CAIU NO ENEM!
E (ENEM 2016) Os feromônios são substâncias utilizadas na comunicação entre indivíduos de uma espécie. O primeiro feromônio isolado de um inseto foi o bombicol, substância produzida pela mariposa do bicho-da-seda.
O uso de feromônios em ações de controle de insetos-praga está de acordo com o modelo preconizado para a agricultura do futuro. São agentes altamente específicos e seus compostos químicos podem ser empregados em determinados cultivos, conforme ilustrado no quadro.
Considerando essas estruturas químicas, o tipo de estereoisomeria apresentada pelo bombicol é também apresentada pelo feromônio utilizado no controle do inseto.
- a) Sitophilus spp.
- b) Migdolus fryanus.
- c) Anthonomus rubi.
- d) Grapholita molesta.
- e) Scrobipalpuloides absoluta.
E (ENEM 2016) A busca por substâncias capazes de minimizar a ação do inseto que ataca as plantações de tomate no Brasil levou à síntese e ao emprego de um feromônio sexual com a seguinte fórmula estrutural:
Uma indústria agroquímica necessita sintetizar um derivado com maior eficácia. Para tanto, o potencial substituto deverá preservar as seguintes propriedades estruturais do feromônio sexual: função orgânica, cadeia normal e isomeria geométrica original.
A fórmula estrutural do substituto adequado ao feromônio sexual obtido industrialmente é:
B (ENEM 2014) O estudo de compostos orgânicos permite aos analistas definir propriedades físicas e químicas responsáveis pelas características de cada substância descoberta. Um laboratório investiga moléculas quirais cuja cadeia carbônica seja insaturada, heterogênea e ramificada.
A fórmula que se enquadra nas características da molécula investigada é
A (ENEM 2013) O citral, substância de odor fortemente cítrico, é obtido a partir de algumas plantas como o capim-limão, cujo óleo essencial possui aproximadamente 80%, em massa, da substância. Uma de suas aplicações é na fabricação de produtos que atraem abelhas, especialmente do gênero Apis, pois seu cheiro é semelhante a um dos feromônios liberados por elas. Sua fórmula molecular é C10H16O, com uma cadeia alifática de oito carbonos, duas insaturações, nos carbonos 2 e 6; e dois grupos substituintes metila, nos carbonos 3 e 7. O citral possui dois isômeros geométricos, sendo o trans o que mais contribui para o forte odor.
Para que se consiga atrair um maior número de abelhas para uma determinada região, a molécula que deve estar presente em alta concentração no produto a ser utilizado é:
E (ENEM PPL 2012) Motores a combustão interna apresentam melhor rendimento quando podem ser adotadas taxas de compressão mais altas nas suas câmaras de combustão, sem que o combustível sofra ignição espontânea. Combustíveis com maiores índices de resistência à compressão, ou seja, maior octanagem, estão associados a compostos com cadeias carbônicas menores, com maior número de ramificações e com ramificações mais afastadas das extremidades da cadeia. Adota-se como valor padrão de 100% de octanagem o isômero do octano mais resistente à compressão.
Com base nas informações do texto, qual dentre os isômeros seguintes seria esse composto?
- a) n-octano.
- b) 2,4-dimetil-hexano.
- c) 2-metil-heptano.
- d) 2,5-dimetil-hexano.
- e) 2,2,4-trimetilpentano.
D (ENEM cancelado 2009) Sabe-se que a ingestão frequente de lipídios contendo ácidos graxos (ácidos monocarboxílicos alifáticos) de cadeia carbônica insaturada com isomeria trans apresenta maior risco para o desenvolvimento de doenças cardiovasculares, sendo que isso não se observa com os isômeros cis.
Dentre os critérios seguintes, o mais adequado à escolha de um produto alimentar saudável contendo lipídios é:
- a) Se contiver bases nitrogenadas, estas devem estar ligadas a uma ribose e a um aminoácido.
- b) Se contiver sais, estes devem ser de bromo ou de flúor, pois são essas as formas mais frequentes nos lipídios cis.
- c) Se estiverem presentes compostos com ligações peptídicas entre os aminoácidos, os grupos amino devem ser esterificados.
- d) Se contiver lipídios com duplas ligações entre os carbonos, os ligantes de maior massa devem estar do mesmo lado da cadeia.
- e) Se contiver polihidroxialdeídos ligados covalentemente entre si, por ligações simples, esses compostos devem apresentar estrutura linear.
CAIU NO VESTIBULAR!
2019
B (FCMSCSP 2019) O fluxograma representa a obtenção de dois compostos orgânicos por meio da cloração do acetileno (C2H2), em condições
experimentais adequadas. Os produtos dessa reação são usados como intermediários químicos na síntese de compostos e solventes clorados.
Os compostos 1 e 2 são isômeros ____________. Dentre esses dois compostos, aquele que apresenta maior temperatura de ebulição é o _____________ e aquele apresenta menor solubilidade em água é o _____________.
Assinale a alternativa cujos termos devem preencher, respectivamente, as lacunas do texto.
- a) ópticos – composto 2 – composto 2
- b) geométricos – composto 2 – composto 1
- c) geométricos – composto 1 – composto 1
- d) ópticos – composto 2 – composto 1
- e) geométricos – composto 1 – composto 2
2018
B (UNESP 2018) A fórmula representa a estrutura da butanona, também conhecida como metiletilcetona (MEK), importante solvente industrial usado em tintas e resinas. Um isômero da butanona é o
- a) propan-2-ol.
- b) butanal.
- c) metoxipropano.
- d) butan-2-ol.
- e) ácido butanoico.
B (UNESP 2018) Examine as estruturas do ortocresol e do álcool benzílico.

O ortocresol e o álcool benzílico
- a) apresentam a mesma função orgânica.
- b) são isômeros.
- c) são compostos alifáticos.
- d) apresentam heteroátomo.
- e) apresentam carbono quiral.
B (MACKENZIE 2018) Dados os seguintes compostos orgânicos:
- A e B são isômeros funcionais e B possui ponto de ebulição maior do que A.
- D não possui isômeros funcionais e apresenta pressão de vapor maior do que B.
- E e F são isômeros geométricos, onde E é polar e F é apolar.
- A e C são isômeros constitucionais, sendo C mais volátil do que A.
