CAIU NO ENEM!
CAIU NO VESTIBULAR!
2018
E (UNESP 2018) A tirolesa é uma prática recreativa na qual uma pessoa, presa a um sistema de roldanas que permite o controle da velocidade, desliza por um cabo tensionado. A figura mostra uma pessoa praticando tirolesa e quatro possíveis direções e sentidos da força resultante sobre ela.
Supondo que, em dado instante, a pessoa desce em movimento acelerado, a força resultante sobre ela tem
- a) intensidade nula.
- b) direção e sentido indicados pela seta 3.
- c) direção e sentido indicados pela seta 1.
- d) direção e sentido indicados pela seta 4.
- e) direção e sentido indicados pela seta 2.
(SEGUNDA LEI – BLOQUINHOS) E (FCMSCSP 2018) Duas caixas, A e B, estão apoiadas, em repouso, sobre uma superfície plana e horizontal. Sobre a caixa A é aplicada uma força F, horizontal e de intensidade constante, conforme a figura.

O gráfico representa a variação da intensidade da força FAB, transmitida de A para B, em função da massa de A, mA, mantendo a massa de B, mB, constante.

Desprezando o atrito e a resistência do ar, a aceleração do sistema quando mA = 2 kg será
- a) 1 m/s2.
- b) 4 m/s2.
- c) 2 m/s2.
- d) 3 m/s2.
- e) 5 m/s2.
(SEGUNDA LEI) C (CEFET MG 2018) A figura abaixo ilustra uma máquina de Atwood.

Supondo-se que essa máquina possua uma polia e um cabo de massas insignificantes e que os atritos também são desprezíveis, o módulo da aceleração dos blocos de massas iguais a m1 = 1,0 kg e m2 = 3,0 kg, em m/s2, é
- a) 20.
- b) 10.
- c) 5,0.
- d) 2,0.
B (UFRGS 2018) O cabo-de-guerra é uma atividade esportiva na qual duas equipes, A e B, puxam uma corda pelas extremidades opostas, conforme representa a figura abaixo.

Considere que a corda é puxada pela equipe A com uma força horizontal de módulo 780 N e pela equipe B com uma força horizontal de módulo 720 N. Em dado instante, a corda arrebenta.
Assinale a alternativa que preenche corretamente as lacunas do enunciado abaixo, na ordem em que aparecem.
A força resultante sobre a corda, no instante imediatamente anterior ao rompimento, tem módulo 60 N e aponta para a …….. . Os módulos das acelerações das equipes A e B, no instante imediatamente posterior ao rompimento da corda, são, respectivamente, …….. , supondo que cada
equipe tem massa de 300 kg.
- a) esquerda – 2,5 m/s2 e 2,5 m/s2
- b) esquerda – 2,6 m/s2 e 2,4 m/s2
- c) esquerda – 2,4 m/s2 e 2,6 m/s2
- d) direita – 2,6 m/s2 e 2,4 m/s2
- e) direita – 2,4 m/s2 e 2,6 m/s2
(PRIMEIRA LEI/ TERCEIRA LEI) A (UDESC 2018) Analise as proposições com relação às leis de Newton.
I. A massa de um corpo é uma grandeza escalar que quantifica a inércia desse corpo.
II. Os estados naturais de um corpo são o repouso e o movimento retilíneo uniforme.
III. Uma força impressa a um corpo modifica o seu estado natural, somente alterando o módulo de sua velocidade.
IV. A lei da ação e reação se refere a forças que são aplicadas a um mesmo corpo.
V. Para toda força aplicada por um corpo A sobre um corpo B, existe uma força de módulo igual e sentido contrário aplicada pelo corpo B sobre o corpo A.
Assinale a alternativa correta.
- a) Somente as afirmativas I, II e V são verdadeiras.
- b) Somente as afirmativas I, II e IV são verdadeiras.
- c) Somente as afirmativas I, III e IV são verdadeiras.
- d) Somente as afirmativas II, III e IV são verdadeiras.
- e) Somente as afirmativas III, IV e V são verdadeiras.
(SEGUNDA LEI) C (UERJ 2018) Em um experimento, os blocos I e II, de massas iguais a 10 kg e a 6 kg, respectivamente, estão interligados por um fio ideal. Em um primeiro momento, uma força de intensidade F igual a 64 N é aplicada no bloco I, gerando no fio uma tração TA. Em seguida, uma força de mesma intensidade F é aplicada no bloco II, produzindo a tração TB. Observe os esquemas:
Desconsiderando os atritos entre os blocos e a superfície S, a razão entre as trações TA/TB corresponde a:
- a) 9/10
- b) 4/7
- c) 3/5
- d) 8/13
2017
- a) a massa total de Armstrong na Lua é de 300 kg e seu peso é 500 N.
