RESUMO
ENERGIA TÉRMICA E CALOR
As moléculas que constituem a matéria estão em contínuo movimento, denominado agitação térmica. A energia cinética associada a esse movimento é denominada de energia térmica.
Quando existe diferença de temperatura entre dois corpos, há passagem de energia térmica do mais quente para o mais frio. Essa energia térmica em trânsito é o que chamamos de calor.
NOÇÃO DE TEMPERATURA
A temperatura de um corpo mede a agitação térmica de suas moléculas. Quanto maior a temperatura mais agitadas elas estão.
OS ESTADOS DE AGREGAÇÃO DA MATÉRIA
Existem 5 estados físicos da matéria, mas normalmente estudamos apenas 3: o sólido, o líquido e o gasoso.
Os outros dois são o condensado de Bose-Einstein (temperaturas próximas ao zero absoluto) e o plasma (estado físico do Sol).
MEDIDA DA TEMPERATURA
Grandeza termométrica é uma grandeza (comprimento, resistência elétrica, volume) que se altera quando há variação de temperatura.
TERMÔMETROS
O princípio de funcionamento de um termômetro é o equilíbrio térmico. Ao entrar em contato com um corpo, eles trocam calor entre si e passam a ter a mesma temperatura.
ESCALAS TERMOMÉTRICAS
Para graduar uma escala termométrica são necessários duas referências, os chamados pontos fixos.
- Ponto de gelo: é a temperatura de fusão do gelo, à pressão normal;
- Ponto de vapor: é a temperatura de ebulição da água, à pressão normal.
Pontos fixos das escalas mais usadas:
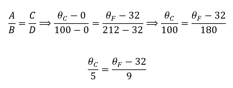
- Celsius: 0°C e 100°C
- Fahrenheit: 32°F e 212°F
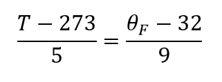
- Kelvin: 273 K e 373 K
Relação entre escala Celsius e Fahrenheit
Relação entre escala Celsius e Kelvin
Seguindo o mesmo raciocínio usando os pontos fixos das escalas Celsius e Kelvin, obtemos:
Relação entre escala Fahrenheit e Kelvin
Entre Fahrenheit e Kelvin a relação é:
VARIAÇÃO DE TEMPERATURA
De forma análoga, para uma variação de temperatura, temos:
CAIU NO ENEM!
CAIU NO VESTIBULAR!
2018
1. (UERJ simulado 2018)
A ARTE DE ENVELHECER
1O envelhecimento é sombra que nos acompanha desde a concepção: o feto de seis meses é muito mais velho do que o embrião de cinco dias.
Lidar com a inexorabilidade desse processo exige uma habilidade na qual nós somos inigualáveis: a adaptação. Não há animal capaz de criar soluções diante da adversidade como nós, de sobreviver em nichos ecológicos que vão do calor tropical às geleiras do Ártico.
Da mesma forma que ensaiamos os primeiros passos por imitação, temos que aprender a ser adolescentes, adultos e a ficar cada vez mais velhos.
A adolescência é um fenômeno moderno. 2Nossos ancestrais passavam da infância à vida adulta sem estágios intermediários. Nas comunidades agrárias o menino de sete anos trabalhava na roça e as meninas cuidavam dos afazeres domésticos antes de chegar a essa idade.
A figura do adolescente que mora com os pais até os 30 anos, sem abrir mão do direito de reclamar da comida à mesa e da camisa mal passada, surgiu nas sociedades industrializadas depois da Segunda Guerra Mundial. Bem mais cedo, nossos avós tinham filhos para criar.
A exaltação da juventude como o período áureo da existência humana é um mito das sociedades ocidentais. Confinar aos jovens a publicidade dos bens de consumo, exaltar a estética, os costumes e os padrões de comportamento característicos dessa faixa etária tem o efeito perverso de insinuar que o declínio começa assim que essa fase se aproxima do fim.
A ideia de envelhecer aflige mulheres e homens modernos, muito mais do que afligia nossos antepassados. Sócrates tomou cicuta aos 70 anos, Cícero foi assassinado aos 63, Matusalém sabe-se lá quantos anos teve, mas seus contemporâneos gregos, romanos ou judeus viviam em média 30 anos. No início do século 20, a expectativa de vida ao nascer nos países da Europa mais desenvolvida não passava dos 40 anos.
