CAIU NO ENEM!
D (ENEM 2016 – 2ª APLICAÇÃO) Para um salto no Grand Canyon usando motos, dois paraquedistas vão utilizar uma moto cada, sendo que uma delas possui massa três vezes maior. Foram construídas duas pistas idênticas até a beira do precipício, de forma que no momento do salto as motos deixem a pista horizontalmente e ao mesmo tempo. No instante em que saltam, os paraquedistas abandonam suas motos e elas caem praticamente sem resistência do ar. As motos atingem o solo simultaneamente porque
- a) possuem a mesma inércia.
- b) estão sujeitas à mesma força resultante.
- c) têm a mesma quantidade de movimento inicial.
- d) adquirem a mesma aceleração durante a queda.
- e) são lançadas com a mesma velocidade horizontal.
CAIU NO VESTIBULAR!
2018
B (CEFET MG 2018) João observa duas esferas idênticas, lançadas horizontalmente por duas crianças 1 e 2 de uma mesma altura H, interceptarem-se antes de tocarem o chão, como mostra a figura abaixo.
Considerando-se que a resistência do ar é desprezível, João conclui, sobre esse evento, que:
I- A criança 1 arremessou a esfera um pouco antes da criança 2.
II- A criança 2 imprimiu menor velocidade na esfera que a criança 1.
III- A aceleração da esfera da criança1 é menor que a esfera da criança 2, ao longo das trajetórias.
A alternativa que expressa a(s) conclusão(ões) correta(s) de João é
- a) I.
- b) II.
- c) I e III.
- d) II e III.
A (UFRGS 2018) Dois objetos de massas m1 e m2 (=2m1) encontram-se na borda de uma mesa de altura h em relação ao solo, conforme representa a figura abaixo.
O objeto 1 é lentamente deslocado até começar a cair verticalmente. No instante em que o objeto 1 começa a cair, o objeto 2 é lançado horizontalmente com velocidade Vo. A resistência do ar é desprezível.
Assinale a alternativa que melhor representa os gráficos de posição vertical dos objetos 1 e 2, em função do tempo. Nos gráficos, t1q representa o tempo de queda do objeto 1. Em cada alternativa, o gráfico da esquerda representa o objeto 1 e o da direita representa o objeto 2.
2017
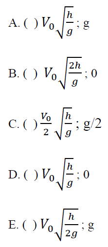
A (UDESC 2017) Um projétil é lançado, com velocidade horizontal Vo, do topo de uma mesa que possui altura h. Desconsiderando a resistência do ar, assinale a alternativa que corresponde ao deslocamento horizontal e ao módulo da aceleração deste projétil, respectivamente, quando ele está na metade da altura da mesa.
2016
B (CFTMG 2016) A figura abaixo exibe uma bola que é abandonada de uma rampa curva de 1,25 m de altura que está sobre uma mesa nas proximidades da Terra. Após liberada, a bola desce pela rampa, passa pelo plano horizontal da mesa e toca o solo 1,00 s após passar pela borda.
Desprezando-se qualquer tipo de atrito, avalie as afirmações a seguir e assinale (V) para as verdadeiras, ou (F) para as falsas.
( ) O alcance horizontal da bola a partir da saída da mesa é de 5,00 metros.
( ) Abandonado-se a bola a partir do repouso da borda da mesa, o tempo de queda até o solo é também de 1,00 s.
( ) Para se calcular o tempo de queda da bola a partir da saída da mesa, é necessário conhecer a massa da bola.
( ) Para se calcular o alcance da bola a partir da saída da mesa, é necessário conhecer a altura da mesa.
A sequência correta encontrada é
- a) F, F, V, V.
- b) V, V, F, F.
- c) F, V, F, V.
- d) V, F, V, F.
2011
E (FUVEST 2011) Uma menina, segurando uma bola de tênis, corre com velocidade constante, de módulo igual a 10,8 km/h, em trajetória retilínea, numa quadra plana e horizontal. Num certo instante, a menina, com o braço esticado horizontalmente ao lado do corpo, sem alterar o seu estado de movimento, solta a bola, que leva 0,5 s para atingir o solo. As distâncias sm e sb percorridas, respectivamente, pela menina e pela bola, na direção horizontal, entre o instante em que a menina soltou a bola (t= 0 s) e o instante t= 0,5 s, valem:
A (PUC RJ 2011) Um objeto é lançado horizontalmente de um penhasco vertical, com uma velocidade inicial vhorizontal = 10 m/s. Ao atingir o solo, o objeto toca um ponto situado a 20 m da base do penhasco. Indique a altura H (em metros) do penhasco considerando que a aceleração da gravidade é g = 10 m/s2 e desprezando a resistência do ar.
- a) H = 20.
- b) H = 40.
- c) H = 60.
- d) H = 80.
- e) H = 100.
2009
A (UERJ 2009) Um avião sobrevoa, com velocidade constante, uma área devastada, no sentido sul-norte, em relação a um determinado observador. A figura a seguir ilustra como esse observador, em repouso, no solo, vê o avião.
Quatro pequenas caixas idênticas de remédios são largadas de um compartimento da base do avião, uma a uma, a pequenos intervalos regulares. Nessas circunstâncias, os efeitos do ar praticamente não interferem no movimento das caixas. O observador tira uma fotografia, logo após o início da queda da quarta caixa e antes de a primeira atingir o solo. A ilustração mais adequada dessa fotografia é apresentada em:
2002
B (FUVEST 2002) Em decorrência de fortes chuvas, uma cidade do interior paulista ficou isolada. Um avião sobrevoou a cidade, com velocidade horizontal constante, largando 4 pacotes de alimentos, em intervalos de tempos iguais. No caso ideal, em que a resistência do ar pode ser desprezada, a figura que melhor poderia representar as posições aproximadas do avião e dos pacotes, em um mesmo instante, é:
2001
A (FUVEST 2001) Um motociclista de motocross move-se com velocidade v = 10 m/s, sobre uma superfície plana, até atingir uma rampa (em A), inclinada de 45° com a horizontal, como indicado na figura.
A trajetória do motociclista deverá atingir novamente a rampa a uma distância horizontal D (D=H), do ponto A, aproximadamente igual a:
- a) 20 m
- b) 15 m
- c) 10 m
- d) 7,5 m
- e) 5 m