- D possui um isômero de cadeia e é líquido à temperatura ambiente devido às suas ligações de hidrogênio intermoleculares.
- a) I, II e IV.
- b) II, III e IV.
- c) I e V.
- d) II, III e V.
- e) IV e V.
- a) ambas possuem carbono quiral, mas somente a Tyr possui grupo funcional álcool.
- b) a hidroxilação da Phe ocorre na posição meta do anel aromático.
- c) a Tyr forma maior número de ligações de hidrogênio intermolecular do que a Phe.
- d) a Tyr possui 4 isômeros ópticos e a Phe apresenta isômeros geométricos.
- e) ambas possuem 7 átomos de carbono com geometria linear.
B (PUC PR 2018) Um dos medicamentos mais utilizados no Brasil para dores e febre, a dipirona monossódica é proibida de ser comercializada nos Estados Unidos e Europa. Sua proibição está relacionada ao fato de que o uso constante dessa substância pode levar a granulocitopenia que é a acentuada redução de determinados glóbulos brancos. A estrutura molecular da dipirona monossódica é apresentada a seguir.
Com relação à estrutura apresentada, percebe-se que
- a) há dois anéis aromáticos em sua composição estrutural.
- b) é uma substância que não pode se apresentar como um par de isômeros ópticos.
- c) por possuir sódio em sua composição, possivelmente seja uma substância de baixa solubilidade.
- d) os três átomos de nitrogênios presentes referenciam a classe funcional das amidas.
- e) há mais carbonos híbridos sp3 do que híbridos sp2.
E (UFRGS 2018) Assinale a alterantiva que preenche corretamente as lacunas do enunciado abaixo, na ordem em que aparecem.
O cis-1,2-dicloroeteno é uma molécula …….. , e o seu isômero trans apresenta …….. ponto de ebulição por ser uma molécula …….. .
- a) apolar – maior – polar
- b) apolar – menor – polar
- c) polar – mesmo – polar
- d) polar – maior – apolar
- e) polar – menor – apolar
E (UFP 2018) A seguir, está representada a fórmula estrutural do aspartame, substância utilizada como adoçante.
Sobre essa fórmula e sua estrutura química, são feitas as seguintes afirmações:
I. Apresenta um anel aromático.
II. Apresenta dois carbonos assimétricos.
III. Apresenta as funções éter e amina, entre outras.
IV. Apresenta nove carbonos com hibridização sp2.
Está correto o que se afirma em
- a) I e II, apenas.
- b) III e IV, apenas.
- c) I, II, III e IV.
- d) II e III, apenas.
- e) I, II e IV, apenas.
D (UPF 2018) A seguir, estão representadas, por meio da projeção de Fischer, a glicose, a frutose e a galactose.
Sobre essas substâncias, analise as seguintes afirmações:
I. Todas fazem parte da classe dos carboidratos.
II. Todas desviam o plano da luz polarizada no sentido horário.
III. Todas são isômeros entre si.
IV. A glicose e a galactose são enantiômeros entre si.
Está correto apenas o que se afirma em
- a) II e IV.
- b) I, III e IV.
- c) I e IV.
- d) I e III.
- e) II e III.
D (UDESC 2018) A descoberta da quiralidade em moléculas ocorreu em 1848, quando Louis Pasteur, após terminar seu doutorado na Escola Normal Superior em Paris, observou que dois tipos de
cristais de ácido tartárico eram depositados em barris de vinho, durante o processo de fermentação. Munido de muita paciência, Pasteur separou os dois tipos de cristais formados e observou que um cristal era imagem especular não superponíveis um do outro, ou seja, eram enantiômeros.
Com base na estereoquímica das moléculas, analise as proposições.
I. Isômeros são compostos diferentes que possuem a mesma fórmula molecular.
II. Enantiômeros são compostos aquirais.
III. As moléculas que não são superponíveis com sua imagem especular são chamadas quirais.
IV. Isômeros ópticos não desviam o plano de luz polarizada.
V. Os compostos etanol e éter dimetílico são isômeros.
Assinale a alternativa correta.
- a) Somente as afirmativas II e III são verdadeiras.
- b) Somente as afirmativas I e V são verdadeiras.
- c) Somente as afirmativas IV e V são verdadeiras.
- d) Somente as afirmativas I, III e V são verdadeiras.
- e) Somente as afirmativas II, III e IV são verdadeiras.
2017
D (MACKENZIE 2017) A isomeria é um fenômeno que ocorre em diversos compostos orgânicos. Assim, assinale a alternativa, que possui uma molécula orgânica capaz de apresentar simultaneamente isomeria geométrica e óptica.
D (MACKENZIE 2017) A gota é um tipo de artrite causada pela presença de níveis mais altos do que o normal de ácido úrico na corrente sanguínea. Isso pode ocorrer quando o corpo produz ácido úrico em excesso ou tem dificuldade de eliminá-lo pelos rins. Quando essa substância se acumula no líquido ao redor das articulações, são formados os cristais de ácido úrico, que causam inchaço e inflamação nas articulações.
De acordo com a fórmula estrutural do ácido úrico, anteriormente representada, são feitas as seguintes afirmações:
- possui somente átomos de carbono com geometria trigonal plana.
- possui os grupos funcionais cetona e amina.
- apresenta isomeria geométrica cis/trans.
- possui 10 pares de elétrons não compartilhados.
Estão corretas somente as afirmações
- a) I e II.
- b) I e III.
- c) II e III.
- d) I e IV.
- e) III e IV.
B (MACKENZIE 2017) Os alcanos, sob condições adequadas de reação, reagem com o gás cloro (halogenação) formando uma mistura de isômeros de posição monoclorados. Assim, o número de isômeros de posição, com carbono quiral, obtidos a partir da monocloração do 2,5-dimetilexano, em condições adequadas é
- a) 1
- b) 2
- c) 3
- d) 4
- e) 5
B (UEG 2017) Hidrocarbonetos contendo apenas uma ligação dupla entre átomos de carbono são classificados como alcenos e podem apresentar isomeria e diferentes propriedades físicas. A seguir, são fornecidas as estruturas de algumas dessas moléculas.
A análise das estruturas químicas apresentadas indica que
- a) A, B e C apresentam carbono com hidridização sp.