- b) a massa total de Armstrong na Terra é de 50,0 kg e seu peso é 3000 N.
- c) a massa total de Armstrong na Terra é de 300 kg e seu peso é 500 N.
- d) a massa total de Armstrong na Lua é de 50,0 kg e seu peso é 3000 N.
- e) o peso de Armstrong na Lua e na Terra são iguais.
II. Um puxão lento na corda inferior fará com que a corda superior se parta.

Assinale a alternativa que explica por que ocorre a situação I.
- a) Terceira lei de Newton.
- b) A força é muito pequena para mover a bola.
- c) O atrito do ar com a bola a empurra de volta.
- d) A bola tem muita energia.
- e) A inércia da bola.
2015
(PRIMEIRA LEI/ SEGUNDA LEI/ TERCEIRA LEI) D (UDESC 2015) Com relação às Leis de Newton, analise as proposições.
I. Quando um corpo exerce força sobre o outro, este reage sobre o primeiro com uma força de mesma intensidade, mesma direção e mesmo sentido.
II. A resultante das forças que atuam em um corpo de massa m é proporcional à aceleração que este corpo adquire.
III. Todo corpo permanece em seu estado de repouso ou de movimento retilíneo uniforme, a menos que uma força resultante, agindo sobre ele, altere a sua velocidade.
IV. A intensidade, a direção e o sentido da força resultante agindo em um corpo é igual à intensidade, à direção e ao sentido da aceleração que este corpo adquire.
Assinale a alternativa correta.
- a) Somente as afirmativas III e IV são verdadeiras.
- b) Somente as afirmativas I e IV são verdadeiras.
- c) Somente as afirmativas I e II são verdadeiras.
- d) Somente as afirmativas II e III são verdadeiras.
- e) Todas as afirmativas são verdadeiras.
2012
(SEGUNDA LEI – Bloquinhos) B (CFTMG 2012) Na figura, os blocos A e B, com massas iguais a 5 e 20 kg, respectivamente, são ligados por meio de um cordão inextensível.
Desprezando-se as massas do cordão e da roldana e qualquer tipo de atrito, a aceleração do bloco A, em m/s2, é igual a
- a) 1,0.
- b) 2,0.
- c) 3,0.
- d) 4,0.
(SEGUNDA LEI – Elevador) E (Espcex (Aman) 2012) Um elevador possui massa de 1500 kg Considerando a aceleração da gravidade igual a 10 m/s2 a tração no cabo do elevador, quando ele sobe vazio, com uma aceleração de 3 m/s2 é de:
- a) 4500 N
- b) 6000 N
- c) 15500 N
- d) 17000 N
- e) 19500 N
(SEGUNDA LEI – Bloquinhos) D (UFRGS 2012) Dois blocos, de massas m1 = 3,0 kg e m2 = 1,0 kg, ligados por um fio inextensível, podem deslizar sem atrito sobre um plano horizontal. Esses blocos são puxados por uma força horizontal F de módulo F = 6 N, conforme a figura a seguir.
(Desconsidere a massa do fio).
A tensão no fio que liga os dois blocos é
- a) zero
- b) 2,0 N.
- c) 3,0 N.
- d) 4,5 N.
- e) 6,0 N.
(TERCEIRA LEI) C (UFRN 2012) Em Tirinhas, é muito comum encontrarmos situações que envolvem conceitos de Física e que, inclusive, têm sua parte cômica relacionada, de alguma forma, com a Física.
Considere a tirinha envolvendo a “Turma da Mônica”, mostrada a seguir.

Supondo que o sistema se encontra em equilíbrio, é correto afirmar que, de acordo com a Lei da Ação e Reação (3ª Lei de Newton),
- a) a força que a Mônica exerce sobre a corda e a força que os meninos exercem sobre a corda formam um par ação-reação.
- b) a força que a Mônica exerce sobre o chão e a força que a corda faz sobre a Mônica formam um par ação-reação.
- c) a força que a Mônica exerce sobre a corda e a força que a corda faz sobre a Mônica formam um par ação-reação.
