CAIU NO ENEM!
CAIU NO VESTIBULAR!
2018
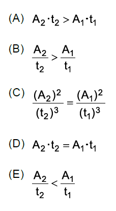
A (FCMSCSP 2018) A figura representa a trajetória elíptica de determinado planeta em torno do Sol.

Considerando as proporções entre as áreas indicadas na figura, que a linha imaginária que liga esse planeta ao Sol varre a área A1 em um intervalo de tempo t1 e a área A2 em um intervalo de tempo t2 e sendo válida a Lei das Áreas, de Kepler, é correto afirmar que
D (FMABC 2018) No dia 16 de outubro deste ano, um grupo de astrônomos anunciou a observação da colisão de duas estrelas de nêutrons. Uma estrela de nêutrons é um objeto celeste extremamente denso e com diâmetros de aproximadamente 10 km. Supondo que o Sol, súbita e instantaneamente, se transformasse em uma estrela de nêutrons (isso não pode acontecer, é apenas uma suposição), reduzindo seu diâmetro por um fator de 105, mas mantendo a sua massa e a mesma distância até a Terra, a força gravitacional que o Sol, agora uma estrela de nêutrons, exerceria sobre a Terra, em relação à força gravitacional atual,
- a) diminuiria 105 vezes.
- b) aumentaria 1010 vezes.
- c) diminuiria 1010 vezes.
- d) não se alteraria.
- e) aumentaria 105 vezes.
C (UDESC 2018) Analise as proposições com relação às Leis de Kepler sobre o movimento planetário.
I. A velocidade de um planeta é maior no periélio.
II. Os planetas movem-se em órbitas circulares, estando o Sol no centro da órbita.
III. O período orbital de um planeta aumenta com o raio médio de sua órbita.
IV. Os planetas movem-se em órbitas elípticas, estando o Sol em um dos focos.
V. A velocidade de um planeta é maior no afélio.
Assinale a alternativa correta.
- a) Somente as afirmativas I, II e III são verdadeiras.
- b) Somente as afirmativas II, III e V são verdadeiras.
- c) Somente as afirmativas I, III e IV são verdadeiras.
- d) Somente as afirmativas III, IV e V são verdadeiras.
- e) Somente as afirmativas I, III e V são verdadeiras.
B (UNICAMP 2018) Recentemente, a agência espacial americana anunciou a descoberta de um planeta a trinta e nove anos-luz da Terra, orbitando uma estrela anã vermelha que faz parte da constelação de Cetus. O novo planeta possui dimensões e massa pouco maiores do que as da Terra e se tornou um dos principais candidatos a abrigar vida fora do sistema solar. Considere este novo planeta esférico com um raio igual a RP = 2RT e massa MP = 8MT , em que RT e MT são o raio e a massa da Terra, respectivamente. Para planetas esféricos de massa M e raio R , a aceleração da gravidade na superfície do planeta é dada por g = GM/R2 , em que G é uma constante universal. Assim, considerando a Terra esférica e usando a aceleração da gravidade na sua superfície, o valor da aceleração da gravidade na superfície do novo planeta será de
- a) 5 m/s2.
- b) 20 m/s2.
- c) 40 m/s2.
- d) 80 m/s2.
2017
E (FGV SP 2017) Johannes Kepler (1571-1630) foi um cientista dedicado ao estudo do sistema solar. Uma das suas leis enuncia que as órbitas dos planetas, em torno do Sol, são elípticas, com o
Sol situado em um dos focos dessas elipses. Uma das consequências dessa lei resulta na variação
- a) do módulo da aceleração da gravidade na superfície dos planetas.
- b) da quantidade de matéria gasosa presente na atmosfera dos planetas.
- c) da duração do dia e da noite em cada planeta.
- d) da duração do ano de cada planeta.
- e) da velocidade orbital de cada planeta em torno do Sol.