A mortalidade infantil era altíssima; epidemias de peste negra, varíola, malária, febre amarela, gripe e tuberculose dizimavam populações inteiras. Nossos ancestrais viveram num mundo devastado por guerras, enfermidades infecciosas, escravidão, dores sem analgesia e a onipresença da mais temível das criaturas. Que sentido haveria em pensar na velhice quando a probabilidade de morrer jovem era tão alta? Seria como hoje preocupar-nos com a vida aos cem anos de idade, que pouquíssimos conhecerão.
3Os que estão vivos agora têm boa chance de passar dos 80. Se assim for, 4é preciso sabedoria para aceitar que nossos atributos se modificam com o passar dos anos. Que nenhuma cirurgia devolverá aos 60 o rosto que tínhamos aos 18, mas que envelhecer não é sinônimo de decadência física para aqueles que se movimentam, não fumam, comem com parcimônia, exercitam a cognição e continuam atentos às transformações do mundo.
Considerar a vida um vale de lágrimas no qual submergimos de corpo e alma ao deixar a juventude é torná-la experiência medíocre. Julgar, aos 80 anos, que os melhores foram aqueles dos 15 aos 25 é não levar em conta que a memória é editora autoritária, capaz de suprimir por conta própria as experiências traumáticas e relegar ao esquecimento inseguranças, medos, desilusões afetivas, riscos desnecessários e as burradas que fizemos nessa época.
5Nada mais ofensivo para o velho do que dizer que ele tem “cabeça de jovem”. É considerá-lo mais inadequado do que o rapaz de 20 anos que se comporta como criança de dez.
Ainda que maldigamos o envelhecimento, é ele que nos traz a aceitação das ambiguidades, das diferenças, do contraditório e abre espaço para uma diversidade de experiências com as quais nem sonhávamos anteriormente.
DRÁUZIO VARELLA
Folha de São Paulo, 23/01/2016.
O processo de adaptação consiste na capacidade do ser humano de criar soluções diante das adversidades, permitindo sua sobrevivência desde os trópicos, cuja temperatura média é de 20 °C, às regiões polares, onde termômetros atingem temperaturas próximas a -40 °C.
Considerando os valores acima, a variação em módulo da temperatura na escala Kelvin, corresponde a:
- a) 20
- b) 40
- c) 60
- d) 80
VER RESOLUÇÃO
2017
1. (IFPE 2017) Pernambuco registrou, em 2015, um recorde na temperatura após dezessete anos. O estado atingiu a média máxima de 31°C. segundo a Agência Pernambucana de Águas e Clima (APAC). A falta de chuvas desse ano só foi pior em 1998 – quando foi registrada a pior seca dos últimos 50 anos, provocada pelo fenômeno “El Niño”, que reduziu a níveis críticos os reservatórios e impôs o racionamento de água. Novembro foi o mês mais quente de 2015, aponta a APAC. Dos municípios que atingiram as temperaturas mais altas esse ano, Águas Belas, no Agreste, aparece em primeiro lugar com média máxima de 42 °C (Fonte: g1.com.br).
Utilizando o quadro abaixo, que relaciona as temperaturas em °C (graus Celsius), °F (Fahrenheit) e K (Kelvin), podemos mostrar que as temperaturas médias máximas, expressas em K, para Pernambuco e para Águas Belas, ambas em 2015, foram, respectivamente,
- a) 300 e 317
- b) 273 e 373
- c) 304 e 315
- d) 242 e 232
- e) 254 e 302
VER RESOLUÇÃO
2. (MACKENZIE 2017) Uma escala termométrica A adota para a temperatura da água em ebulição à pressão normal, de 70°A e para a temperatura de fusão do gelo à pressão normal, de 20°A Outra escala termométrica B adota para a temperatura da água em ebulição à pressão normal, de 90°B, e para a temperatura de fusão do gelo à pressão normal, de 10°B. A expressão que relaciona a temperatura das escalas A (θA) e (θB) é
- a) θB = 2,6 ∙ θA – 42
- b) θB = 2,6 ∙ θA – 22
- c) θB = 1,6 ∙ θA – 22
- d) θA = 1,6 ∙ θB + 22
- e) θA = 1,6 ∙ θB + 42
VER RESOLUÇÃO
3. (IFSUL 2017) Ao atender um paciente, um médico verifica que, entre outros problemas, ele está com temperatura de 37,5 °C e deixa-o em observação no posto de saúde. Depois de uma hora, examina-o novamente, medindo a temperatura e observa que ela aumentou 2 °C.
