QUÍMICA – LISTA DE EXERCÍCIOS SOBRE FUNÇÕES ORGÂNICAS
CAIU NO ENEM!
E (ENEM 2017) A farinha de linhaça dourada é um produto natural que oferece grandes benefícios para o nosso organismo. A maior parte dos nutrientes da linhaça encontra-se no óleo desta semente, rico em substâncias lipossolúveis com massas moleculares elevadas. A farinha também a presenta altos teores de fibras proteicas insolúveis em água, celulose, vitaminas lipossolúveis e sais minerais hidrossolúveis.
Considere o esquema, que resume um processo de separação dos componentes principais da farinha de linhaça dourada.
O óleo de linhaça será obtido na fração
- a) Destilado 1.
- b) Destilado 2.
- c) Residuo 2.
- d) Residuo 3.
- e) Residuo 4.
A (ENEM 2015) Uma forma de organização de um sistema biológico é a presença de sinais diversos utilizados pelos indivíduos para se comunicarem. No caso das abelhas da espécie Apis mellifera, os sinais utilizados podem ser feromônios. Para saírem e voltarem de suas colmeias, usam um feromônio que indica a trilha percorrida por elas (Composto A). Quando pressentem o perigo, expelem um feromônio de alarme (Composto B), que serve de sinal para um combate coletivo. O que diferencia cada um desses sinais utilizados pelas abelhas são as estruturas e funções orgânicas dos feromônios.
As funções orgânicas que caracterizam os feromônios de trilha e de alarme são, respectivamente,
- a) álcool e éster.
- b) aldeído e cetona.
- c) éter e hidrocarboneto.
- d) enol e ácido carboxílico.
- e) ácido carboxílico e amida.
B (ENEM 2012) A produção mundial de alimentos poderia se reduzir a 40% da atual sem a aplicação de controle sobre as pragas agrícolas. Por outro lado, o uso frequente dos agrotóxicos pode causar contaminação em solos, águas superficiais e subterrâneas, atmosfera e alimentos. Os biopesticidas, tais como a piretrina e coronopilina, têm sido uma alternativa na diminuição dos prejuízos econômicos, sociais e ambientais gerados pelos agrotóxicos.
Identifique as funções orgânicas presentes simultaneamente nas estruturas dos dois biopesticidas apresentados:
- a) Éter e éster.
- b) Cetona e éster.
- c) Álcool e cetona.
- d) Aldeído e cetona.
- e) Éter e ácido carboxílico.
CAIU NO VESTIBULAR!
2019
C (FCMSCSP 2019) O Lexotan® é um ansiolítico que tem como princípio ativoo bromazepam. Esse medicamento é indicado para o tratamento
de distúrbios emocionais: estados de tensão e ansiedade, humor depressivo-ansioso, tensão nervosa, agitação e insônia.
Na estrutura do bromazepam, o grupo I e a função orgânica II correspondem, respectivamente, a
- a) carbonila e amida.
- b) cetona e amida.
- c) carbonila e amina.
- d) cetona e amina.
- e) amida e amina.
E (FCMSCSP 2019) As substâncias que conferem sabor a alimentos e medicamentos são chamadas de flavorizantes, como o flavorizante
de framboesa, utilizado em medicamentos de uso infantil para mascarar o sabor amargo de algumas formulações.
Para a síntese da substância que confere sabor de framboesa, são utilizados os reagentes
- a) ácido butanoico e metanol.
- b) ácido isobutanoico e metanol.
- c) ácido metanoico e sec-butanol.
- d) ácido metanoico e n-butanol.
- e) ácido metanoico e isobutanol.
2018
- Apresenta as funções orgânicas fenol e éster.
- Possui três radicais metil e 1 radical pentil.
- Possui três anéis aromáticos condensados.
- É uma cadeia insaturada e ramificada.
- a) I e II.
- b) II e III.
- c) II e IV.
- d) I e IV.
