Estudo de uma onda estacionária
Cordas sonoras
Tubos sonoros
CAIU NO ENEM!
A (Enem 2016) Um experimento para comprovar a natureza ondulatória da radiação de micro-ondas foi realizado da seguinte forma: anotou-se a frequência de operação de um forno de micro-ondas e, em seguida, retirou-se sua plataforma giratória. No seu lugar, colocou-se uma travessa refratária com uma camada grossa de manteiga. Depois disso, o forno foi ligado por alguns segundos. Ao se retirar a travessa refratária do forno, observou-se que havia três pontos de manteiga derretida alinhados sobre toda a travessa. Parte da onda estacionária gerada no interior do forno é ilustrada na figura.
De acordo com a figura, que posições correspondem a dois pontos consecutivos da manteiga derretida?
- a) I e III
- b) I e V
- c) II e III
- d) II e IV
- e) II e V
CAIU NO VESTIBULAR!
2019
C (FCMSCSP 2019) Um tubo cilíndrico está totalmente cheio de água e tem uma torneira fechada em sua parte inferior. Quando a torneira é aberta, a água escoa, fazendo com que seu nível, dentro do cilindro, abaixe com uma velocidade constante de 1 cm/s. Um diapasão de frequência 440 Hz é colocado para vibrar próximo à extremidade superior do cilindro e a torneira é aberta.

Sabendo que a velocidade de propagação do som no ar dentro do tubo cilíndrico é 352 m/s, o intervalo de tempo necessário para que sejam produzidas, dentro desse tubo, ondas sonoras estacionárias com frequência igual à do modo fundamental de ressonância é de
- a) 15 s.
- b) 25 s.
- c) 20 s.
- d) 10 s.
- e) 30 s.
2018
E (FGV SP 2018) As figuras 1 e 2 representam a mesma corda de um instrumento musical percutida pelo músico e vibrando em situação estacionária.

De uma figura para outra, não houve variação na tensão da corda. Assim, é correto afirmar que, da figura 1 para a figura 2, ocorreu
- a) um aumento na velocidade de propagação das ondas formadas na corda e também na velocidade de propagação do som emitido pelo instrumento.
- b) um aumento no período de vibração das ondas na corda, mas uma diminuição na velocidade de propagação do som emitido pelo instrumento.
- c) uma diminuição na frequência de vibração das ondas formadas na corda, sendo mantida a frequência de vibração do som emitido pelo instrumento.
- d) uma diminuição no período de vibração das ondas formadas na corda e também na velocidade de propagação do som emitido pelo instrumento.
- e) um aumento na frequência de vibração das ondas formadas na corda, sendo mantida a velocidade de propagação do som emitido pelo instrumento.
A (FMABC 2018) A figura 1, abaixo, mostra um estetoscópio, instrumento utilizado na ausculta médica.
A campânula funciona como um tubo sonoro fechado em uma de suas extremidades, de modo que a frequência fundamental de ressonância ocorre quando se produz uma onda sonora com um nó na extremidade fechada e o ventre adjacente na extremidade aberta, como mostra a figura 2. Se a campânula tem profundidade 6,0 mm, o comprimento de onda da onda correspondente
à frequência fundamental de ressonância dessa campânula é
- a) 24 mm.
- b) 30 mm.
- c) 12 mm.
- d) 15 mm.
- e) 18 mm.
2017
C (EFOMM 2017) Uma corda ideal está atada a um diapasão que vibra com frequência f1 e presa a um corpo de massa m = 2,5 kg conforme a figura 1. A onda estacionária que se forma possui 6 ventres que formam 3,0 m de comprimento.
Um diapasão de frequência f2 é posto a vibrar na borda de um tubo com água, conforme a figura 2.
O nível da água vai diminuindo e, na altura de 42,5 m ocorre o primeiro aumento da intensidade sonora. Desprezando os atritos e considerando a roldana ideal, a razão entre as frequências f2 e f1 é de aproximadamente:
Dado: densidade linear da corda = 250 g/m.
- a) 2,0
- b) 4,0
- c) 20,0
- d) 40,0
- e) 60,0
B (Uece 2017) Uma corda de 60 cm em um violão, vibra a uma determinada frequência. É correto afirmar que o maior comprimento de onda dessa vibração, em cm é
- a) 60
- b) 120
- c) 30
- d) 240
2016
C (FACULDADE DE MEDICINA ALBERT EINSTEIN 2016) Em 1816 o médico francês René Laënnec, durante um exame clínico numa senhora, teve a ideia de enrolar uma folha de papel bem apertada e colocar seu ouvido numa das extremidades, deixando a outra livre para ser encostada na paciente. Dessa forma, não só era evitado o contato indesejado com a paciente, como os sons se tornavam muito mais audíveis. Estava criada assim a ideia fundamental do estetoscópio [do grego, “stêthos” (peito) “skopéo” (olhar)].
