RESUMO
FORÇA ELÉTRICA
- A força elétrica é uma das 4 forças fundamentais da natureza (força gravitacional, força eletromagnética, força nuclear forte e força nuclear fraca).
- Surge entre corpos carregados eletricamente.
Existem algumas semelhanças entre a força elétrica e a força gravitacional, como mostra o quadro a seguir:
- A força de interação entre duas cargas elétricas puntiformes é diretamente proporcional ao produto das cargas e inversamente proporcional ao quadrado da distância. Logo, o gráfico da força pela distância que separa as cargas é uma hipérbole:

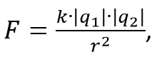
- O módulo dessa força é dada pela Lei de Coulomb (no quadro acima).
- A direção é a mesma da reta que une as cargas.
- O sentido é determinado pelo sinal das cargas: cargas de mesmo sinal se repelem e cargas de sinais contrários se atraem.

- A Lei de Coulomb só pode ser usada de duas em duas cargas. Se existirem mais cargas no sistema, o cálculo da força resultante deve obedecer às regras da soma vetorial.
CAIU NO ENEM!
CAIU NO VESTIBULAR!
2018
B (UNESP 2018) Suponha uma pequeníssima esfera contendo 12 nêutrons, 11 prótons e 10 elétrons, ao redor da qual gira um elétron a 1,6 × 10–10 m de seu centro, no vácuo. Considerando a carga elementar e = 1,6 × 10–19 C e a constante eletrostática do vácuo k0 = 9 × 109 N · m2 / C2, a intensidade da força elétrica entre a esfera e o elétron é
- a) 5,6 × 10–10 N.
- b) 9,0 × 10–9 N.
- c) 1,4 × 10–9 N.
- d) 1,4 × 10–12 N.
- e) 9,0 × 10–12 N.
A (MACKENZIE 2018) Duas cargas elétricas +6,0 μC e +1,0 μC estão fixadas em uma região no vácuo a uma distância de 1,0 m uma da outra. A força resultante que atua em uma carga de –2,0 μC, colocada entre elas, será igual a zero, quando esta estiver a uma distância da carga de +1,0 μC de, aproximadamente,

- a) 0,3 m
- b) 0,4 m
- c) 0,5 m
- d) 0,7 m
- e) 1,2 m
B (FCMSCSP 2018) Quatro cargas puntiformes idênticas (A, B, C e D) estão fixas e dispostas conforme a figura. As forças de repulsão entre A e B, A e C e entre A e D são, respectivamente, FAB, FAC e FAD.
Sendo FAB = F, as intensidades de FAC e FAD são, respectivamente,
2017
A (FACULDADE DE MEDICINA ALBERT EINSTEIN 2017) Observe a figura abaixo onde duas esferas de massas iguais a m estão eletrizadas com cargas elétricas Q, iguais em módulo, porém de sinais contrários. Estando o sistema em equilíbrio estático, determine a distância d entre os centros das esferas. Adote o módulo da aceleração da gravidade igual a g, a constante eletrostática do meio igual a k e a tração na corda igual a T.
B (UFJF-PISM 3 2017) Em uma experiência realizada em sala de aula, o professor de Física usou três esferas metálicas, idênticas e numeradas de 1 a 3, suspensas por fios isolantes em três arranjos diferentes, como mostra a figura abaixo:

Inicialmente, o Professor eletrizou a esfera 3 com carga negativa. Na sequência, o professor aproximou a esfera 1 da esfera 3 e elas se repeliram. Em seguida, ele aproximou a esfera 2 da esfera 1 e elas se atraíram. Por fim, aproximou a esfera 2 da esfera 3 e elas se atraíram. Na tentativa de explicar o fenômeno, 6 alunos fizeram os seguintes comentários:
- João: A esfera 1 pode estar eletrizada negativamente, e a esfera 2, positivamente.
- Maria: A esfera 1 pode estar eletrizada positivamente e a esfera 2 negativamente.
- Letícia: A esfera 1 pode estar eletrizada negativamente, e a esfera 2 neutra.
- Joaquim: A esfera 1 pode estar neutra e a esfera 2 eletrizada positivamente.
- Marcos: As esferas 1 e 2 podem estar neutras.
- Marta: As esferas 1 e 2 podem estar eletrizadas positivamente.
