QUÍMICA – LISTA DE EXERCÍCIOS SOBRE HIDROCARBONETOS
CAIU NO ENEM!
A (Enem 2013) As moléculas de nanoputians lembram figuras humanas e foram criadas para estimular o interesse de jovens na compreensão da linguagem expressa em fórmulas estruturais, muito usadas em química orgânica. Um exemplo é o NanoKid, representado na figura:
Em que parte do corpo do NanoKid existe carbono quaternário?
- a) Mãos.
- b) Cabeça.
- c) Tórax.
- d) Abdômen.
- e) Pés.
CAIU NO VESTIBULAR!
2018
D (UERJ 2018) A exposição ao benzopireno é associada ao aumento de casos de câncer. Observe a fórmula estrutural dessa substância:

Com base na fórmula, a razão entre o número de átomos de carbono e o de hidrogênio, presentes no benzopireno, corresponde a:
- a) 3/7
- b) 6/5
- c) 7/6
- d) 5/3
2017
A (UFPR 2017) A qualidade de um combustível é caracterizada pelo grau de octanagem. Hidrocarbonetos de cadeia linear têm baixa octanagem e produzem combustíveis pobres. Já os alcanos ramificados são de melhor qualidade, uma vez que têm mais hidrogênios em carbonos primários e as ligações C-H requerem mais energia que ligações C-C para serem rompidas. Assim, a combustão dos hidrocarbonetos ramificados se torna mais difícil de ser iniciada, o que reduz os ruídos do motor. O isoctano é um alcano ramificado que foi definido como referência, e ao seu grau de octanagem foi atribuído o valor 100. A fórmula estrutural (forma de bastão) do isoctano é mostrada ao lado. Qual é o nome oficial IUPAC desse alcano?
- a) 2,2,4-trimetilpentano.
- b) 2-metil-4-terc-butil-pentano.
- c) 1,1,1,3,3-pentametilpropano.
- d) 1-metil-1,3-di-isopropilpropano.
- e) 1,1,1-trimetil-4,4-dimetil-pentano.
2013
C (FUVEST 2013) O craqueamento catalítico é um processo utilizado na indústria petroquímica para converter algumas frações do petróleo que são mais pesadas (isto é, constituídas por compostos de massa molar elevada) em frações mais leves, como a gasolina e o GLP, por exemplo. Nesse processo, algumas ligações químicas nas moléculas de grande massa molecular são rompidas, sendo geradas moléculas menores.
A respeito desse processo, foram feitas as seguintes afirmações:
- O craqueamento é importante economicamente, pois converte frações mais pesadas de petróleo em compostos de grande demanda.
- O craqueamento libera grande quantidade de energia, proveniente da ruptura de ligações químicas nas moléculas de grande massa molecular.
- A presença de catalisador permite que as transformações químicas envolvidas no craqueamento ocorram mais rapidamente.
Está correto o que se afirma em
- a) I, apenas.
- b) II, apenas.
- c) I e III, apenas.
- d) II e III, apenas.
- e) I, II e III.
B (FUVEST 2013) A partir de considerações teóricas, foi feita uma estimativa do poder calorífico (isto é, da quantidade de calor liberada na combustão completa de 1 kg de combustível) de grande número de hidrocarbonetos.
Dessa maneira, foi obtido o seguinte gráfico de valores teóricos:
Com base no gráfico, um hidrocarboneto que libera 10.700 kcal/kg em sua combustão completa pode ser representado pela fórmula.
- a) CH4
- b) C2H4
- c) C4H10
- d) C5H8
- e) C6H6
E (FUVEST 2013) Admite-se que as cenouras sejam originárias da região do atual Afeganistão, tendo sido levadas para outras partes do mundo por viajantes ou invasores. Com base em relatos escritos, pode-se dizer que as cenouras devem ter sido levadas à Europa no século XII e, às Américas, no início do século XVII. Em escritos anteriores ao século XVI, há referência apenas a cenouras de cor roxa, amarela ou vermelha. É possível que as cenouras de cor laranja sejam originárias dos Países Baixos, e que tenham sido desenvolvidas, inicialmente, à época do Príncipe de Orange (1533-1584).
No Brasil, são comuns apenas as cenouras laranja, cuja cor se deve à presença do pigmento betacaroteno, representado a seguir.
Com base no descrito acima, e considerando corretas as hipóteses ali aventadas, é possível afirmar que as cenouras de coloração laranja
- a) podem ter sido levadas à Europa pela Companhia das Índias Ocidentais e contêm um pigmento que é um polifenol insaturado.