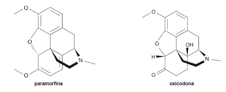
C (FMABC 2018) Considere as seguintes informações:
As flores de papoula secas e transformadas em pó são vendidas aos laboratórios que extraem a paramorfina. Esta, por sua vez, é misturada com acetato de sódio, tolueno e peróxido de hidrogênio e, por meio de reações químicas, se transforma em oxicodona: o princípio ativo analgésico dos opioides.
(Adaptado de: Revista Superinteressante, outubro de 2017)
De acordo com essas informações, conclui-se:
I. A paramorfina e a oxicodona possuem anel aromático.
II. A transformação da paramorfina em oxicodona envolve a formação de uma cetona.
III. A paramorfina e a oxicodona apresentam a função amida.
IV. Somente a paramorfina apresenta a função éter.
Está correto o que consta APENAS em
- a) I e III.
- b) II e IV.
- c) I e II.
- d) II e III.
- e) III e IV.
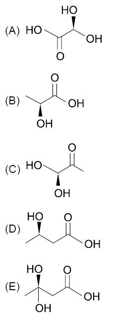
E (MACKENZIE 2018) Associe o composto orgânico à sua fórmula molecular.
A sequência correta de preenchimento dos parênteses, de cima para baixo, é
- a) 3, 6, 5, 1, 2 e 4.
- b) 3, 2, 4, 6, 5 e 1.
- c) 4, 1, 5, 6, 2 e 3.
- d) 5, 6, 4, 1, 3 e 2.
- e) 4, 6, 5, 1, 2 e 3.
B (FCMSCSP 2018) A Agência Nacional de Vigilância Sanitária (Anvisa) divulgou em 16.05.17 a inclusão da Cannabis sativa L., nome científico da maconha, em sua relação de plantas medicinais. O tetraidrocanabinol (THC), um dos principais componentes da Cannabis, é o responsável pelas propriedades medicinais.
(http://agenciabrasil.ebc.com.br. Adaptado.)

As funções orgânicas presentes na estrutura do THC são
- a) éster e fenol.
- b) éter e fenol.
- c) éster e álcool.
- d) fenol e álcool.
- e) éter e álcool.
D (FCMSCSP 2018) A deficiência de vitamina B5 está associada a desordens metabólicas e energéticas em seres humanos.

Em relação à afinidade da vitamina B5 com a água e ao caráter ácido que os grupos circulados na estrutura conferem ao composto, é correto afirmar que a vitamina B5 é
- a) hidrofílica e o grupo 2 apresenta o maior caráter ácido.
- b) hidrofóbica e o grupo 1 apresenta o maior caráter ácido.
- c) hidrofílica e o grupo 1 apresenta o maior caráter ácido.
- d) hidrofílica e o grupo 3 apresenta o maior caráter ácido.
- e) hidrofóbica e o grupo 3 apresenta o maior caráter ácido.
A (FCMSCSP 2018) A losartana potássica (massa molar = 461 g ⋅ mol–1) é um medicamento indicado para o tratamento da hipertensão e para o tratamento da insuficiência cardíaca. Nas figuras estão representadas a embalagem do medicamento genérico losartana potássica e sua estrutura química.
Os medicamentos genéricos podem ser identificados pela tarja amarela na qual se lê “Medicamento Genérico”. Além disso, deve constar na embalagem a frase “Medicamento Genérico Lei no 9.787, de 1999”. Como os genéricos não têm marca, o que se lê na embalagem é o nome e a quantidade do princípio ativo do medicamento.
(http://portal.anvisa.gov.br. Adaptado.)
Na estrutura da losartana potássica, a função orgânica que contém o átomo de nitrogênio e a função orgânica que contém o grupo hidroxila são, respectivamente,
- a) amina e álcool.
- b) amida e álcool.
- c) amina e aldeído.
- d) amina e ácido carboxílico.