- b) B tem maior calor de combustão do que C.
- c) A e C representa a mesma molécula.
- d) A e B são isômeros constitucionais.
- e) B é a imagem especular de C.
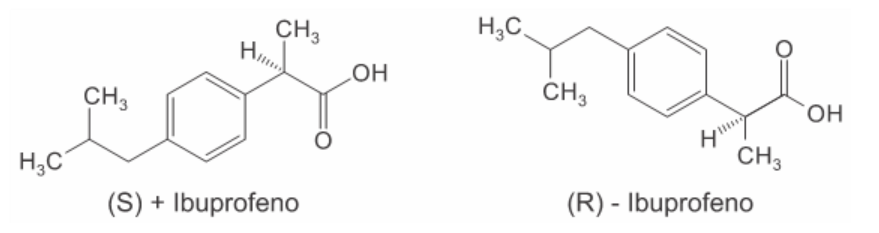
B (UEL 2017) Leia a charge a seguir.
A charge evidencia uma situação cotidiana relacionada à compra de medicamentos, na qual ocorrem dúvidas por parte da consumidora, tendo em vista os diferentes medicamentos comercializados: os de marca, os similares e os genéricos. Essa dúvida, no entanto, não deveria existir, pois os diferentes tipos de medicamentos devem apresentar o mesmo efeito terapêutico. O que não se sabe, por parte da população em geral, é que muitos medicamentos são vendidos na forma de dois isômeros ópticos em quantidades iguais, mas apenas um deles possui atividade terapêutica. Por exemplo, o ibuprofeno é um anti-inflamatório que é comercializado na sua forma (S) + (ativa) e (R) – (inativa), conforme mostram as figuras a seguir.
Com base nessas informações, considere as afirmativas a seguir.
- O ibuprofeno é comercializado na forma de racemato.
- Os dois isômeros são diasteroisômeros.
- Os dois isômeros apresentam isomeria de posição.
- Os dois isômeros possuem pontos de fusão iguais.
Assinale a alternativa correta.
- a) Somente as afirmativas I e II são corretas.
- b) Somente as afirmativas I e IV são corretas.
- c) Somente as afirmativas III e IV são corretas.
- d) Somente as afirmativas I, II e III são corretas.
- e) Somente as afirmativas II, III e IV são corretas.
A (UNESP 2017) O estireno, matéria-prima indispensável para a produção do poliestireno, é obtido industrialmente pela desidrogenação catalítica do etilbenzeno, que se dá por meio do seguinte equilíbrio químico:
O etilbenzeno e o estireno
- a) são hidrocarbonetos aromáticos.
- b) apresentam átomos de carbono quaternário.
- c) são isômeros funcionais.
- d) apresentam átomos de carbono assimétrico.
- e) são isômeros de cadeia.
A (Fac. Albert Einstein – Medicina 2017) Ritalina é o nome comercial do metilfenidato, droga frequentemente receitada para pacientes com transtorno do deficit de atenção e hiperatividade (TDAH). A fórmula estrutural do fenilfenidato está representada a seguir:
A respeito dessa substância foram feitas algumas afirmações:
- Apresenta fórmula molecular C14H19NO2.
- Um comprimido com 20 mg apresenta menos de 1,0 x 10-5 mol dessa substância.
- A molécula apresenta carbono quiral.
- Apresenta as funções amina e ácido carboxílico.
Estão corretas apenas as afirmações:
- a) I e III.
- b) II e III.
- c) I e IV.
- d) III e IV.
- a) Escreva a fórmula molecular do halotano e calcule a porcentagem em massa de flúor nesse anestésico. Apresente os cálculos.
- b) O halotano deve apresentar isomeria geométrica (cis-trans)? E isomeria óptica? Justifique suas respostas.
2016
B (UNESP 2016) A bioluminescência é o fenômeno de emissão de luz visível por certos organismos vivos, resultante de uma reação química entre uma substância sintetizada pelo próprio organismo (luciferina) e oxigênio molecular, na presença de uma enzima (luciferase). Como resultado dessa reação bioquímica é gerado um produto em um estado eletronicamente excitado (oxiluciferina*). Este produto, por sua vez, desativa-se por meio da emissão de luz visível, formando o produto no estado normal ou fundamental (oxiluciferina). Ao final, a concentração de luciferase permanece constante.
O esquema ilustra o mecanismo geral da reação de bioluminescência de vagalumes, no qual são formados dois produtos diferentes em estados eletronicamente excitados, responsáveis pela emissão de luz na cor verde ou na cor vermelha.
De acordo com o texto e utilizando a classificação periódica dos elementos, assinale a alternativa que apresenta a massa molar, em g.mol-1 e o tipo de isomeria presente na luciferina do vagalume.
- a) 274,3 e óptica.
- b) 279,3 e óptica.
- c) 279,3 e geométrica.
- d) 274,3 e geométrica.
- e) 279,3 e tautomeria.
E (MACKENZIE 2016) A epidemia de dengue no Brasil, transmitida pelo mosquito Aedes aegypti e mais recentemente os casos de microcefalia, causado pela disseminação do Zika vírus, vem preocupando a população brasileira e principalmente as gestantes. Na tentativa de evitar o contato com o mosquito, os repelentes desapareceram das prateleiras das farmácias, mas a eficácia não está no uso de um repelente qualquer. Os médicos alertam que o repelente eficaz contra o Aedes aegypti deve conter um princípio ativo chamado icaridina. A Organização Mundial de Saúde (OMS) acrescenta também outros princípios ativos eficazes, o DEET e IR3535. Assim, de acordo com as fórmulas estruturais do DEET e da icaridina, abaixo representadas, são feitas as seguintes afirmações:
- O DEET possui três carbonos terciários e um grupo funcional amida.
- A fórmula molecular da icaridina é C12H22NO3.
- A molécula de icaridina possui enantiômeros.
- A hidrólise ácida do DEET forma um ácido carboxílico e uma amina secundária.
É correto dizer que apenas as afirmações
- a) II, III e IV são verdadeiras.
- b) I e II são verdadeiras.
- c) I, II e III são verdadeiras.
- d) II e IV são verdadeiras.
- e) III e IV são verdadeiras.