Assinale a alternativa que apresenta os alunos que fizeram comentários corretos com relação aos fenômenos observados:
- a) somente João e Maria.
- b) somente João e Letícia.
- c) somente Joaquim e Marta.
- d) somente João, Letícia e Marcos.
- e) somente Letícia e Maria.
B (EEAR 2017) Duas cargas são colocadas em uma região onde há interação elétrica entre elas. Quando separadas por uma distância d, a força de interação elétrica entre elas tem módulo igual a F. Triplicando-se a distância entre as cargas, a nova força de interação elétrica em relação à força inicial, será
- a) diminuída 3 vezes
- b) diminuída 9 vezes
- c) aumentada 3 vezes
- d) aumentada 9 vezes
D (PUC RJ 2017) Duas cargas pontuais q1 e q2 são colocadas a uma distância R entre si. Nesta situação, observa-se uma força de módulo F0 sobre a carga q2. Se agora a carga q2 for reduzida à metade e a distância entre as cargas for reduzida para R/4, qual será o módulo da força atuando em q1?
- a) F0 /32
- b) F0 /2
- c) 2 F0
- d) 8 F0
- e) 16 F0
2016
E (UDESC 2016) Duas pequenas esferas estão separadas por uma distância de 30 cm. As duas esferas repelem-se com uma força de 7,5 × 10-6 N. Considerando que a carga elétrica das duas esferas é 20 nC, a carga elétrica de cada esfera é, respectivamente:
- a) 10 nC e 10 nC
- b) 13 nC e 7 nC
- c) 7,5 nC e 10 nC
- d) 12 nC e 8 nC
- e) 15 nC e 5 nC
2015
A (FMABC 2015) Uma partícula de massa M e carga elétrica igual a – Q descreve um movimento circular e uniforme em torno de outra partícula fixa de massa igual a 2M e carga + Q. A distância entre os centros de massas dessas partículas vale d e a constante eletrostática do meio vale k. Com base nesses dados determine, respectivamente, a velocidade angular (ω) e o período (T) da
partícula giratória. Despreze a interação de natureza gravitacional entre as massas.
2014
(UNICAMP 2014) A atração e a repulsão entre partículas carregadas têm inúmeras aplicações industriais, tal como a pintura eletrostática. As figuras abaixo mostram um mesmo conjunto de partículas carregadas, nos vértices de um quadrado de lado a, que exercem forças eletrostáticas sobre a carga A no centro desse quadrado. Na situação apresentada, o vetor que melhor representa a força resultante agindo sobre a carga A se encontra na figura
2013
2012
A (IFPR-T 2012) O francês Charles Augustin Coulomb apresentou em 1783 a denominada lei de Coulomb, que mostra a interação de forças eletrostáticas entre duas partículas carregadas, onde estas forças podem ser de atração (cargas de sinais diferentes) e repulsão (cargas de mesmo sinal). A partir da Lei de Coulomb pode-se calcular o módulo da força elétrica entre duas partículas puntiformes carregadas pela expressão:
onde k é a constante eletrostática que depende do meio; q1 e q2 são os valores das cargas elétricas e r é a distância entre as cargas.
Analise as alternativas a seguir e marque a correta.
- a) O módulo da força que q1 exerce sobre q2 é o mesmo que q2 exerce sobre q1, onde as forças estão na mesma direção, porém em sentidos opostos.
- b) O módulo da força entre as cargas é diretamente proporcional a r2.
- c) O módulo da força que q1 exerce sobre q2 é diferente do módulo da força que q2 exerce sobre q1, o módulo destas forças depende basicamente do valor de cada uma das cargas.
- d) O módulo da força elétrica entre as cargas puntiformes, independe do meio onde se encontram as cargas.
- e) O módulo da força elétrica entre duas cargas puntiformes independe da distância entre elas.
C (PUC RJ 2012) Um sistema eletrostático composto por 3 cargas Q1 = Q2 = +Q e Q3 = q é montado de forma a permanecer em equilíbrio, isto é, imóvel. Sabendo-se que a carga Q3 é colocada no ponto médio entre Q1 e Q2, calcule q.
- a) − 2 Q
- b) 4 Q
- c) − ¼ Q
- d) ½ Q
- e) − ½ Q
A (UDESC 2012) Duas cargas puntiformes +4q e +q estão dispostas ao longo de uma linha reta horizontal e separadas por uma distância d. Em que posição x, ao longo da linha horizontal, e em relação à carga +4q, deve-se localizar uma terceira carga +q a fim de que esta adquira uma aceleração nula?