- e) amida e ácido carboxílico.
C (UFPR 2018) O aroma das flores é uma combinação de diversas substâncias orgânicas voláteis. Para cada flor, uma combinação
específica de substâncias voláteis determina o aroma característico. A seguir, estão apresentadas algumas substâncias orgânicas presentes no aroma de algumas flores comuns.

A função cetona está presente nas substâncias que compõem o aroma de:
- a) cravos apenas.
- b) jacintos e lírios.
- c) violetas e rosas.
- d) rosas e lírios.
- e) cravos, jacintos, lírios, violetas e rosas.
2017
C (UFRGS 2017) Um trabalho publicado na Nature Medicine, em 2016, mostrou que Withaferin A, um componente do extrato da planta Withania somnifera (cereja de inverno), reduziu o peso, entre 20 a 25% em ratos obesos alimentados em dieta de alto teor de gorduras.
Entre as funções orgânicas presentes na Withaferin A, estão
- a) ácido carboxílico e cetona.
- b) aldeído e éter.
- c) cetona e hidroxila alcoólica.
- d) cetona e éster.
- e) éster e hidroxila fenólica.
C (UEL 2017) Estimulantes do grupo da anfetamina (ATS, amphetamine-type stimulants) são consumidos em todo o mundo como droga recreativa. Dessa classe, o MDMA, conhecido como ecstasy, é o segundo alucinógeno mais usado no Brasil. Em alguns casos, outras substâncias, como cetamina, mefedrona, mCPP, são comercializadas como ecstasy. Assim, um dos desafios da perícia policial é não apenas confirmar a presença de MDMA nas amostras apreendidas, mas também identificar sua composição, que pode incluir novas drogas ainda não classificadas.
As fórmulas estruturais das drogas citadas são apresentadas a seguir.
Sobre as funções orgânicas nessas moléculas, assinale a alternativa correta.
- a) Em todas as moléculas, existe a função amida.
- b) Na molécula MDMA, existe a função éster.
- c) Na molécula cetamina, existe a função cetona.
- d) Na molécula mefedrona, existe a função aldeído.
- e) Na molécula mCPP, existe a função amida ligada ao grupo benzílico.
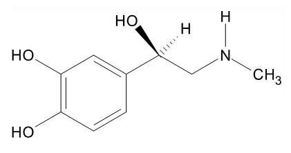
E (UFJF-PISM 2 2017) O gengibre é uma planta herbácea originária da Ilha de Java, da Índia e da China, e é utilizado mundialmente na culinária para o preparo de pratos doces e salgados. Seu caule subterrâneo possui sabor picante, que se deve ao gingerol, cuja fórmula estrutural é apresentada a seguir:
Quais funções orgânicas estão presentes na estrutura do gingerol?
- a) Éster, aldeído, álcool, ácido carboxílico.
- b) Éster, cetona, fenol, ácido carboxílico.
- c) Éter, aldeído, fenol, ácido carboxílico.
- d) Éter, cetona, álcool, aldeído.
- e) Éter, cetona, fenol, álcool.
B (IFSUL 2017) Especiarias, como anis-estrelado, canela e cravo-da-índia, são deliciosas, sendo comumente utilizadas na gastronomia, devido aos seus deliciosos aromas. Também são utilizadas na fabricação de doces, como chicletes, balas e bolachas, na perfumaria e na aromatização de ambientes. Abaixo, temos as fórmulas estruturais de três compostos orgânicos, presentes no aroma dessas especiarias.
Esses compostos apresentam em suas fórmulas estruturais os grupos funcionais
- a) álcool, cetona e fenol.
- b) aldeído, álcool, éter e fenol.
- c) aldeído, álcool, cetona e éter.
- d) álcool, ácido carboxílico, éster e fenol.
D (UNISC 2017) A vanilina (fórmula a seguir),
é o composto principal do aroma essencial da baunilha, largamente empregada como aromatizante em alimentos. Em sua estrutura química, observa-se a presença dos grupos funcionais das funções químicas
- a) cetona, éster e fenol.