O valor dessa variação de temperatura, na escala Fahrenheit, e a temperatura final, na escala Kelvin, são respectivamente iguais a
- a) 3,6 °F e 233,5 K
- b) 35,6 °C e 312,5 K
- c) 35,5 °F e 233,5 k
- d) 3,6 °F e 312,5 K
VER RESOLUÇÃO
4. (UFU 2017) Um estudante monta um dispositivo termométrico utilizando uma câmara, contendo um gás, e um tubo capilar, em formato de “U”, cheio de mercúrio, conforme mostra a figura. O tubo é aberto em uma das suas extremidades, que está em contato com a atmosfera.
Inicialmente a câmara é imersa em um recipiente contendo água e gelo em fusão, sendo a medida da altura h da coluna de mercúrio (figura) de 2 cm. Em um segundo momento, a câmara é imersa em água em ebulição e a medida da altura h da coluna de mercúrio passa a ser de 27 cm. O estudante, a partir dos dados obtidos, monta uma equação que permite determinar a temperatura do gás no interior da câmara (θ) em graus Celsius, a partir da altura h em centímetros. (Considere a temperatura de fusão do gelo 0 °C e a de ebulição da água 100 °C).
Assinale a alternativa que apresenta a equação criada pelo estudante.
- a) θ = 2h
- b) θ = 27h/2
- c) θ = 4h – 8
- d) θ = 5h2 – 20
VER RESOLUÇÃO
5. (UFPR 2017) Vários turistas frequentemente têm tido a oportunidade de viajar para países que utilizam a escala Fahrenheit como referência para medidas da temperatura. Considerando-se que quando um termômetro graduado na escala Fahrenheit assinala 32 °F, essa temperatura corresponde ao ponto de gelo, e quando assinala 212°F, trata-se do ponto de vapor. Em um desses países, um turista observou que um termômetro assinalava temperatura de 74,3 °F. Assinale a alternativa que apresenta a temperatura, na escala Celsius, correspondente à temperatura observada pelo turista.
- a) 12,2 °C
- b) 18,7 °C
- c) 23,5 °C
- d) 30 °C
- e) 33,5 °C
VER RESOLUÇÃO
6. (IFPE 2017) Para medirmos a temperatura de um objeto, utilizamos principalmente 3 escalas termométricas: Celsius (°C), Fahrenheit (°F) e Kelvin (K). A relação entre elas pode ser vista no quadro abaixo.
Utilizando a escala como referência, podemos dizer que 0 °C e 50 °C equivalem, em Kelvin, a
- a) 212 e 273
- b) 273 e 373
- c) 212 e 32
- d) 273 e 37
- e) 273 e 323
VER RESOLUÇÃO
7. (CPS 2017) Os centros urbanos possuem um problema crônico de aquecimento denominado ilha de calor. A cor cinza do concreto e a cor vermelha das telhas de barro nos telhados contribuem para esse fenômeno. O adensamento de edificações em uma cidade implica diretamente no aquecimento. Isso acarreta desperdício de energia, devido ao uso de ar condicionado e ventiladores. Um estudo realizado por uma ONG aponta que é possível diminuir a temperatura do interior das construções. Para tanto, sugere que todas as edificações pintem seus telhados de cor branca, integrando a campanha chamada “One Degree Less” (“Um grau a menos”).
O título da campanha, “Um grau a menos”, pode ser ambíguo para algum desavisado, uma vez que a escala termométrica utilizada não é mencionada. Em caráter global, são consideradas três unidades de temperatura: grau Celsius (°C), grau Fahrenheit (°F) e kelvin (K). A relação entre as variações de temperaturas nas três escalas é feita por meio das expressões:
Na campanha, a expressão “Um grau a menos” significa que a temperatura do telhado sofrerá variação de 1 grau, como por exemplo, de 30 °C para 29 °C
Considerando-se que o 1 grau a menos, da campanha, corresponde a 1°C, essa variação de temperatura equivale a variação de
- a) 1 °F
- b) 1 K
- c) 0,9 °F
- d) 32 °F
- e) 273 K
VER RESOLUÇÃO
2016
1. (PUC SP 2016) O Slide, nome dado ao skate futurista, usa levitação magnética para se manter longe do chão e ainda ser capaz de carregar o peso de uma pessoa. É o mesmo princípio utilizado, por exemplo, pelos trens ultrarrápidos japoneses.