É utilizado por diversos profissionais, como médicos e enfermeiros, para auscultar (termo técnico correspondente a escutar) sons vasculares, respiratórios ou de outra natureza em diversas regiões do corpo.
É composto por três partes fundamentais. A peça auricular tem formato anatômico para adaptar-se ao canal auditivo. Os tubos condutores do som a conectam à peça auscultatória. E, por fim, a peça auscultatória, componente metálico colocado em contato com o corpo do paciente. Essa peça é composta por uma campânula, que transmite melhor os sons de baixa frequência – como as batidas do coração – e o diafragma, que transmite melhor os sons de alta frequência, como os do pulmão e do abdômen.
A folha de papel enrolada pelo médico francês René Laënnec pode ser interpretada como um tubo sonoro aberto. Considerando o comprimento desse tubo igual a 34cm e que, ao auscultar um paciente, houve a formação, no interior desse tubo, de uma onda estacionária longitudinal de segundo harmônico e que se propagava com uma velocidade de 340 m/s, qual a frequência dessa onda, em hertz?
- a) 250
- b) 500
- c) 1000
- d) 2000
2015
2014
2013
C (CESUPA 2013) As seis cordas de um violão produzem cada uma um som diferente, cada um com suas características próprias. A onda sonora emitida por uma corda se diferencia daquela emitida por qualquer outra principalmente por um parâmetro associado ao seu harmônico fundamental, que faz com que chamemos o som emitido de grave ou agudo. Tal parâmetro é a
- a) amplitude
- b) velocidade
- c) frequência
- d) potência
E (IFG 2013) Um instrumento musical primitivo é feito por um tubo oco aberto em uma de suas extremidades e fechado na outra e é minimamente representado na figura a seguir.
Sendo seu comprimento L = 2,5 m, e considerando que a velocidade do som nesse ambiente seja de 320 m/s, é correto afirmar que:
- a) Uma expressão que pode corretamente ser usada para se determinar a frequência do som emitido por esse instrumento é f = nv/2L em que v é a velocidade do som no ambiente, L é o comprimento do tubo e n é o número do harmônico emitido pelo instrumento para n = 1,2,3,….
- b) A frequência do som emitido por esse instrumento é de 220 Hz.
- c) No interior do tubo, quanto maior a velocidade de propagação do som no ar, menor será a frequência do som emitido por esse instrumento.
- d) O comprimento de onda dentro do tubo, acima representado, será de aproximadamente 2,5 m.
- e) Um outro instrumento, em condições similares a este, com 5,0 m de comprimento, emitiria um som de frequência 80 Hz.
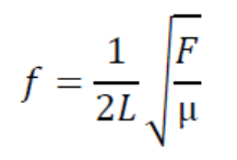
A (UFRN 2013) O violão, instrumento musical bastante popular, possui seis cordas com espessuras e massas diferentes, resultando em diferentes densidades lineares. As extremidades de cada corda são fixadas como mostra a figura abaixo.
Para produzir sons mais agudos ou mais graves, o violonista dispõe de duas alternativas: aumentar ou diminuir a tensão sobre a corda; e reduzir ou aumentar seu comprimento efetivo ao pressioná-la em determinados pontos ao longo do braço do instrumento. Para uma dada tensão, F, e um dado comprimento, L, a frequência de vibração, f, de uma corda de densidade linear μ é determinada pela expressão:
Levando em consideração as características descritas acima, para tocar uma determinada corda de violão visando produzir um som mais agudo, o violonista deverá
- a) diminuir o comprimento efetivo da corda, ou aumentar sua tensão.
- b) aumentar o comprimento efetivo da corda, ou diminuir sua tensão.
- c) diminuir o comprimento efetivo da corda, ou diminuir sua tensão.
- d) aumentar o comprimento efetivo da corda, ou aumentar sua tensão.
C (FUVEST 2013) Uma flauta andina, ou flauta de pã, é constituída por uma série de tubos de madeira, de comprimentos diferentes, atados uns aos outros por fios vegetais. As extremidades inferiores dos tubos são fechadas. A frequência fundamental de ressonância em tubos desse tipo corresponde ao comprimento de onda igual a 4 vezes o comprimento do tubo. Em uma dessas flautas, os comprimentos dos tubos correspondentes, respectivamente, às notas Mi (660 Hz) e Lá (220 Hz) são, aproximadamente,
- a) 6,6 cm e 2,2 cm.
- b) 22 cm e 5,4 cm.
- c) 12 cm e 37 cm.
- d) 50 cm e 1,5 m.
- e) 50 cm e 16 cm.
Note e adote: A velocidade do som no ar é igual a 330 m/s.