- b) cetona, álcool e fenol.
- c) fenol, cetona, éter.
- d) fenol, aldeído e éter.
- e) álcool, aldeído e éter.
C (ESPCEX 2017) Considere as seguintes descrições de um composto orgânico:
- o composto apresenta 7 (sete) átomos de carbono em sua cadeia carbônica, classificada como aberta, ramificada e insaturada;
- a estrutura da cadeia carbônica apresenta apenas 1 carbono com hibridização tipo sp apenas 2 carbonos com hibridização tipo sp2 e os demais carbonos com hibridização sp3
- o composto é um álcool terciário.
Considerando as características descritas acima e a nomenclatura de compostos orgânicos regulada pela União Internacional de Química Pura e Aplicada (IUPAC), uma possível nomenclatura para o composto que atenda essas descrições é
A (UFPR 2017) Poucos meses antes das Olimpíadas Rio 2016, veio a público um escândalo de doping envolvendo atletas da Rússia. Entre as substâncias anabolizantes supostamente utilizadas pelos atletas envolvidos estão o turinabol e a mestaterona. Esses dois compostos são, estruturalmente, muito similares à testosterona e utilizados para aumento da massa muscular e melhora do desempenho dos atletas.
Quais funções orgânicas oxigenadas estão presentes em todos os compostos citados?
- a) Cetona e álcool.
- b) Fenol e éter.
- c) Amida e epóxido.
- d) Anidrido e aldeído.
- e) Ácido carboxílico e enol.
B (FATEC 2017) Leia o texto.
Feromônios são substâncias químicas secretadas pelos indivíduos que permitem a comunicação com outros seres vivos. Nos seres humanos, há evidências de que algumas substâncias, como o androstenol e a copulina, atuam como feromônios.
<http://tinyurl.com/hqfrxbb> Acesso em: 17.09.2016. Adaptado.
As fórmulas estruturais do androstenol e da copulina encontram-se representadas
As funções orgânicas oxigenadas encontradas no androstenol e na copulina são, respectivamente,
- a) fenol e ácido carboxílico.
- b) álcool e ácido carboxílico.
- c) álcool e aldeído.
- d) álcool e cetona.
- e) fenol e éster.
B (IFBA 2017) O ano de 2016 foi declarado Ano Internacional das Leguminosas (AIL) pela 68ª Assembleia-Geral das Nações Unidas, tendo a Organização para a Alimentação e Agricultura das Nações Unidas (FAO) sido nomeado para facilitar a execução das atividades, em colaboração com os governos. Os agrotóxicos fazem parte do cultivo de muitos alimentos (dentre eles as leguminosas) de muitos países com o objetivo de eliminar pragas que infestam as plantações. Porém, quando esses compostos são usados em excesso podem causar sérios problemas de intoxicação no organismo humano.
Na figura são apresentadas as estruturas químicas da Piretrina e da Coronopilina (agrotóxicos muito utilizados no combate a pragas nas plantações), identifique as funções orgânicas presentes simultaneamente nas estruturas apresentadas:
- a) Éter e Éster
- b) Cetona e Éster
- c) Aldeído e Cetona
- d) Éter e Ácido Carboxílico
- e) Álcool e Cetona
E (FMP 2017) Árvore da morte
Esse é um dos seus nomes conhecidos, usado por quem convive com ela. Seus frutos, muitos parecidos com maçãs, são cheirosos, doces e saborosos. Também é conhecida como Mancenilheira da Areia – mas “árvore da morte” é o apelido que melhor escreve a realidade.
Sua seiva leitosa contém forbol, um componente químico perigoso e só de encostar-se à árvore, a pele pode ficar horrivelmente queimada. Refugiar-se debaixo dos seus galhos durante uma chuva tropical também pode ser desastroso, porque até a seiva diluída pode causar uma erupção cutânea grave.
