 10 m/s2. A energia cinética e a velocidade do esquiador quando ele passa pelo ponto Q, que está 5,0 m abaixo do ponto P, são respectivamente,
- a) 50 J e 15 m/s
- b) 350 J e 5,0 m/s
- c) 700 J e 10 m/s
- d) 3,5 × 103 J e 10 m/s
- e) 3,5 × 103 J e 20 m/s
1987
C (FUVEST 1987) Uma pedra com massa m = 0,10 kg é lançada verticalmente para cima com energia cinética EC = 20 joules. Qual a altura máxima atingida pela pedra?
- a) 10 m
- b) 15 m
- c) 20 m
- d) 1 m
- e) 0,2 m






