2012
A (FGV SP 2012) A nota lá da escala cromática musical é tida como referência na afinação dos instrumentos. No violão comum de 6 cordas, a quinta corda (segunda de cima para baixo), devidamente afinada, emite a nota lá vibrando com frequência de 220 Hz. Se o instrumentista colocar seu dedo num traste localizado a meia distância dos extremos desta corda e percuti-la, ele ouvirá a nota lá vibrando com frequência de:
- a) 440 Hz, mantida a velocidade de propagação da onda formada.
- b) 110 Hz, mantida a velocidade de propagação da onda formada.
- c) 440 Hz, com velocidade de propagação da onda dobrada.
- d) 110 Hz, com velocidade de propagação da onda dobrada.
- e) 440 Hz, com velocidade de propagação da onda reduzida à metade.
D (PUC RIO 2012) Uma corda presa em suas extremidades é posta a vibrar. O movimento gera uma onda estacionária como mostra a figura.
Calcule, utilizando os parâmetros da figura, o comprimento de onda em metros da vibração mecânica imposta à corda.
- a) 1,0
- b) 2,0
- c) 3,0
- d) 4,0
- e) 6,0
C (PUC SP 2012-1) Um homem mantém em equilíbrio estático um bloco preso a uma corda de densidade linear igual a 0,01kg/m, conforme a figura. Determine a massa M do bloco, sabendo que as frequências de duas harmônicas consecutivas de uma onda estacionária no trecho vertical de 2 m da corda correspondem a 150 Hz e 175 Hz.
- a) 102 g
- b) 103 g
- c) 104 g
- d) 105 g
- e) 106 g
C (UDESC 2012-1) Considere uma mangueira de jardim, esticada, com uma das extremidades presa à torneira e a outra extremidade livre. Um estudante de física segura a extremidade livre da mangueira e a movimenta em um movimento harmônico simples.
Assinale a alternativa correta.
- a) Não são produzidas ondas refletidas.
- b) Não são observadas ondas porque uma das extremidades está presa.
- c) São geradas ondas estacionárias pela superposição entre a onda criada pelo estudante e a onda refletida.
- d) São produzidas ondas longitudinais.
- e) Não são observadas ondas porque a onda criada pelo estudante se anula com a onda refletida em todos os pontos.
2011
B (UFPR 2011) Uma fila de carros, igualmente espaçados, de tamanhos e massas iguais faz a travessia de uma ponte com velocidades iguais e constantes, conforme mostra a figura abaixo. Cada vez que um carro entra na ponte, o impacto de seu peso provoca nela uma perturbação em forma de um pulso de onda. Esse pulso se propaga com velocidade de módulo 10 m/s no sentido de A para B. Como resultado, a ponte oscila, formando uma onda estacionária com 3 ventres e 4 nós.
Considerando que o fluxo de carros produza na ponte uma oscilação de 1 Hz, assinale a alternativa correta para o comprimento da ponte.
- a) 10 m.
- b) 15 m.
- c) 20 m.
- d) 30 m.
- e) 45 m.
D (UFTM 2011) Sílvia e Patrícia brincavam com uma corda quando perceberam que, prendendo uma das pontas num pequeno poste e agitando a outra ponta em um mesmo plano, faziam com que a corda oscilasse de forma que alguns de seus pontos permaneciam parados, ou seja, se estabelecia na corda uma onda estacionária.
A figura 1 mostra a configuração da corda quando Sílvia está brincando e a figura 2 mostra a configuração da mesma corda quando Patrícia está brincando.
Considerando-se iguais, nas duas situações, as velocidades de propagação das ondas na corda, e chamando de fS e fP as frequências com que Sílvia e Patrícia, respectivamente, estão fazendo a corda oscilar, pode-se afirmar corretamente que a relação fS / fP é igual a
- a) 1,6.
- b) 1,2.
- c) 0,8.
- d) 0,6.
- e) 0,4.
E (UNESP 2011) Na geração da voz humana, a garganta e a cavidade oral agem como um tubo, com uma extremidade aproximadamente fechada na base da laringe, onde estão as cordas vocais, e uma extremidade aberta na boca. Nessas condições, sons são emitidos com maior intensidade nas frequências e comprimentos de ondas para as quais há um nó (N) na extremidade fechada e um ventre (V) na extremidade aberta, como ilustra a figura. As frequências geradas são chamadas harmônicos ou modos normais de vibração. Em um adulto, este tubo do trato vocal tem aproximadamente 17 cm. A voz normal de um adulto ocorre em frequências situadas aproximadamente entre o primeiro e o terceiro harmônicos.
Considerando que a velocidade do som no ar é 340 m/s, os valores aproximados, em hertz, das frequências dos três primeiros harmônicos da voz normal de um adulto são
- a) 50, 150, 250.
- b) 100, 300, 500.
- c) 170, 510, 850.
- d) 340, 1 020, 1 700.
- e) 500, 1 500, 2 500.
2010