Disponível em: <http://g1.globo.com/ciencia-e-saude/noticia/2016/06/a-arvore-da-morte-a-mais-perigosa-do-mundo-segundo-o-livro-dos-recordes.html>. Adaptado.
Acesso em: 18 jul. 2016.
Considere a fórmula estrutural do forbol representada abaixo.
Uma das funções orgânicas e o nome de um dos grupamentos funcionais presentes em sua molécula são, respectivamente,
- a) fenol e carbonila
- b) cetona e carboxila
- c) aldeído e hidroxila
- d) álcool e carboxila
- e) álcool e carbonila
C (UERJ 2017) Em determinadas condições, a toxina presente na carambola, chamada caramboxina, é convertida em uma molécula X sem atividade biológica, conforme representado abaixo.
Nesse caso, dois grupamentos químicos presentes na caramboxina reagem formando um novo grupamento.
A função orgânica desse novo grupamento químico é denominada:
- a) éster
- b) fenol
- c) amida
- d) cetona
D (UFPR 2017) Em momentos de estresse, as glândulas suprarrenais secretam o hormônio adrenalina, que, a partir da aceleração dos batimentos cardíacos, do aumento da pressão arterial e da contração ou relaxamento de músculos, prepara o organismo para a fuga ou para a defesa.

Dados – M (g mol-1): H = 1; C = 12; N = 14; O = 16.
Qual é o valor da massa molar (em g mol-1) desse composto?
- a) 169.
- b) 174.
- c) 177.
- d) 183.
- e) 187.
B (FGV SP 2017) Uma inovadora radioterapia para tumores de fígado tem sido empregada nos últimos anos por meio da ingestão, pelo paciente, de microesferas do ácido 2-hidroxipropanoico, contendo o radioisótopo hólmio-166. Este radioisótopo é obtido pelo isótopo natural e estável hólmio-165 irradiado em um reator nuclear.
Com a ingestão das microesferas, o paciente recebe radiação gama e beta, que são emitidas pelo radioisótopo 166Ho, e o crescimento das células tumorais é desacelerado.
(COSTA, R.F. Desenvolvimento de métodos e preparação de microesferas de polímero e resinas marcadas com Hólmio-166. Dissertação de mestrado. Disponível em: http://www.teses.usp.br/. Adaptado)
O ácido orgânico empregado na esfera com o radioisótopo hólmio-166 apresenta a fórmula estrutural:
2016
E (IFPE 2016) Extrair um dente é um procedimento que não requer anestesia geral, sendo utilizados, nesses casos, os anestésicos locais, substâncias que insensibilizam o tato de uma região e, dessa forma, eliminam a sensação de dor. Você já pode ter entrado em contato com eles no dentista ou se o médico lhe receitou pomada para aliviar a dor de queimaduras.
Exemplos de anestésicos locais são o eugenol e a benzocaína, cujas fórmulas estruturais aparecem a seguir.
Sobre as estruturas acima, é CORRETO afirmar que
- a) o eugenol representa um hidrocarboneto insaturado.
- b) a benzocaína possui uma estrutura saturada e homogênea.
- c) as duas estruturas representam hidrocarbonetos insaturados e heterogêneos.
- d) se verifica a presença de um grupo funcional ácido carboxílico no eugenol.
- e) a benzocaína possui um grupo funcional amina e uma estrutura insaturada.
C (UFRGS 2016) Reproduzir artificialmente todo o percurso químico de produção da morfina que acontece nas papoulas é um grande desafio.
Em 2015, através da modificação genética do fermento, cientistas conseguiram transformar açúcar em reticulina, cuja transformação em morfina, usando fermentos modificados, já era conhecida.
Considere as afirmações abaixo, sobre a reticulina e a morfina.
- Ambas apresentam as funções éter e hidroxila fenólica.
- Ambas apresentam uma amina terciária.