- a) 2d / 3
- b) 3d / 2
- c) 5d / 4
- d) d / 3
- e) 3d / 4
(MAUÁ 2012) Seis cargas puntiformes q1 = +2Q, q2 = +Q, q3 = –3Q, q4 = –2Q, q5 = +Q e q6 = –3Q são fixadas nos vértices de um hexágono regular de lado L, como mostra a figura. Uma sétima carga q7 = +4Q é colocada no centro do hexágono.
Determine o módulo, a direção e o sentido da força resultante sobre a carga q7.
RESPOSTA:
C (PUC RJ 2012) Um sistema eletrostático composto por 3 cargas Q1 = Q2 = +Q e Q3 = q é montado de forma a permanecer em equilíbrio, isto é, imóvel. Sabendo-se que a carga Q3 é colocada no ponto médio entre Q1 e Q2, calcule q.
- a) – 2 Q
- b) 4 Q
- c) – ¼ Q
- d) ½ Q
- e) – ½ Q
2011
D (FEI 2011) Duas cargas q1 = 2 μC e q2 = 4 μC estão a uma distância de 0,5 m uma da outra. Nessas condições e supondo que a constante eletrostática é k0, a força entre as cargas é:
- a) de atração com módulo 16.10-12 k0.
- b) de repulsão com módulo 16.10-12 k0.
- c) de atração com módulo 32.10-12 k0.
- d) de repulsão com módulo 32.10-12 k0.
- e) nula.
D (MACKENZIE 2011) Duas cargas elétricas puntiformes, quando separadas pela distância D, se repelem com uma força de intensidade F. Afastando-se essas cargas, de forma a duplicar a distância entre elas, a intensidade da força de repulsão será igual a:
- a)√2 ∙ F
- b) 2 ∙ F
- c) F/2
- d) F/4
- e) F/8
D (PUC RJ 2011) Uma carga Q1 = 1,0 × 10-6 C está fixa no ponto x = 0. No instante t = 0 s, em x = 1,0 m se encontra uma carga Q2 = 2 Q1, em repouso, porém livre para se mover. Considere que o eixo x é a linha que une as duas cargas. Dado que a constante ke = 9,0 × 109 N m2/C2, indique a força em newtons na direção x que a carga Q2 faz sobre a carga Q1.
- a) 18,0 × 10-3.
- b) 4,5 × 10-3.
- c) 9,0 × 10-3.
- d) -18,0 × 10-3.
- e) -9,0 × 10-3.
C (UEFS 2011) O objetivo primordial da Física é entender a natureza de forma unificada. Tem-se algumas ideias sobre como unificar as interações fortes com as fracas e eletromagnéticas — a chamada Grande Unificação —, mas isso só pode ocorrer se a gravidade for incluída na equação, o que traz grandes dificuldades. Sabendo-se que a ordem de grandeza da constante de gravitação universal é 10−10 N.m2/kg2, da constante eletrostática é 1010 N.m2/C2, da massa do elétron é 10−30 kg, da massa do próton é 10−27 kg, da carga elétrica elementar é 10−19 C, do raio do átomo de hidrogênio é 10−10 m, a intensidade da atração gravitacional entre um elétron e um próton, no átomo de hidrogênio, é menor que a força de atração elétrica um número de vezes da ordem de:
- a) 1019
- b) 1023
- c) 1039
- d) 1041
- e) 1044
A (IFSC 2011) Um pêndulo elétrico de comprimento R e massa m = 0,2 kg, eletrizado com carga Q positiva, é repelido por outra carga igual, fixa no ponto A. A figura mostra a posição de equilíbrio do pêndulo.
Assinale a alternativa correta. Qual é o módulo das cargas?
2009
D (UNIFESP 2009) Considere a seguinte “unidade” de medida: a intensidade da força elétrica entre duas cargas q, quando separadas por uma
distância d, é F. Suponha em seguida que uma carga q1 = q seja colocada frente a duas outras cargas, q2 = 3q e q3 = 4q, segundo a disposição mostrada na figura.
A intensidade da força elétrica resultante sobre a carga q1, devido às cargas q2 e q3, será
- a) 2F.
- b) 3F.
- c) 4F.
- d) 5F.
- e) 9F.