2016
D (FUVEST 2016) A Estação Espacial Internacional orbita a Terra em uma altitude h. A aceleração da gravidade terrestre dentro dessa espaçonave é
2015
D (FUVEST 2015) A notícia “Satélite brasileiro cai na Terra após lançamento falhar”, veiculada pelo jornal O Estado de S. Paulo de 10/12/2013, relata que o satélite CBERS-3, desenvolvido em parceria entre Brasil e China, foi lançado no espaço a uma altitude de 720 km (menor do que a planejada) e com uma velocidade abaixo da necessária para colocá-lo em órbita em torno da Terra. Para que o satélite pudesse ser colocado em órbita circular na altitude de 720 km, o módulo de sua velocidade (com direção tangente à órbita) deveria ser de, aproximadamente,
- a) 61 km/s
- b) 25 km/s
- c) 11 km/s
- d) 7,7 km/s
- e) 3,3 km/s
2013
A (FUVEST 2013) Uma das primeiras estimativas do raio da Terra é atribuída a Eratóstenes, estudioso grego que viveu, aproximadamente, entre 275 a.C. e 195 a.C. Sabendo que em Assuã, cidade localizada no sul do Egito, ao meio dia do solstício de verão, um bastão vertical não apresentava sombra, Eratóstenes decidiu investigar o que ocorreria, nas mesmas condições, em Alexandria, cidade no norte do Egito. O estudioso observou que, em Alexandria, ao meio dia do solstício de verão, um bastão vertical apresentava sombra e determinou o ângulo 𝜃 entre as direções do bastão e de incidência dos raios de sol. O valor do raio da Terra, obtido a partir de 𝜃 e da distância entre Alexandria e Assuã foi de, aproximadamente, 7500 km.
O mês em que foram realizadas as observações e o valor aproximado de 𝜃 são
- a) junho; 7°.
- b) dezembro; 7°.
- c) junho; 23°.
- d) dezembro; 23°.
- e) junho; 0,3°.
Note e adote: Distância estimada por Eratóstenes entre Assuã e Alexandria ≈ 900 km. π = 3.
B (UFTM 2013) Num determinado sistema planetário, um planeta descreve um movimento de translação ao redor de uma estrela, segundo a trajetória e o sentido representados na figura. Sabe-se que o deslocamento entre os pontos A e B ocorre em quatro meses terrestres e que as áreas A1 e A2 são iguais.
Considerando válidas as leis de Kepler para o movimento planetário e sabendo que o período de translação do planeta ao redor de sua estrela é igual a 20 meses terrestres, o intervalo de tempo para que ele percorra o trecho CA, em meses terrestres, é igual a
- a) 11.
- b) 12.
- c) 14.
- d) 10.
- e) 13.
2011
C (UFRN 2011) A partir do final da década de 1950, a Terra deixou de ter apenas seu único satélite natural – a Lua –, e passou a ter também satélites artificiais, entre eles os satélites usados para comunicações e observações de regiões específicas da Terra. Tais satélites precisam permanecer sempre parados em relação a um ponto fixo sobre a Terra, por isso são chamados de “satélites geoestacionários”, isto é, giram com a mesma velocidade angular da Terra.
Considerando tanto a Lua quanto os satélites geoestacionários, pode-se afirmar que
- a) as órbitas dos satélites geoestacionários obedecem às Leis de Kepler, mas não obedecem à Lei de Newton da Gravitação Universal.
- b) a órbita da Lua obedece às Leis de Kepler, mas não obedece à Lei de Newton da Gravitação Universal.
- c) suas órbitas obedecem às Leis de Kepler e à Lei de Newton da Gravitação Universal.
- d) suas órbitas obedecem às Leis de Kepler, mas não obedecem à Lei de Newton da Gravitação Universal.
2009
C (UNIFESP 2009) Estima-se que o planeta Urano possua massa 14,4 vezes maior que a da Terra e que sua aceleração gravitacional na linha do equador seja 0,9g, em que g é a aceleração gravitacional na linha do equador da Terra. Sendo RU e RT os raios nas linhas do equador de Urano e da Terra, respectivamente, e desprezando os efeitos da rotação dos planetas, RU/RT é
- a) 1,25.
- b) 2,5.
- c) 4.
- d) 9.
- e) 16.