Para operar, o Slide deve ter a sua estrutura metálica interna resfriada a temperaturas baixíssimas, alcançadas com nitrogênio líquido. Daí a “fumaça” que se vê nas imagens, que, na verdade, é o nitrogênio vaporizando novamente devido à temperatura ambiente e que, para permanecer no estado líquido, deve ser mantido a aproximadamente -200 graus Celsius. Então, quando o nitrogênio acaba, o skate para de “voar”.
Com relação ao texto, a temperatura do nitrogênio líquido, -200 °C, que resfria a estrutura metálica interna do Slide, quando convertida para as escalas Fahrenheit e Kelvin, seria respectivamente:
- a) -328 e 73
- b) -392 e 73
- c) -392 e -473
- d) -328 e -73
VER RESOLUÇÃO
2. (UTFPR 2016) Um pediatra brasileiro está fazendo especialização médica em Londres. Ao medir a temperatura de uma criança com suspeita de infecção, obtém em seu termômetro clínico a indicação 101,84 °F.
Sobre esta temperatura é correto afirmar que:
- a) este valor é preocupante, pois equivale a uma febre de 39,6 °C.
- b) o valor correspondente é 37,8 °C, não sendo considerado como febre.
- c) este valor corresponde a 37 °C, sendo a temperatura corpórea normal do ser humano.
- d) a criança está com temperatura de 38,8 °C, indicando estado febril.
- e) a indicação do termômetro traduz um quadro e hipotermia de 34,8 °C.
VER RESOLUÇÃO
3. (EBMSP 2016) Sabe-se que as mudanças significativas referentes à família brasileira estão relacionadas ao impacto do desenvolvimento tecnológico da sociedade como um todo. Uma dessas mudanças é o uso da tecnologia para a reprodução humana, a inseminação artificial, uma técnica de reprodução medicamente assistida que consiste na deposição mecânica do sêmen de um doador, que fica preservado em azoto líquido, contido em um criotubo a -196 °C, e que, após ser processado, é colocado dentro do colo do útero, próximo ao momento da ovulação.
Com base nessa informação, determine a temperatura, referida no texto, em que o sêmen fica preservado, na escala Fahrenheit.
VER RESOLUÇÃO
4. (IFCE 2016) Um médico, no Brasil, mede a temperatura de seu paciente e o termômetro registra 37,0 °C (graus Celsius). Esta temperatura, expressa em °F (graus Fahrenheit), é igual a
- a) 90,8
- b) 96,8
- c) 94,6
- d) 92,0
- e) 98,6
VER RESOLUÇÃO
5. (UCS 2016) Uma sonda espacial está se aproximando do Sol para efetuar pesquisas. A exatos 6.000.000 km do centro do Sol, a temperatura média da sonda é de 1.000 °C Suponha que tal temperatura média aumente 1 °C a cada 1.500 km aproximados na direção ao centro do Sol. Qual a distância máxima que a sonda, cujo ponto de fusão (para a pressão nas condições que ela se encontra) é 1.773 K poderia se aproximar do Sol, sem derreter? Considere 0 °C = 273 K e, para fins de simplificação, que o material no ponto de fusão não derreta.
- a) 5.600.000 km
- b) 5.250.000 km
- c) 4.873.000 km
- d) 4.357.000 km
- e) 4.000.000 km
VER RESOLUÇÃO
6. (IFPE 2016) A massa de ar frio polar continua influenciando o tempo em Santa Catarina. Nesta segunda-feira (13), Urupema voltou a registrar a temperatura mais baixa do ano até agora no estado […]. Há uma semana, a cidade da Serra amanhece com temperaturas negativas.
G1. Urupema volta a registrar a temperatura mais baixa do ano. Disponível em: <http://g1.globo.com/sc/santa-catarina/noticia/2016/06/urupema-volta-registrar-temperaturamais-baixa-do-ano-em-sc.html>. Acesso em: 13 jun. 2016 (Adaptado).