B (UNICAMP 2016) Atualmente, parece que a Química vem seduzindo as pessoas e tem-se observado um número cada vez maior de pessoas portando tatuagens que remetem ao conhecimento químico. As figuras a seguir mostram duas tatuagens muito parecidas, com as correspondentes imagens tatuadas mais bem definidas abaixo.
As imagens representam duas fórmulas estruturais, que correspondem a dois
- a) compostos que são isômeros entre si.
- b) modos de representar o mesmo composto.
- c) compostos que não são isômeros.
- d) compostos que diferem nas posições das ligações duplas.
B (USF 2016) O remédio conhecido como Isordil® é de uso contínuo para os pacientes que possuem algum tipo de doença coronariana. Esse medicamento tem seu uso relacionado a ataques cardíacos e é indicado no tratamento posterior ao infarto. Seu efeito ativo é derivado do nitrato de isosorbida, cuja fórmula estrutural é apresentada a seguir.
A respeito da estrutura de tal substância, são realizadas as seguintes afirmações:
- Nessa substância, é possível encontrar a função orgânica amina.
- Há quatro átomos de carbonos quirais em sua estrutura.
- Dentre outras funções oxigenadas, uma das encontradas é a função cetona.
- O composto apresenta dois grupos funcionais dos ésteres.
- Há um único átomo de carbono hibridizado em sp2 que também é carbono terciário.
Das afirmações realizadas, são corretas
- a) apenas I, III e V.
- b) apenas II, IV e V.
- c) apenas III e V.
- d) apenas II e IV.
- e) apenas I, II e IV.
A (PUC PR 2016) Mais do que classificar os compostos e agrupá-los como funções em virtude de suas semelhanças químicas, a Química Orgânica consegue estabelecer a existência de inúmeros compostos. Um exemplo dessa magnitude é a isomeria, que indica que compostos diferentes podem apresentar a mesma fórmula molecular. A substância a seguir apresenta vários tipos de isomeria, algumas delas perceptíveis em sua fórmula estrutural e outras a partir do rearranjo de seus átomos, que poderiam formar outros isômeros planos.
A partir da estrutura apresentada, as funções orgânicas que podem ser observadas e o número de isômeros opticamente ativos para o referido composto são, respectivamente:
- a) ácido carboxílico, amina e dois.
- b) álcool, cetona, amina e oito.
- c) ácido carboxílico, amida e quatro.
- d) ácido carboxílico, amina e quatro.
- e) álcool, cetona, amida e dois.
B (Fac. Pequeno Príncipe – Medici 2016) A cortisona é um hormônio que atua no combate a inflamações. Em situações extremas, a produção desse hormônio não é suficiente para frear a inflamação e medicações preparadas à base de cortisona são necessárias.
A estrutura da cortisona é apresentada a seguir.
Ao analisar a estrutura desse hormônio, observamos que a substância
- a) apresenta as funções orgânicas fenol e cetona e pode se apresentar até como 6 isômeros opticamente ativos.
- b) apresenta as funções orgânicas álcool e cetona e pode se apresentar até como 64 isômeros opticamente ativos.
- c) apresenta as funções orgânicas álcool e éster e pode se apresentar até como 6 isômeros opticamente ativos.
- d) apresenta as funções orgânicas álcool e cetona e pode se apresentar até como 32 isômeros opticamente ativos.
- e) apresenta as funções orgânicas álcool e éster e pode se apresentar até como 32 isômeros opticamente ativos.
D (Pucpr 2016) Os alimentos ricos em asparagina são, principalmente, alimentos ricos em proteína. A asparagina é um aminoácido não essencial porque independe da ingestão de alimentos ricos em nutrientes, pois o organismo consegue produzi-lo quando necessário. Uma das funções da asparagina é manter as células do sistema nervoso saudáveis e contribuir para a formação e manutenção de ossos, pele, unhas e cabelos, por exemplo. A asparagina serve para formar dentro do organismo novas proteínas de acordo com a necessidade do organismo em cada momento.
Disponível em: <http://www.tuasaude>.
Analisando o texto e a fórmula da asparagina apresentada a seguir.
Dado: Número atômico: H = 1, C = 6, N = 7, O = 8.
Assinale a alternativa CORRETA.
- a) Podemos encontrá-la em alimentos como carne e leite apenas.
- b) Possui dois isômeros ópticos ativos, sendo possível a obtenção de uma mistura racêmica, a qual é opticamente ativa, ou seja, desvia o plano de luz polarizado.
- c) Possui um isômero dextrógiro e dois isômeros levógiros.
- d) Possui as seguintes funções orgânicas: amina, amida e ácido carboxílico.
- e) Possui a função amina, a qual caracteriza o seu caráter ácido.
C (PUC SP 2016) O eugenol e o anetol são substâncias aromáticas presentes em óleos essenciais, com aplicações nas indústrias de cosméticos e farmacêutica. O eugenol está presente principalmente nos óleos de cravo, canela e sassafrás, já o anetol é encontrado nos óleos essenciais de anis e anis estrelado.
Sobre esses compostos foram feitas as seguintes afirmações.
- Ambos apresentam isomeria geométrica.
- O eugenol apresenta funções fenol e éter, enquanto que o anetol apresenta função éter.
- A fórmula molecular do eugenol é C10H12O2, enquanto que o anetol apresenta fórmula molecular C10H12O.
- O anetol apresenta temperatura de ebulição maior do que o eugenol.
Estão corretas APENAS as afirmações:
- a) I e II.
- b) I e IV.
- c) II e III.
- d) III e IV.
2015
C (UNESP 2015) O espectro solar que atinge a superfície terrestre é formado predominantemente por radiações ultravioletas (UV) (100 – 400 nm) radiações visíveis (400 – 800 nm) e radiações infravermelhas (acima de 800 nm). A faixa da radiação (UV) se divide em três regiões: UVA (320 a 400 nm) UVB 280 a 320 nm e UVC 100 a 280 nm). Ao interagir com a pele humana, a radiação UV pode provocar reações fotoquímicas, que estimulam a produção de melanina, cuja manifestação é visível sob a forma de bronzeamento da pele, ou podem levar à produção de simples inflamações até graves queimaduras.