- d) a força que a Mônica exerce sobre a corda e a força que os meninos exercem sobre o chão formam um par ação-reação.
2011
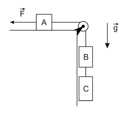
(SEGUNDA LEI – Bloquinhos) E (Espcex (Aman) 2011) Três blocos A, B e C de massas 4 kg, 6 kg e 8 kg, respectivamente, são dispostos, conforme representado no desenho abaixo, em um local onde a aceleração da gravidade g vale 10 m/s2.
Desprezando todas as forças de atrito e considerando ideais as polias e os fios, a intensidade da força horizontal F que deve ser aplicada ao bloco A, para que o bloco C suba verticalmente com uma aceleração constante de 2 m/s2, é de:
- a) 100 N
- b) 112 N
- c) 124 N
- d) 140 N
- e) 176 N
(SEGUNDA LEI – Elevador) D (UNESP 2011) Observe a tirinha
Uma garota de 50 kg está em um elevador sobre uma balança calibrada em newtons. O elevador move-se verticalmente, com aceleração para cima na subida e com aceleração para baixo na descida. O módulo da aceleração é constante e igual a 2 m/s2 em ambas situações. Considerando g = 10 m/s2, a diferença, em newtons, entre o peso aparente da garota, indicado na balança, quando o elevador sobe e quando o elevador desce, é igual a
- a) 50
- b) 100
- c) 150
- d) 200
- e) 250
E (IFTO 2011) Um bloco B, de massa m, desliza sem atrito sobre uma superfície plana e horizontal, com velocidade v0. Num dado momento, passa a agir sobre o bloco, uma força de módulo F, na direção e sentido do movimento. A força age por uma distância d, até o bloco atingir uma velocidade v. A distância d, percorrida pelo bloco é igual a:
D (UFRN 2011) Considere um grande navio, tipo transatlântico, movendo-se em linha reta e com velocidade constante (velocidade de cruzeiro). Em seu interior, existe um salão de jogos climatizado e nele uma mesa de pingue-pongue orientada paralelamente ao comprimento do navio. Dois jovens resolvem jogar pingue-pongue, mas discordam sobre quem deve ficar de frente ou de costas para o sentido do deslocamento do navio. Segundo um deles, tal escolha influenciaria no resultado do jogo, pois o movimento do navio afetaria o movimento relativo da bolinha de pingue-pongue.
Nesse contexto, de acordo com as Leis da Física, pode-se afirmar que
- a) a discussão não é pertinente, pois, no caso, o navio se comporta como um referencial não inercial, não afetando o movimento da bola.
- b) a discussão é pertinente, pois, no caso, o navio se comporta como um referencial não inercial, não afetando o movimento da bola.
- c) a discussão é pertinente, pois, no caso, o navio se comporta como um referencial inercial, afetando o movimento da bola.
- d) a discussão não é pertinente, pois, no caso, o navio se comporta como um referencial inercial, não afetando o movimento da bola.
2010
C (UFRN 2010) Numa estação de tratamento de água para consumo humano, durante uma das etapas do tratamento, a água passa por tanques de cimento e recebe produtos como sulfato de alumínio e hidróxido de cálcio. Essas substâncias fazem as partículas finas de impurezas presentes na água se juntarem, formando partículas maiores e mais pesadas, que se vão depositando, aos poucos, no fundo do tanque. Após algumas horas nesse tanque, a água que fica sobre as impurezas, e que está mais limpa, é passada para outro tanque, onde o tratamento continua.
Considere as forças que agem no processo de tratamento de água: a força que a água exerce sobre as partículas, a que o peso das partículas exerce sobre a Terra, a que as partículas exercem sobre a água e a que o peso da água exerce sobre a Terra. Com base na 3ª Lei de Newton, é correto afirmar que formam um par ação-reação o empuxo e a força que:
- a) o peso das partículas exerce sobre a Terra.
- b) a água exerce sobre as partículas.
- c) as partículas exercem sobre a água.
- d) o peso da água exerce sobre a Terra.
2008
(SEGUNDA LEI – Bloquinhos) A (UFTPR 2008) Os corpos A, B e C a seguir representados possuem massas m(A) = 3 kg, m(B) = 2 kg e m(C) = 5 kg. Considerando que estão apoiados sobre uma superfície horizontal perfeitamente lisa e que a força F vale 20 N, determine a intensidade da força que o corpo A exerce no corpo B.
- a) 14 N.
- b) 8 N.
- c) 2 N.