Suponha que o termômetro utilizado na cidade de Urupema, no estado do Paraná, tenha sua escala termométrica de leitura em Fahrenheit (°F) indicando uma temperatura de 15,8 °F. Se o termômetro possuísse escala termométrica em graus Celsius, quanto estaria marcando?
- a) – 7 °C
- b) – 8 °C
- c) – 29 °C
- d) – 10 °C
- e) – 9 °C
VER RESOLUÇÃO
7. (ULBRA 2016) Antônio, um estudante de Física, deseja relacionar a escala Celsius (°C) com a escala de seu nome (°A). Para isso, ele faz leituras de duas temperaturas com termômetros graduados em °C e em °A. Assim, ele monta o gráfico abaixo. Qual a relação termométrica entre a temperatura da escala Antônio e da escala Celsius?
VER RESOLUÇÃO
8. (IFCE 2016) Ao longo do ano de 2015, a temperatura média na cidade de Fortaleza foi de 28 °C. Na escala Farenheit, essa temperatura corresponde a
- a) 82,4 °F
- b) 28 °F
- c) 41,2 °F
- d) 61,9 °F
- e) 103,1 °F
VER RESOLUÇÃO
9. (IFCE 2016) Se um termômetro graduado em graus Celsius assinala 60, a leitura em outro, graduado na escala Fahrenheit, medindo a temperatura no mesmo ambiente, assinalará
- a) 280 °F
- b) 42 °F
- c) 140 °F
- d) 40 °F
- e) 63 °F
VER RESOLUÇÃO
10. (CPS 2016) O uso do chuveiro elétrico representa uma parcela significativa do gasto com energia elétrica em uma casa. Nos dias de maior insolação, este gasto pode ser diminuído com o uso de aquecedores solares de água. Um modelo simples e de baixo custo, construído com garrafas plásticas de refrigerante e caixas de leite, substitui com bastante eficiência painéis solares produzidos industrialmente. Observe a fotografia de um desses painéis em que sua capacidade de aquecimento está sendo testada.
Nessa construção, dezoito canos de PVC, dispostos um ao lado do outro, estão conectados em seus extremos por dois canos horizontais. Cada um dos dezoito canos é envolvido por garrafas com o fundo cortado. Dentro de cada garrafa há uma peça obtida do corte de embalagens de leite, pintada na cor preto-fosco. Desempenhando a função de reservatório de água, foi usada uma caixa de isopor.
Os dois canos horizontais estão em alturas diferentes e ambos se conectam ao reservatório de água. O cano horizontal superior se conecta ao reservatório em um ponto mais acima do ponto de conexão do cano horizontal inferior.
A água preenche todo o sistema, que funciona automaticamente sem o auxílio de bombas hidráulicas, uma vez que a água na tubulação do painel, aquecida pelo Sol, torna-se menos densa e sobe. Ao procurar uma posição mais elevada, ela flui para o reservatório.
Na fase de testes deste painel, a água atingiu, em pouco mais de uma hora, a temperatura de 45 °C (muito alta para um banho). Como o aquecedor de baixo custo funcionou surpreendentemente bem, seu construtor desejou divulgar os resultados na internet, tendo o cuidado de transcrever essa temperatura para a escala Fahrenheit, com o intuito de que um internauta, acostumado com esta escala, também fosse capaz de entender rapidamente a informação.
Desse modo, a temperatura que deverá ser divulgada na internet será, em graus Fahrenheit, aproximadamente,
Lembre-se que a equação de conversão entre as escalas Celsius (tC) e Fahrenheit (t11) é dada por: 
- a) 9
- b) 49
- c) 81
- d) 113
- e) 240
VER RESOLUÇÃO
2015
1. (UERJ 2015) No mapa abaixo, está representada a variação média da temperatura dos oceanos em um determinado mês do ano. Ao lado, encontra-se a escala, em graus Celsius, utilizada para a elaboração do mapa.
Determine, em graus kelvins, o módulo da variação entre a maior e a menor temperatura da escala apresentada.