Um filtro solar eficiente deve reduzir o acúmulo de lesões induzidas pela radiação UV por meio da absorção das radiações solares, prevenindo assim uma possível queimadura. São apresentados a seguir as fórmulas estruturais, os nomes e os espectros de absorção de três filtros solares orgânicos.
Dentre os três filtros solares orgânicos citados, apresentam tautomeria e isomeria óptica, respectivamente:
- a) PABA e octil dim etilPABA
- b) BMDM e PABA
- c) BMDM e octil dim etilPABA
- d) PABA e BMDM
- e) octil dim etilPABA e BMDM
2014
A (UNESP 2014) Em época de aumento de incidência de dengue, é comum o uso de extratos vegetais para repelir o mosquito responsável pela propagação da doença. Um dos extratos mais usados é o óleo de citronela. A substância responsável pela ação repelente do óleo de citronela é conhecida como citronelal, cuja fórmula estrutural é fornecida a seguir.
Com relação ao citronelal, é correto afirmar que
- a) apresenta isomeria ótica.
- b) tem fórmula molecular C10H20
- c) apresenta duplas ligações conjugadas.
- d) não sofre reação de hidrogenação.
- e) apresenta a função cetona.
E (UNESP 2014) Em todos os jogos olímpicos há sempre uma grande preocupação do Comitê Olímpico em relação ao doping. Entre as classes de substâncias dopantes, os betabloqueadores atuam no organismo como diminuidores dos batimentos cardíacos e como antiansiolíticos.
O propranolol foi um dos primeiros betabloqueadores de sucesso desenvolvidos e é uma substância proibida em jogos olímpicos.
Com base nas informações contidas no texto e na fórmula estrutural apresentada, é correto afirmar que o propranolol apresenta
- a) isomeria óptica devido à presença de carbono quiral e é proibido porque pode tornar os atletas mais sonolentos.
- b) isomeria geométrica por possuir carbonos insaturados e é proibido porque pode aumentar a potência e a velocidade dos atletas.
- c) isomeria geométrica por possuir carbonos insaturados e é proibido porque pode diminuir os batimentos cardíacos e aumentar a precisão dos atletas.
- d) isomeria óptica devido à presença de carbonos insaturados e é proibido porque pode aumentar a potência e a velocidade dos atletas.
- e) isomeria óptica devido à presença de carbono quiral e é proibido porque pode diminuir os batimentos cardíacos e aumentar a precisão dos atletas
2013
2012
D (FUVEST 2012) As fórmulas estruturais de alguns componentes de óleos essenciais, responsáveis pelo aroma de certas ervas e flores, são:
Dentre esses compostos, são isômeros:
- a) anetol e linalol.
- b) eugenol e linalol.
- c) citronelal e eugenol.
- d) linalol e citronelal.
- e) eugenol e anetol.
2011
D (IFMG 2011) Alguns aldeídos ocorrem naturalmente em óleos essenciais e contribuem para os sabores das frutas e para os odores das plantas. Sabendo que o 2-etil-2-metil-pentanal pertence a esta classe de composto orgânico, assinale a alternativa INCORRETA sobre ele:
- a) Sua fórmula molecular é C8H16O.
- b) Apresenta um carbono quiral.
- c) Apresenta quatro carbonos primários.
- d) Não apresenta atividade óptica.
2010
D (FUVEST 2010) Em um experimento, alunos associaram os odores de alguns ésteres a aromas característicos de alimentos, como, por exemplo:
Analisando a fórmula estrutural dos ésteres apresentados, pode-se dizer que, dentre eles, os que têm cheiro de
- a) maçã e abacaxi são isômeros.
- b) banana e pepino são preparados com alcoóis secundários.
- c) pepino e maçã são heptanoatos.
- d) pepino e pera são ésteres do mesmo ácido carboxílico.
- e) pera e banana possuem, cada qual, um carbono assimétrico.
C (UFU 2010) A cãibra é uma contração súbita, de curta duração e, geralmente, dolorosa de um músculo ou de um grupo muscular. São comuns nos indivíduos saudáveis, especialmente após um exercício extenuante. O ácido lático, representado a seguir, corresponde à forma do ácido produzido pelos músculos e responsável pelas cãibras.
Sobre a estrutura do ácido lático, assinale a alternativa INCORRETA.
- a) A fórmula molecular do ácido lático é C3H6O3e seu nome ácido 2-hidroxi-propanoico.
- b) O ácido lático possui um carbono assimétrico e manifesta isomeria óptica.
- c) Os enantiômeros do ácido lático (dextrógiro e levógiro) desviam o plano da luz polarizada no mesmo sentido.
- d) A estrutura revela que o ácido lático é um composto orgânico de função mista: ácido carboxílico e álcool.
C (Ufpr 2010) A asparagina pode ser obtida na forma de dois diferentes isômeros ópticos. Um deles tem sabor doce e é usado como adoçante, enquanto o outro tem sabor azedo. Considere as seguintes afirmativas:
- O pentan-3-ol apresenta um carbono assimétrico.
- O cis-but-2-eno e o trans-but-2-eno são isômeros ópticos porque diferem somente na disposição geométrica dos grupos ligados aos carbonos da dupla ligação.
- Carbonos aromáticos podem ser assimétricos.
- Misturas racêmicas são opticamente inativas.
Assinale a alternativa correta.
- a) Somente as afirmativas 2, 3 e 4 são verdadeiras.
- b) Somente as afirmativas 1 e 2 são verdadeiras.
- c) Somente a afirmativa 4 é verdadeira.
- d) As afirmativas 1, 2, 3 e 4 são verdadeiras.
- e) Somente as afirmativas 2 e 3 são verdadeiras.
2009
E (UNESP 2009) A maior disponibilidade dos alimentos, em especial os industrializados, resultou no aumento da incidência da obesidade, tanto em crianças como em adultos. Em função disso, tem-se tornado comum a procura pelas denominadas dietas milagrosas que, em geral, oferecem grande risco à saúde. Também têm sido desenvolvidos diversos medicamentos para o emagrecimento com menores tempo e esforços. Uma das substâncias desenvolvidas com essa finalidade é a sibutramina, comercializada com diversas denominações e cuja fórmula estrutural é apresentada a seguir:
Com base na fórmula estrutural da sibutramina, é correto afirmar que apresenta
- a) a função amina primária.