- Ambas apresentam dois anéis aromáticos.
Quais estão corretas?
- a) Apenas I.
- b) Apenas III.
- c) Apenas I e II.
- d) Apenas II e III.
- e) I, II e III.
D (UFPA 2016) Na adrenalina, fórmula estrutural dada abaixo,
as funções orgânicas presentes são
- a) álcool e éter.
- b) éster e fenol.
- c) fenol e cetona.
- d) álcool, fenol e amina.
- e) fenol, amida e álcool.
D (IFSUL 2016) A água utilizada no abastecimento da população de uma cidade pode sofrer alteração no sabor e no odor por apresentar a substância 3-cis-hexenol produzida por algas, em concentrações muito baixas.
A respeito do composto acima citado é correto afirmar
- a) pertence à função enol.
- b) possui o grupo funcional carbonila.
- c) apresenta apenas três carbonos primários.
- d) apresenta cadeias insaturada e homogênea.
C (PUC MG 2016) A Prednisona é um anti-inflamatório indicado para o tratamento de doenças endócrinas, respiratórias, dentre outras. Sua estrutura está representada abaixo.
É uma função orgânica presente na estrutura da Prednisona:
- a) Éster
- b) Aldeído
- c) Cetona
- d) Fenol
B (PUC CAMP 2016) Na revelação de uma fotografia analógica, ou seja, de película, uma das etapas consiste em utilizar uma solução reveladora, cuja composição contém hidroquinona.
A função orgânica que caracteriza esse composto é
- a) álcool.
- b) fenol
- c) ácido carboxílico.
- d) benzeno
- e) cetona
E (IFBA 2016) Observe as substâncias e as funções orgânicas a seguir:
- Ácido carboxílico
- Aldeído
- Álcool
- Amina
- Éter
A relação correta entre elas está representada na sequência
- a) I-a; II-b; III-c; IV-d; V-e
- b) I-a; II-b; III-d; IV-c; V-e
- c) I-b; II-c; III-a; IV-e; V-d
- d) I-c; II-d; III-e; IV-a; V-b
- e) I-e; II-a; III-c; IV-b; V-d
C (PUC RJ 2016) A seguir está representada a estrutura de uma substância orgânica de origem natural.
Nessa substância estão presentes as funções orgânicas
- a) álcool e éter.
- b) álcool e cetona.
- c) éter e cetona.
- d) éster e aldeído.
- e) éster e ácido carboxílico.
B (UFJF – PISM 2 2016) O saquinavir é um fármaco administrado a pessoas que possuem SIDA (síndrome de imunodeficiência adquirida – AIDS) e é capaz de inibir a HIV-protease do vírus evitando sua maturação.
As funções orgânicas destacadas em a, b, c e d representam, respectivamente:
- a) Amida, álcool, anel aromático e amina.
- b) Amina, álcool, anel aromático e amida.
- c) Amina, fenol, alcano e amida.
- d) Amina, fenol, anel aromático e amida.
- e) Amida, álcool, alcano e anel amina.
C (ESPCEX 2016) O composto denominado comercialmente por Aspartame é comumente utilizado como adoçante artificial, na sua versão enantiomérica denominada S,S-aspartamo. A nomenclatura oficial do Aspartame especificada pela União Internacional de Química Pura e Aplicada (IUPAC) é ácido 3-amino-4-[(benzil-2-metóxi-2-oxoetil)amino]-4-oxabutanoico e sua estrutura química de função mista pode ser vista abaixo.
A fórmula molecular e as funções orgânicas que podem ser reconhecidas na estrutura do Aspartame são:
- a) C14H16N2O4; álcool; ácido carboxílico; amida; éter.
- b) C12H18N2O5; amina; álcool; cetona; éster.
- c) C14H18N2O5; amina; ácido carboxílico; amida; éster.
- d) C13H18N2O4; amida; ácido carboxílico; aldeído; éter.