VER RESOLUÇÃO
2. (UERN 2015) A temperatura interna de um forno elétrico foi registrada em dois instantes consecutivos por termômetros distintos – o primeiro graduado na escala Celsius e o segundo na escala Kelvin. Os valores obtidos foram, respectivamente, iguais a 120 °C e 438 K. Essa variação de temperatura expressa em Fahrenheit corresponde a
- a) 65 °F
- b) 72 °F
- c) 81 °F
- d) 94 °F
VER RESOLUÇÃO
3. (IMED 2015) Uma temperatura é tal que 18 (dezoito) vezes o seu valor na escala Celsius é igual a -10 (menos dez) vezes o seu valor na escala Fahrenheit. Determine essa temperatura.
- a) 8 °F
- b) 16 °F
- c) 32 °F
- d) 64 °F
- e) 128 °F
VER RESOLUÇÃO
4. (UEMA 2015) […] Ainda existem discordâncias sobre o local ideal para mensurar a temperatura corporal. Pode ser axilar, bucal, timpânico, esofágico, nasofaringeano, vesical e retal. Os locais habitualmente mensurados são
– Axilar: temperatura normal encontra-se entre 35,5 a 37,0 °C, com média de 36,0 a 36,5 °C.
– Bucal: temperatura normal encontra-se entre 36,0 a 37,4 °C.
– Retal: temperatura normal encontra-se entre 36,0 a 37,5 °C.
Fonte: Disponível em: <http://fisiologia.med.up.pt/Textos_Apoio/outros/ Termorreg.pdf>. Acesso em: 10 jun. 2014. (adaptado)
Transformando esses valores para escala Kelvin, a temperatura normal, na região bucal, encontra-se entre:
- a) 308,0 a 311,5
- b) 308,5 a 310,0
- c) 309,0 a 310,4
- d) 309,0 a 310,5
- e) 310,2 a 310,4
VER RESOLUÇÃO
5. (UFJF-PISM 2 2015) Um professor de Física encontrou dois termômetros em um antigo laboratório de ensino. Os termômetros tinham somente indicações para o ponto de fusão do gelo e de ebulição da água. Além disso, na parte superior de um termômetro, estava escrito o símbolo °C e, no outro termômetro, o símbolo °F. Com ajuda de uma régua, o professor verificou que a separação entre o ponto de fusão do gelo e de ebulição da água dos dois termômetros era de 20,0 cm, conforme a figura abaixo. Com base nessas informações e na figura apresentada, podemos afirmar que, a 5,0 cm, do ponto de fusão do gelo, os termômetros registram temperaturas iguais a:
- a) 25° C e 77 °F
- b) 20° C e 40 °F
- c) 20° C e 45 °F
- d) 25° C e 45 °F
- e) 25° C e 53 °F
VER RESOLUÇÃO
2014
1. (ACAFE 2014) Largamente utilizados na medicina, os termômetros clínicos de mercúrio relacionam o comprimento da coluna de mercúrio com a temperatura. Sabendo-se que quando a coluna de mercúrio atinge 2,0 cm, a temperatura equivale a 34°C e, quando atinge 14 cm, a temperatura equivale a 46°C. Ao medir a temperatura de um paciente com esse termômetro, a coluna de mercúrio atingiu 8,0 cm.
A alternativa correta que apresenta a temperatura do paciente, em °C, nessa medição é:
- a) 36
- b) 42
- c) 38
- d) 40
VER RESOLUÇÃO
2. (UEA 2014) Um turista estrangeiro leu em um manual de turismo que a temperatura média do estado do Amazonas é de 87,8 graus, medido na escala Fahrenheit. Não tendo noção do que esse valor significa em termos climáticos, o turista consultou um livro de Física, encontrando a seguinte tabela de conversão entre escalas termométricas:
| Celsius | Fahrenheit | |
| fusão do gelo | 0 | 32 |
| ebulição da água | 100 | 212 |
Com base nessa tabela, o turista fez a conversão da temperatura fornecida pelo manual para a escala Celsius e obteve o resultado:
- a) 25
- b) 31
- c) 21
- d) 36
- e) 16.
VER RESOLUÇÃO
3. (IFCE 2014) Ao tomar a temperatura de um paciente, um médico do programa Mais Médicos só tinha em sua maleta um termômetro graduado na escala Fahrenheit. Após colocar o termômetro no paciente, ele fez uma leitura de 104°F. A correspondente leitura na escala Celsius era de
- a) 30
- b) 32
- c) 36
- d) 40
- e) 42.