- b) apenas anéis alifáticos.
- c) apenas anéis aromáticos.
- d) isomeria geométrica.
- e) um átomo de carbono quiral.
C (UNESP 2009) Considere os compostos I, II, III e IV.
| ácido 2-hidroxipropanoico | 2-bromopropano | 2-bromopentano | etanal |
| I | II | III | IV |
Pode-se afirmar que, dentre esses compostos, apresentam isômeros ópticos:
- a) I, apenas.
- b) II e III, apenas.
- c) I e III, apenas.
- d) I e IV, apenas.
- e) II e IV, apenas.
C (PUCSP 2009) O eugenol é uma substância presente no óleo de louro e no óleo de cravo.
Sobre a estrutura da molécula do eugenol, pode-se afirmar que:
- Estão presentes as funções fenol e éster.
- Essa substância apresenta isômero geométrico.
- Essa substância não apresenta isômero óptico.
Considera-se correto o que se afirma em:
- a) I.
- b) II.
- c) III.
- d) II e III.
- e) I e II.
E (FUVEST 2009) Uma espécie de besouro, cujo nome científico é Anthonomus grandis, destrói plantações de algodão, do qual se alimenta. Seu organismo transforma alguns componentes do algodão em uma mistura de quatro compostos, A, B, C e D, cuja função é atrair outros besouros da mesma espécie:
Considere as seguintes afirmações sobre esses compostos:
- Dois são alcoóis isoméricos e os outros dois são aldeídos isoméricos.
- A quantidade de água produzida na combustão total de um mol de B é igual àquela produzida na combustão total de um mol de D.
- Apenas as moléculas do composto A contêm átomos de carbono assimétricos.
É correto somente o que se afirma em:
- a) I
- b) II
- c) III
- d) I e II
- e) I e III
A (MACKENZIE 2009) Notícia veiculada em jornais e TV anunciaram que a Pontifícia Universidade Católica do Rio Grande do Sul (PUC-RS) vendeu patentes para a produção de um medicamento contra doenças relacionadas ao envelhecimento. A base desse remédio é o resveratrol, molécula presente no suco de uva e no vinho e, em grande concentração (cem vezes maior do que no vinho), na raiz de uma hortaliça chamada azeda.
Estudos indicam que o resveratrol diminui os níveis de LDL (mau colesterol) e aumenta os níveis de HDL (bom colesterol) reduzindo, assim, o risco de doenças cardiovasculares, além de ser um fator na prevenção do câncer. A notícia alerta que o uso “in natura” dessa hortaliça, ao invés de ajudar, pode causar problemas sérios de saúde.
Da fórmula estrutural do resveratrol, dada anteriormente, fazem-se as afirmações:
- Pode apresentar isomeria cis-trans;
- Representa um difenol;
- Possui núcleos aromáticos;
- Em um dos anéis, os grupos hidroxila estão em posição meta.
Estão CORRETAS:
- a) I, II, III e IV.
- b) II e IV, apenas.
- c) II e III, apenas.
- d) III e IV, apenas.
- e) I e III, apenas.
2008
E (Unesp 2008) A sacarose e a lactose são dois dissacarídeos encontrados na cana-de-açúcar e no leite humano, respectivamente. As estruturas simplificadas, na forma linear, dos monossacarídeos que os formam, são fornecidas a seguir.
Os tipos de isomerias encontrados entre a molécula de glicose e as dos monossacarídeos frutose e galactose são, quando representadas na forma linear, respectivamente,
- a) de posição e de função.
- b) ótica e de função.
- c) de função e de função.
- d) ótica e de posição.
- e) de função e ótica.
2007
C (UEL 2007) Em cada um dos itens (I a IV) são dadas 2 estruturas e uma afirmativa sobre elas.
A alternativa que contém todas as afirmativas corretas é:
- a) I e II
- b) II e III
- c) I e III
- d) II e IV
- e) III e IV
2006
2005
B (Pucsp 2005) Sob aquecimento e ação da luz, alcanos sofrem reação de substituição na presença de cloro gasoso, formando um cloro alcano:
Considere que, em condições apropriadas, cloro e propano reagem formando, principalmente, produtos dissubstituídos. O número máximo de isômeros planos de fórmula C3H6Cℓ2 obtido é
- a) 5
- b) 4
- c) 3
- d) 2
- e) 1
D (Ueg 2005) A seguir, são apresentados diversos compostos. Analise-os e julgue as afirmações apresentadas a seguir.
- O composto 1 apresenta isomeria cis-trans.
- O composto 2 conhecido como éter dietílico é isômero de função do composto 4.
- O composto 4 apresenta maior ponto de ebulição que o composto 2.
- Nos compostos 1, 2, 3 e 4 há presença de heteroátomo.
Marque a alternativa CORRETA:
- a) Apenas as afirmações I, II e III são verdadeiras.
- b) Apenas as afirmações II, III e IV são verdadeiras.
- c) Apenas as afirmações III e IV são verdadeiras.
- d) Apenas as afirmações II e III são verdadeiras.
- e) Apenas a afirmação II é verdadeira.
D (Uff 2005) Se você sofreu com as espinhas na adolescência e ficou com o rosto marcado por cicatrizes, chegou a hora de se ver livre delas. A reconstituição química para cicatrizes da pele é um procedimento avançado, realizado em consultório médico, que dispensa anestesia. Com um estilete especial, aplica-se uma pequena quantidade de ácido tricloroacético (ATA) a 100%, em cada cicatriz. A substância estimula a produção de um colágeno e promove um preenchimento de dentro para fora. É muito mais poderoso e eficaz do que os “peelings” tradicionais, que trabalham com o ATA com, no máximo, 40% de concentração. A fórmula estrutural do ATA é:
Assim sendo, marque a opção correta.
- a) O ATA é opticamente ativo e apresenta isômeros cis e trans.
- b) O ATA é opticamente ativo.
- c) O ATA é constituído por uma mistura racêmica.
- d) O ATA é opticamente inativo.
- e) O ATA apresenta, apenas, isomeria cis-trans.
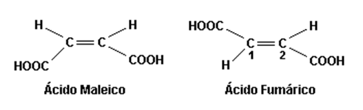
D (PUC RS 2005) Analise as informações a seguir.