- e) C14H16N3O5; nitrocomposto; aldeído; amida; cetona.
2014
A (FUVEST 2014) A tabela a seguir contém dados sobre alguns ácidos carboxílicos.
- a) A 20 ºC, 1 mL de ácido etanoico tem massa maior do que 1 mL de ácido n-pentanoico.
- b) O ácido propanoico (H3CCH2CO2H) deve ter ponto de ebulição (a 1 atm) acima de 200 ºC.
- c) O acréscimo de um grupo –CH2– à cadeia carbônica provoca o aumento da densidade dos ácidos carboxílicos.
- d) O aumento da massa molar dos ácidos carboxílicos facilita a passagem de suas moléculas do estado líquido para o gasoso.
- e) O ácido n-butanoico deve ter pressão de vapor menor que o ácido n-hexanoico, a uma mesma temperatura.
E (FUVEST 2014) Estudos recentes parecem indicar que o formato do olho humano e a visão são influenciados pela quantidade da substância X, sintetizada pelo organismo. A produção dessa substância é favorecida pela luz solar, e crianças que fazem poucas atividades ao ar livre tendem a desenvolver dificuldade para enxergar objetos distantes. Essa disfunção ocular é comumente chamada de miopia. Considere a fórmula estrutural da substância X e os diferentes formatos de olho:
- a) o aminoácido; III.
- b) a amina; II.
- c) o aminoácido; I.
- d) o fenol; I.
- e) a amina; III.
2013
A (FUVEST 2013) Um funcionário de uma empresa ficou encarregado de remover resíduos de diferentes polímeros que estavam aderidos a diversas peças. Após alguma investigação, o funcionário classificou as peças em três grupos, conforme o polímero aderido a cada uma. As fórmulas estruturais de cada um desses polímeros são as seguintes:
Para remover os resíduos de polímero das peças, o funcionário dispunha de apenas dois solventes: água e n-hexano. O funcionário analisou as fórmulas estruturais dos três polímeros e procurou fazer a correspondência entre cada polímero e o solvente mais adequado para solubilizá-lo. A alternativa que representa corretamente essa correspondência é:
2008
C (PUC MG 2008) O estimulante cardíaco e respiratório metamivam possui a fórmula estrutural a seguir.

Considerando-se esse composto, é CORRETO afirmar que ele apresenta os seguintes grupos funcionais:
- a) amina, cetona, fenol e éter.
- b) amida, cetona, álcool e éster.
- c) amida, fenol e éter.
- d) amina, éster e álcool.
2010
D (UFJF – PISM 2 2010) O alho é utilizado desde a antiguidade como remédio devido às suas propriedades antimicrobianas e aos seus efeitos benéficos para o coração. Além disso, o alho possui um ótimo valor nutricional, contendo vitaminas, aminoácidos, sais minerais e compostos biologicamente ativos, como a alicina. Alguns dos constituintes do alho são mostrados a seguir:
Com relação às estruturas dessas moléculas, assinale a alternativa INCORRETA.
- a) A molécula do Alin possui as funções amina e ácido carboxílico.
- b) Existem 4 (quatro) átomos de carbono sp2 na molécula de Alicina.
- c) As quatro moléculas mostradas acima possuem em comum a função alceno.
- d) O Alil sulfeto apresenta 2 (dois) átomos de carbonos terciários.
- e) A fórmula molecular do Dialil dissulfeto é C6H10S2.
EXERCÍCIOS EXTRAS
C (CSA 3 – 2013 – BIA – S16) (PUCMINAS – adaptada) O estimulante cardíaco e respiratório metamivam possui a fórmula estrutural a seguir:
Considerando-se esse composto, é correto afirmar que ele apresenta os seguintes grupos funcionais:
- a) amina, cetona, fenol e éter.
- b) amida, cetona, álcool e éster.
- c) amida, fenol e éter.
- d) amina, éster e álcool.