VER RESOLUÇÃO
4. (MACKENZIE 2014) Um internauta, comunicando-se em uma rede social, tem conhecimento de que naquele instante a temperatura em Nova Iorque é θNI = 68 °F, em Roma é θRO = 291 K e em São Paulo, θSP = 25 °C. Comparando essas temperaturas, estabelece-se que
- a) θNI < θRO < θSP
- b) θSP < θRO < θNI
- c) θRO < θNI < θSP
- d) θRO < θSP < θNI
- e) θNI < θSP < θRO
VER RESOLUÇÃO
5. (UEPB 2014) Um ramo importante da Física, ligado à Termologia é a criogenia, cuja finalidade é conseguir temperaturas extremamente baixas com as mais diferentes aplicações. A obtenção de temperaturas reduzidas é utilizada, por exemplo, na conservação de produtos alimentícios, no transporte de gêneros perecíveis, na preservação de tecidos, dos componentes do sangue e de outras partes do corpo humano para posterior utilização. Em Biologia e Veterinária, a criogenia está associada à conservação do sêmen de animais para uso em fertilização. A manutenção de sêmen bovino em temperatura da ordem de 73° kelvin é fundamental para preservar suas características, a fim de que o processo de inseminação artificial tenha sucesso. (…).
(Adaptado de FERRARO, N. G.; SOARES, P. A. de Toledo; FOGO. Ronaldo. Física Básica. 3. ed. vol. único. São Paulo: Atual. 2009. p. 273).
Com base nas informações apresentadas no texto acima, indique qual o valor correspondente à temperatura de 73° kelvin nas escalas Celsius e Fahrenheit, respectivamente, para manutenção de sêmen bovino.
- a) -220 °C e -380 °F
- b) -200 °C e 360 °F
- c) -200 °C e -328 °F
- d) -220 °C e 400 °F
- e) -240 °C e -420 °F
VER RESOLUÇÃO
2013
1. (UERN 2013) Em um determinado aeroporto, a temperatura ambiente é exibida por um mostrador digital que indica, simultaneamente, a temperatura em 3 escalas termométricas: Celsius, Fahrenheit e Kelvin. Se em um determinado instante a razão entre a temperatura exibida na escala Fahrenheit e na escala Celsius é igual a 3,4, então a temperatura registrada na escala Kelvin nesse mesmo instante é
- a) 272 K.
- b) 288 K.
- c) 293 K.
- d) 301 K.
VER RESOLUÇÃO
2012
1. (CFTMG 2012) Um termômetro de mercúrio apresenta no ponto de fusão da água uma coluna de 20 mm de altura e, no ponto de ebulição, 80 mm. A uma temperatura de 92 °F, a coluna de mercúrio desse termômetro, em mm, é igual a
- a) 30
- b) 40
- c) 50
- d) 60
VER RESOLUÇÃO
2002
B (UNIFESP 2002) Quando se mede a temperatura do corpo humano com um termômetro clínico de mercúrio em vidro, procura-se colocar o bulbo do termômetro em contato direto com regiões mais próximas do interior do corpo e manter o termômetro assim durante algum tempo, antes de fazer a leitura. Esses dois procedimentos são necessários porque
- a) o equilíbrio térmico só é possível quando há contato direto entre dois corpos e porque demanda sempre algum tempo para que a troca de calor entre o corpo humano e o termômetro se efetive.
- b) é preciso reduzir a interferência da pele, órgão que regula a temperatura interna do corpo, e porque demanda sempre algum tempo para que a troca de calor entre o corpo humano e o termômetro se efetive.
c) o equilíbrio térmico só é possível quando há contato direto entre dois corpos e porque é preciso evitar a interferência do calor específico médio do corpo humano. - d) é preciso reduzir a interferência da pele, órgão que regula a temperatura interna do corpo, e porque o calor específico médio do corpo humano é muito menor que o do mercúrio e do vidro.
- e) o equilíbrio térmico só é possível quando há contato direto entre dois corpos e porque é preciso reduzir a interferência da pele, órgão que regula a temperatura interna do corpo.