Sobre os ácidos maleico e fumárico que apresentam as fórmulas estruturais a seguir:
- os dois ácidos apresentam igual ponto de fusão, pois possuem a mesma massa molecular.
- os átomos de carbono indicados com os números 1 e 2, no ácido fumárico, são carbonos assimétricos.
- esses ácidos formam um par de isômeros geométricos.
- o ácido maleico é mais solúvel em água, pois a sua molécula é mais polar que a do ácido fumárico.
Pela análise das afirmativas, conclui-se que estão corretas apenas
- a) I e II
- b) I e III
- c) II e IV
- d) III e IV
- e) I, II e IV
A (UNIFESP 2005) Pesquisas recentes indicam que a relação entre o consumo moderado de vinho tinto e a diminuição da incidência de doenças cardiovasculares parece estar ligada à presença da substância resveratrol em vinho e suco de uva. Acredita-se que a atuação do resveratrol se deva à sua estrutura química, semelhante à do dietilestilbestrol (DES), um estrógeno sintético que atua sobre o nível de colesterol no sangue. As fórmulas estruturais das duas substâncias são fornecidas a seguir.
Assinale a alternativa que contém a afirmação correta sobre essas substâncias.
- a) Ambas formam isômeros geométricos.
- b) Ambas apresentam atividade ótica.
- c) Ambas apresentam a função álcool em sua estrutura.
- d) Ambas apresentam características básicas, pois contêm o grupo OH em suas estruturas.
- e) Pode-se obter os ésteres das duas substâncias por reação com ácidos carboxílicos.
C (FGV 2005) A partir da fórmula molecular C4H11N, o número possível de isômeros de compostos orgânicos de cadeia aberta, contendo um grupo amina primária, é
- a) 7
- b) 6
- c) 5
- d) 4
- e) 3
E (Pucpr 2005) A monocloração do 2-metilpentano pode fornecer vários compostos, em proporções diferentes.
Dos compostos monoclorados, quantos apresentarão carbono quiral ou assimétrico?
- a) 4
- b) 5
- c) 1
- d) 2
- e) 3
E (UFSM 2005) Na busca de uma forma ecologicamente correta para o controle de insetos, é necessário o isolamento de vários produtos naturais provenientes dos próprios insetos ou de plantas. O 1-METIL-2-CICLOEXENOL é um feromônio natural isolado do ‘Dendroctonus pseudotsugae’:
As duas estruturas mostradas representam
- a) um par de isômeros de posição.
- b) a mesma molécula.
- c) isômeros geométricos.
- d) diastereoisômeros.
- e) um par de isômeros óticos.
2004
E (FUVEST 2004) “Durante muitos anos, a gordura saturada foi considerada a grande vilã das doenças cardiovasculares. Agora, o olhar vigilante de médicos e nutricionistas volta-se contra a prima dela, cujos efeitos são ainda piores: a gordura trans.” Veja 2003. Uma das fontes mais comuns da margarina é o óleo de soja, que contém triglicerídeos, ésteres do glicerol com ácidos graxos. Alguns desses ácidos graxos são:
Durante a hidrogenação catalítica, que transforma o óleo de soja em margarina, ligações duplas tornam-se ligações simples. A porcentagem dos ácidos graxos A, B, C e D, que compõem os triglicerídeos, varia com o tempo de hidrogenação. O gráfico a seguir mostra este fato.
Considere as afirmações:
- O óleo de soja original é mais rico em cadeias mono-insaturadas trans do que em cis.
- A partir de cerca de 30 minutos de hidrogenação, cadeias mono-insaturadas trans são formadas mais rapidamente que cadeias totalmente saturadas.
- Nesse processo de produção de margarina, aumenta a porcentagem de compostos que, atualmente, são considerados pelos nutricionistas como nocivos à saúde.
É correto apenas o que se afirma em
- a) I
- b) II
- c) III
- d) I e II
- e) II e III
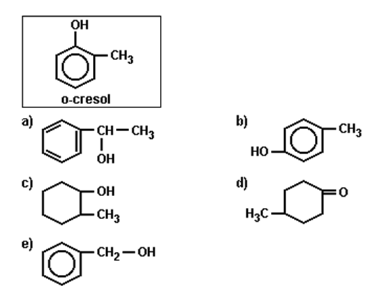
E (Unirio 2004) Que alternativa apresenta um isômero de função do o-cresol?
C (Uerj 2004) A fórmula a seguir representa um composto responsável pelo fenômeno da visão nos seres humanos, pois o impulso nervoso que estimula a formação da imagem no cérebro ocorre quando há interconversão entre isômeros deste composto.
Um isômero de função deste composto pertence à função denominada:
- a) éster
- b) amida
- c) cetona
- d) ácido carboxílico
2003
2002
2001
2000
1999
B (ITA 1999) Considere os seguintes compostos orgânicos:
- 2-clorobutano
- bromo-clorometano
- 3,4-dicloropentano
- 1,2,4-tricloropentano
Assinale a opção que apresenta as quantidades corretas de carbonos quirais nos respectivos compostos acima:
- a) 0 em I; 1 em II; 2 em III; 3 em IV.
- b) 1 em I; 0 em II; 2 em III; 2 em IV.
- c) 0 em I; 0 em II; 1 em III; 3 em IV.
- d) 1 em I; 1 em II; 1 em III; 2 em IV.
- e) 1 em I; 0 em II; 1 em III; 2 em IV.
1998
B (UFPE 1998) O bicho da seda libera um composto chamado bombicol para se comunicar com outros indivíduos de sua espécie. O bombicol é um álcool primário de cadeia muito longa contendo duas ligações dupla, uma cis e outra trans na cadeia de carbono. Nenhum de seus vários isômeros tem efeito no processo de comunicação entre esses insetos. Qual das estruturas abaixo representa o bombicol?
