CAIU NO ENEM!
CAIU NO VESTIBULAR!
2018
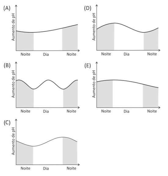
C (FUVEST 2018) Considere um aquário tampado contendo apenas água e plantas aquáticas, em grande quantidade, e iluminado somente por luz solar. O gráfico que melhor esboça a variação de pH da água em função do horário do dia, considerando que os gases envolvidos na fotossíntese e na respiração das plantas ficam parcialmente dissolvidos na água, é:
2017
C (FUVEST) Dependendo do pH do solo, os nutrientes nele existentes podem sofrer transformações químicas que dificultam sua absorção pelas plantas. O quadro mostra algumas dessas transformações, em função do pH do solo.
Para que o solo possa fornecer todos os elementos citados na tabela, o seu pH deverá estar entre
- a) 4 e 6.
- b) 4 e 8.
- c) 6 e 7.
- d) 6 e 11.
- e) 8,5 e 11.
D (FUVEST 2017) Em ambientes naturais e na presença de água e gás oxigênio, a pirita, um mineral composto principalmente por dissulfeto de ferro (FeS2), sofre processos de intemperismo, o que envolve transformações químicas que acontecem ao longo do tempo.
Um desses processos pode ser descrito pelas transformações sucessivas, representadas pelas seguintes equações químicas:
Considerando a equação química que representa a transformação global desse processo, as lacunas da frase “No intemperismo sofrido pela pirita, a razão entre as quantidades de matéria do FeS2 (s) e do O2 (g) é __________, e, durante o processo, o pH do solo __________” podem ser corretamente preenchidas por
- a) 1/4; diminui.
- b) 1/4; não se altera.
- c) 2/15; aumenta.
- d) 4/15; diminui.
- e) 4/15; não se altera.
2008
D (PUC MG 2008) Os solos argilosos são neutros ou levemente ácidos. Os solos calcários são básicos, e os solos arenosos são ácidos ou neutros. Hortênsias plantadas em solo de pH inferior a 7 são rosas e azuis em pH superior a 7. Tendo em vista as informações dadas, é INCORRETO afirmar que:
- a) as hortênsias podem ser utilizadas como indicadoras de pH de um solo.
- b) em solos arenosos, as hortênsias são rosas.
- c) em solos calcários, as hortênsias são azuis.
- d) em solos argilosos, as hortênsias são azuis e rosas.