- b) podem ter sido levadas à Europa por rotas comerciais norte-africanas e contêm um pigmento cuja molécula possui apenas duplas ligações cis.
- c) podem ter sido levadas à Europa pelos chineses e contêm um pigmento natural que é um poliéster saturado.
- d) podem ter sido trazidas ao Brasil pelos primeiros degredados e contêm um pigmento que é um polímero natural cujo monômero é o etileno.
- e) podem ter sido trazidas a Pernambuco durante a invasão holandesa e contêm um pigmento natural que é um hidrocarboneto insaturado.
EXERCÍCIOS EXTRAS
A (CSA 2012 – BIC – U19) (UNICAMP – modificada) Pesquisas recentes sugerem uma ingestão diária de cerca de 2,5 miligramas de resveratrol, um dos componentes encontrados em uvas escuras, para que se obtenham os benefícios atribuídos a essas uvas. Considere a fórmula estrutural da molécula dessa substância:
De acordo com essa fórmula, a fórmula molecular do resveratrol é:
- a) C14H12O3
- b) C14H10O3
- c) C13H12O3
- d) C14H14O3
- e) C13H14O3
C (CSA 2012 – BIC – U21) A cadeia carbônica da glicose pode ser classificada como:
- a) Fechada, homogênea, ramificada e saturada.
- b) Aberta, heterogênea, simples e insaturada.
- c) Fechada, heterogênea, ramificada e saturada.
- d) Fechada, heterogênea, ramificada e insaturada.
- e) Aberta, homogênea, ramificada e saturada.
B (CSA 2012 – BIC – U20) A fórmula geral dos hidrocarbonetos cíclicos alicíclicos insaturados com uma tripla e duas duplas ligações entre átomos de carbono é:
- a) CnH2n-10
- b) CnH2n-8
- c) CnH2n-6
- d) CnHn-3
- e) CnHn-2
B (CSA 2012 – BIC – U22) Uma forma adequada de se obter uma maior quantidade de gasolina a partir de um barril de petróleo é o processo conhecido como:
- a) Hidrólise
- b) Craqueamento
- c) Octanagem
- d) Destilação fracionada
- e) Ustulação
D (CSA 2011 – BIC – S20) (UESB) A gasolina natural é atualmente obtida como uma fração dos componentes do petróleo.
Existem, porém, dois processos de obtenção de gasolina sintética, um deles desde 1917. Nesse ano, na Alemanha, Friedrich Bergius conseguiu a gasolina segundo o processo:
Com base nos dados acima, marque com V as afirmativas verdadeiras e com F, as demais.
( ) Na parte superior da torre de separação saem os componentes mais pesados do petróleo e na parte baixa, os mais leves.
( ) A gasolina, o gasóleo e o resíduo, preparados sinteticamente pelo processo Bergius, são separados por destilação fracionada.
( ) A gasolina é uma substância pura que pertence à função hidrocarboneto.
( ) A gasolina pode também ser obtida a partir de derivados mais pesados do petróleo, através do craqueamento.
( ) Da destilação da gasolina obtém-se o álcool combustível.
Indique a sequência correta, de cima para baixo, de acordo com o seguinte código:
- a) V V V V V
- b) V V F V F
- c) V F V V V
- d) F V F V F
E (CSA 2011 – BIC – S21) A vitamina C apresenta a seguinte fórmula estrutural:
Podemos afirmar que a fórmula molecular da vitamina C é:
- a) C6H7O6
- b) C7H8O6
- c) C5H7O6
- d) C4H8O6
- e) C6H8O6
D (CSA 2011 – BIC – S22) A fórmula geral dos hidrocarbonetos alifáticos que possuem três duplas ligações e uma tripla ligação entre átomos de carbono corresponde a
- a) CnHn-1
- b) CnHn
- c) CnH2n-10
- d) CnH2n-8
- e) CnH2n-6
D (CSA 2011 – BIC – S23) Na molécula representada a seguir encontramos uma cadeia:
- a) aberta, insaturada, normal e homogênea.
- b) alicíclica, saturada, normal e homogênea.
- c) alicíclica, saturada, ramificada e homogênea.
- d) alifática, saturada, normal e homogênea.
- e) aberta, saturada, normal e heterogênea.
B (CSA 2011 – BIC – S24) Substituindo-se um dos hidrogênios do carbono secundário do isopentano por um grupo secbutil, obtém-se o composto chamado de:
- a) 3,3,4-trimetil-hexano.
- b) 2,3,4-trimetil-hexano.
- c) 2,4,4-trimetil-hexano.
- d) 2,3,5-trimetil-hexano.
- e) 2,2,3,4-tetrametilpentano.