1997
EXERCÍCIOS EXTRAS
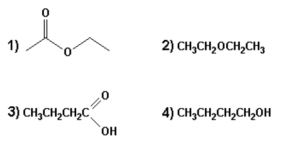
1. Que tipo de isomeria há entre:
– ácido propiônico e formiato de etila? __________
– pentano e metilciclobutano? _____________
– metoximetano e etanol? _____________
– acetona e prop-1-en-2-ol? _____________
2. Dê o nome de um isômero:
– de função da metilbutanona _____________
– de metameria do etoxietano _____________
– de tautomeria da pentan-2-ona_____________
– de cadeia do ciclobutanol _____________
D 3. A talidomida, sintetizada pela primeira vez na forma racêmica, na Alemanha em 1954, é uma substância dotada de propriedades químicas capazes de controlar ansiedade, tensão nervosa e náuseas.
Em 1960, foram descobertos seus efeitos teratofênicos. Os estudos demonstraram que gestantes eu consumiram essa substância geraram fetos com má formação e que o causador dessa anomalia é o isômero ℓ-talidomida.
Admitindo que 4 mg de ℓ-talidomida seja a dose mínima capaz de provocar a má formação do feto, assinale a afirmativa correta:
- a) O consumo de um medicamento que tenha 6 mg de talidomida racêmica poderá ocasionar má formação do feto.
- b) O carbono assimétrico da talidomida localiza-se no anel aromático de sua substância.
- c) A separação dos isômeros d e ℓ da mistura racêmica pode ser feita por diferença de seus pontos de ebulição.
- d) No organismo humano devem existir enzimas que diferenciam as duas formas de talidomida, no esquema chave-fechadura.
- e) A mistura equimolar de ℓ-talidomida e d-talidomida é opticamente inativa por compensação interna.
D (FUVEST) Quantos isômeros planos e espaciais, são previstos com a fórmula molecular C3H5Cℓ?
- a) 2
- b) 3
- c) 4
- d) 5
- e) 7
C 4. Considerando os compostos abaixo, assinale a alternativa CORRETA:
- butanal
- butan-2-ol
- but-2-eno
- 2-metilpropeno
- butanona
- a) II e IV apresentam carbono assimétrico.
- b) III e IV apresentam isomeria geométrica.
- c) I e V são isômeros funcionais.
- d) I e II possuem a fórmula C4H8O.
- e) II e V apresentam isomeria óptica.
C 5. (UEL) Considere as fórmulas estruturais dos compostos orgânicos a seguir.
Sobre essas fórmulas, é correto afirmar que:
- a) IV e V representam isômeros ópticos.
- b) I e III representam isômeros geométricos.
- c) I, II e IV representam substâncias diferentes.
- d) As fórmulas moleculares de I e V são diferentes.
- e) As fórmulas moleculares de I e II são iguais, portanto representam a mesma substância.
C 6. (CESGRANRIO) O composto de fórmula:
poderá apresentar isomeria ótica quando R for:
- a) hidrogênio
- b) oxigênio
- c) hidroxila
- d) metila
- e) etila
7.a) Que tipo de isomeria há entre:
– ácido acrílico e metanoato de etila?
– álcool isobutílico e álcool terc-butílico?
– acetona e metoxietano?
– but-1-en-2-ol e butanona?
b) Dê o nome de um isômero:
– de cadeia do metilbutanona
– de função do etoxietano
– de compensação da dietilamina
– de posição da butilamina
8. Faça as estruturas do trans-pent-2-enal e de um dos enantiômeros do ácido α-amino-butanóico.
9. Cite os nomes de todos os isômeros planos de fórmula molecular C7H16, indicando quais deles apresentam isomeria espacial. Neste caso, especifique quais os isômeros espaciais que aparecem em cada caso.
A 10. (VUNESP) Apresenta isomeria geométrica e óptica:
- a) 4-cloropent-2-eno.
- b) 4-cloro-2-metilpent-1-eno.
- c) but-2-eno.
- d) butan-2-ol.
- e) 2-clorobut-2-eno.
C 11. (UNIFENAS) No composto orgânico de função mista, ácido 2-amino-propanóico, podem ocorrer os seguintes casos de isomeria:
- a) óptica, de posição e geométrica.
- b) de cadeia, de posição e de função.
- c) óptica, de posição e de função.
- d) cis-trans, metameria e de posição.
- e) tautomeria, de cadeia e óptica.
B 12. Assinale a afirmativa incorreta:
- a) A atividade óptica é característica de moléculas assimétricas.
- b) Os isômeros dextrogiro, levogiro e a mistura racêmica derivados de uma estrutura diferem entre si apenas pela atividade óptica.
- c) O 2-butanol é o álcool mais simples que possui isômeros ópticos.
- d) O 2-buteno é o alceno mais simples possuidor de isômeros geométricos.
- e) Um carbono primário pode ser quiral.
C. 13.
A talidomida foi desenvolvida na Alemanha em 1954, com o objetivo de reduzir a ansiedade e a tensão e evitar náuseas, principalmente durante a gravidez. Os testes realizados naquela época foram insuficientes para detectar alguns efeitos que se revelaram desastrosos: milhares de mortes intra-uterinas e o nascimento de bebês com deficiências em todo o mundo. Foi descoberto mais tarde que, enquanto um enantiômero da talidomida tem os efeitos desejados descritos acima, o outro enantiômero causa anomalias nos fetos. Hoje, essa mesma droga está sendo utilizada na sua forma racêmica no tratamento de outras doenças, como, por exemplo, a AIDS.
Sobre este assunto, assinale a afirmativa incorreta.
- a) Enantiômeros são isômeros espaciais (estereoisômeros), sendo um a imagem especular do outro.
- b) Um dos enantiômeros desvia o plano de luz polarizada no sentido anti-horário.
- c) Enantiômeros são substâncias que apresentam as mesmas propriedades físicas e químicas.
- d) A mistura racêmica apresenta os dois enantiômeros em proporções iguais.
- e) Sendo isômeros, os enantiômeros apresentam a mesma fórmula.
A 14. (PUCMINAS) O composto
apresenta isômeros opticamente ativos em número de:
- a) 2
- b) 4
- c) 6
- d) 8
- e) 10
C. 15. No composto orgânico de função mista, ácido-3-cloroacrílico, podem ocorrer os seguintes casos de isomeria:
- a) óptica, de posição e geométrica.
- b) de cadeia, de posição e de função.
- c) geométrica, de posição e de função.
- d) cis-trans, metameria e de posição.
- e) tautomeria, de cadeia e óptica.