- d) 10 N.
- e) 12 N.
(SEGUNDA LEI – Bloquinhos) B (CFTMG 2008) Um trabalhador empurra um conjunto formado por dois blocos A e B de massas 4 kg e 6 kg, respectivamente, exercendo sobre o primeiro uma força horizontal de 50 N, como representado na figura a seguir.
Admitindo-se que não exista atrito entre os blocos e a superfície, o valor da força que A exerce em B, em newtons, é
- a) 50
- b) 30
- c) 20
- d) 10
2007
(SEGUNDA LEI – Bloquinhos) D (PUC MG 2007) Na figura, o bloco A tem uma massa MA = 80 kg e o bloco B, uma massa MB = 20 kg. São ainda desprezíveis os atritos e as inércias do fio e da polia e considera-se g = 10 m/s2.
Sobre a aceleração do bloco B, pode-se afirmar que ela será de:
- a) 10 m/s2 para baixo.
- b) 4,0 m/s2 para cima.
- c) 4,0 m/s2 para baixo.
- d) 2,0 m/s2 para baixo.
(SEGUNDA LEI – Bloquinhos) A (PUC MG 2007) Na figura, o bloco A tem uma massa MA = 80 kg e o bloco B, uma massa MB = 20 kg. São ainda desprezíveis os atritos e as inércias do fio e da polia e considera-se g = 10 m/s2.
O módulo da força que traciona o fio é:
- a) 160 N
- b) 200 N
- c) 400 N
- d) 600 N
2006
D (UNIFESP 2006) Suponha que um comerciante inescrupuloso aumente o valor assinalado pela sua balança, empurrando sorrateiramente o prato para baixo com uma força F de módulo 5,0 N, na direção e sentido indicados na figura.
Com essa prática, ele consegue fazer com que uma mercadoria de massa 1,5 kg seja medida por essa balança como se tivesse massa de
- a) 3,0 kg.
- b) 2,4 kg.
- c) 2,1 kg.
- d) 1,8 kg.
- e) 1,7 kg.
(SEGUNDA LEI – Bloquinhos) E (FATEC 2006) Dois blocos A e B de massas 10 kg e 20 kg, respectivamente, unidos por um fio de massa desprezível, estão em repouso sobre um plano horizontal sem atrito. Uma força, também horizontal, de intensidade F = 60 N é aplicada no bloco B, conforme mostra a figura.
O módulo da força de tração no fio que une os dois blocos, em newtons, vale
- a) 60
- b) 50
- c) 40
- d) 30
- e) 20
(SEGUNDA LEI – Bloquinhos) (CFTCE 2006) Na figura têm-se três caixas com massas m1 = 45,0 kg, m2 = 21,0 kg, e m3 = 34,0 kg, apoiadas sobre uma superfície horizontal sem atrito.
- a) Qual a força horizontal F necessária para empurrar as caixas para a direita, como se fossem uma só, com uma aceleração de 1,20 m/s2?
- b) Ache a força exercida por m2 em m3.
RESPOSTA: a) F = 120 N. b) F23 = 40,8 N.
2005
(SEGUNDA LEI – Bloquinhos) C (FGV 2005) Dois carrinhos de supermercado podem ser acoplados um ao outro por meio de uma pequena corrente, de modo que uma única pessoa, ao invés de empurrar dois carrinhos separadamente, possa puxar o conjunto pelo interior do supermercado. Um cliente aplica uma força horizontal de intensidade F, sobre o carrinho da frente, dando ao conjunto uma aceleração de intensidade 0,5 m/s2.
Sendo o piso plano e as forças de atrito desprezíveis, o módulo da força F e o da força de tração na corrente são, em N, respectivamente:
- a) 70 e 20.
- b) 70 e 40.
- c) 70 e 50.
- d) 60 e 20.
- e) 60 e 50.
2002
(SEGUNDA LEI – Elevador) D (UNIFESP 2002) Às vezes, as pessoas que estão num elevador em movimento sentem uma sensação de desconforto, em geral na região do estômago. Isso se deve à inércia dos nossos órgãos internos localizados nessa região, e pode ocorrer:
- a) Quando o elevador sobe ou desce em movimento uniforme.
- b) Apenas quando o elevador sobe em movimento uniforme.
- c) apenas quando o elevador desce em movimento uniforme.
- d) Quando o elevador sobe ou desce em movimento variado.
- e) Apenas quando o elevador sobe em movimento variado.