B (CSA 2011 – BIC – S25) Assinale, entre os hidrocarbonetos abaixo, aquele que tem o menor ponto de ebulição:
- a) n-pentano
- b) isobutano
- c) n-butano
- d) isopentano
- e) neopentano
D (CSA 2011 – BIC – S26) De acordo com a IUPAC, o nome correto do composto a seguir é:
- a) 6,7-diisopropil-2,4-dimetil-4-secbutilnonano
- b) 3-isobutil-5,6-diisopropil-3-tercbutiloct-2-eno
- c) 3-isobutil-5,6-diisopropil-3-secbutiloct-1-eno
- d) 6-etil-3-isobutil-5-isopropil-7-metil-3-secbutiloct-1-eno
- e)3-etil-4-isopropil-2,8-dimetil-6-secbutil-6-vinilnonano
(CSA 2011 – BIC – U6a) Dê o nome do composto:
D (CSA 2011 – BIC – U19) (UERJ) A nicotina, em mulheres grávidas fumantes, atravessa a barreira da placenta, alcançando o embrião e aumentando-lhe a frequência cardíaca, isto é, o “embrião fuma”.
Observe a estrutura da nicotina, representada abaixo:
Os carbonos secundários presentes nessa estrutura são em número de:
- a) 3
- b) 2
- c) 10
- d) 5
- e) 8
E (CSA 2011 – BIC – U21) Assinale a afirmativa correta relacionada a compostos orgânicos:
- a) O petróleo é uma substância pertencente à função hidrocarbonetos.
- b) Os compostos orgânicos somente podem ser sintetizados pelos organismos vivos; daí, a qualificação de orgânicos.
- c) A qualidade da gasolina pode ser determinada pela propriedade denominada “cracking”.
- d) Os compostos orgânicos são geralmente solúveis em solventes polares.
- e) Na destilação do petróleo, os componentes mais voláteis são obtidos na parte superior da torre de fracionamento.
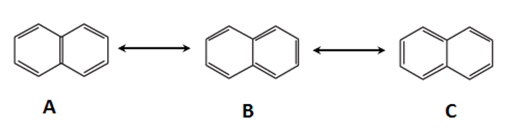
(CSA 2011 – BIC – U22) A estrutura do naftalenos pode ser representada pelas formas canônicas:
Assinale a afirmativa incorreta relativa ao naftaleno:
- a) Todas as ligações entre os átomos de carbono possuem o mesmo comprimento.
- b) As formas A, B e C estão se transformando constantemente uma na outra.
- c) O nome do fenômeno existente no naftaleno é ressonância.
- d) O mesmo fenômeno, no caso do benzeno, cria duas formas canônicas.
- e) A distância entre os carbonos α e β é a mesma que a distância entre os carbonos β e β.
(CSA 2010 – BIC – U1a) Um composto foi erroneamente chamado de 4-etil-2,5,6-trimetil-3-secbutil-5-tercbutil-heptano. Faça a estrutura dessa substância e dê seu nome correto.
B (CSA 2010 – BIC – U16) (UFRGS) Em vazamentos ocorridos em refinarias de petróleo que extravasam para rios, lagos e oceanos, verifica-se a utilização de barreiras de contenção para evitar a dispersão do óleo. Nesses rios, observa-se a formação de sistema heterogêneo onde o petróleo fica na superfície desses recursos hídricos. Sobre o sistema acima descrito é correto afirmar que a água e o petróleo não se misturam porque:
- a) se apresentam em estados físicos diferentes.
- b) apresentam moléculas com polaridades diferentes, e o petróleo fica na superfície devido à sua menor densidade.
- c) apresentam densidades diferentes, e o petróleo fica na superfície devido à sua maior densidade.
- d) a viscosidade da água é maior que a do petróleo.
- e) a elevada volatilidade do petróleo faz com que este fique na superfície.
E (CSA 2010 – BIC – U19) (PUC-RS) Da refinação do petróleo obtém-se a fração que constitui o GLP, cuja composição química predominante consiste de hidrocarbonetos:
- a) ramificados.
- b) alicíclicos.
- c) aromáticos.
- d) insaturados.
- e) saturados.
D (CSA 2010 – BIC – U20) Se o hidrogênio do carbono terciário do isopentano for substituído por um grupo isopropil, o composto obtido será o:
- a) 2,3,4-trimetilpentano.
- b) 2,3,3-trimetilpentano.
- c) 2,2,3-trimetilpentano.
- d) 2,2,3-trimetilbutano.
- e) 2,2,4-trimetilpentano.