- e) aminoácido, álcool e éster.
(CSA 2011 – BIC – U1) Se unirmos um grupo tercbutil com um grupo secbutil por suas valências livres, será obtido um hidrocarboneto A.
- a) Faça a estrutura e dê o nome do composto obtido se um hidrogênio ligado ao carbono secundário do hidrocarboneto A for substituído por uma carbonila.
- b) Faça a estrutura e dê o nome do composto obtido se um hidrogênio ligado ao carbono terciário do hidrocarboneto A for substituído por uma hidroxila.
(CSA 2011 – BIC – U2a) Equacione as reações entre os compostos abaixo, indicando os nomes dos compostos orgânicos obtidos:
ácido o-metilbenzoico + hidróxido de potássio.
ácido propanoico + hidróxido de cálcio.
(CSA 2011 – BIC – U2b) Dê os nomes usuais dos compostos:
etino → _____________________
o-metilfenol → _____________________
dimetilpropano → _____________________
etanal → _____________________
(CSA 2011 – BIC – U4) Faça as estruturas dos compostos:
| benzofenona
|
| p-dimetoxibenzeno
|
| 2-etilfenol
|
| ácido metilpentinodióico
|
(CSA 2011 – BIC – U6B) Faça a estrutura e dê o nome da cetona mais simples que possui um carbono terciário.
A (CSA 2011 – BIC – U18) (PUC-RS) Durante as mudanças de estado ocorrem somente afastamentos e aproximações entre as moléculas, ou seja, as forças intermoleculares são rompidas ou formadas, influenciando no estado físico da substância. Relacione as substâncias da Coluna A aos respectivos pontos de ebulição, em °C, da Coluna B, numerando os parênteses.
| Coluna A
1. metanol 2. etanol 3. etanal 4. etano 5. propano-1-ol |
Coluna B
( ) -88,4 ( ) 20,0 ( ) 64,0 ( ) 78,5 ( ) 97,0 |
A numeração correta dos parênteses, de cima para baixo, é:
- a) 4 – 3 – 1 – 2 – 5
- b) 5 – 1 – 4 – 3 – 2
- c) 3 – 5 – 1 – 2 – 4
- d) 4 – 3 – 2 – 1 – 5
- e) 5 – 4 – 3 – 2 – 1
A (CSA 2011 – BIC – U20) (UFSM) Nas espiriteiras do exército, é utilizado álcool estearílico (18 carbonos) que é sólido mas se funde rapidamente, quando aquecido, servindo como combustível para a chama. Diante dessa situação, analise as afirmativas:
- O etanol, por ter cadeia menor, é completamente miscível com a água.
- À medida que aumenta a cadeia de carbonos dos álcoois, eles aproximam-se do comportamento dos hidrocarbonetos.
- À medida que aumenta o número de carbonos da cadeia, diminui a solubilidade dos álcoois em água.
- Devido às pontes de hidrogênio, o ponto de ebulição dos álcoois é maior que o dos alcanos de peso molecular semelhante.
Estão corretas:
- a) I, II, III e IV.
- b) III e IV apenas.
- c) I, II e III apenas.
- d) II, III e IV apenas.
- e) I e II apenas.
(CSA 2010 – BIC – U5) Faça a estrutura dos compostos:
a) 3,4-dimetil-2-naftol
b) 1,5-dietilciclo-hexeno
c) 2-o-tolilnaftaleno
d) éter dibenzílico
(CSA 2010 – BIC – U6b) Faça a estrutura do álcool terciário mais simples que possui um carbono secundário e indique o número de oxidação de seu carbono terciário.
D (CSA 2010 – BIC – U22) Assinale a relação correta entre os pontos de ebulição:
- a) isobutano > butano.
- b) etanol > etanodiol.
- c) o-cresol > metoxibenzeno.
- d) etanol > éter dimetílico.
- e) etanodiol > glicerol.


















