CAIU NO ENEM!
CAIU NO VESTIBULAR!
2018
E (FUVEST 2018) A energia liberada na combustão do etanol de cana de açúcar pode ser considerada advinda da energia solar, uma vez que a primeira etapa para a produção do etanol é a fotossíntese. As transformações envolvidas na produção e no uso do etanol combustível são representadas pelas seguintes equações químicas:
Com base nessas informações, podemos afirmar que o valor de ΔH para a reação de fotossíntese é
- a) -1.305 kJ/mol.
- b) +1.305 kJ/mol.
- c) +2.400 kJ/mol.
- d) -2.540 kJ/mol.
- e) +2.540 kJ/mol.
D (UNICAMP 2018) Em 12 de maio de 2017 o Metrô de São Paulo trocou 240 metros de trilhos de uma de suas linhas, numa operação feita de madrugada, em apenas três horas. Na solda entre
o trilho novo e o usado empregou-se uma reação química denominada térmita, que permite a obtenção de uma temperatura local de cerca de 2.000 °C. A reação utilizada foi entre um óxido de ferro e o alumínio metálico. De acordo com essas informações, uma possível equação termoquímica do processo utilizado seria
A (FAC. ALBERT EINSTEIN – MEDICINA 2018) Observe a equação de formação de etanol a seguir:
Com base nas equações abaixo que resultam na reação de interesse, calcule o ∆H da reação de formação do etanol.
- a) -278 kJ/mol.
- b) -2048 kJ/mol.
- c) -688 kJ/mol.
- d) +294 kJ/mol.
C (FMABC 2018) Considere as seguintes informações sobre a formação de ácido sulfúrico atmosférico, precursor da chuva ácida,
A partir dos dados fornecidos, a produção de 1 mol de H2SO4 (l) partindo do SO2 (g) apresenta ΔH igual a
- a) −228,2 kJ/mol de H2SO4 (l), indicando reação exotérmica.
- b) +228,2 kJ/mol de H2SO4 (l), indicando reação endotérmica.
- c) −456,4 kJ/mol de H2SO4 (l), indicando reação endotérmica.
- d) +456,4 kJ/mol de H2SO4 (l), indicando reação endotérmica.
- e) −456,4 kJ/mol de H2SO4 (l), indicando reação exotérmica.
- a) + 1 140 kJ.
- b) + 820 kJ.
- c) – 1 299 kJ.
- d) – 510 kJ.
- e) – 635 kJ.
D (FCMSCSP 2018) A água oxigenada, solução de peróxido de hidrogênio (H2O2), tem diversos usos no ambiente doméstico. A tabela apresenta as entalpias-padrão de formação das substâncias envolvidas na reação de decomposição do peróxido de hidrogênio:
A decomposição de 1 mol de peróxido de hidrogênio é uma reação
- a) endotérmica com absorção de 98 kJ de energia.
- b) endotérmica com absorção de 474 kJ de energia.
- c) endotérmica com liberação de 98 kJ de energia.
- d) exotérmica com liberação de 98 kJ de energia.
- e) exotérmica com liberação de 474 kJ de energia.
A (CEFET MG 2018) Analise o diagrama de formação do cloreto de sódio:
As etapas endotérmicas, ou seja, que absorvem calor, são apenas
- a) I, II e III.
- b) I, II e V.
- c) I, IV e V.
- d) II, III e IV.
D (UFRGS 2018) De acordo com a Lei de Hess, a variação de entalpia de uma reação depende apenas dos estados inicial e final.
Considere as afirmações abaixo, sobre a Lei de Hess.
I – A reação reversa de uma reação endotérmica é sempre exotérmica.
II – A reação de combustão de um açúcar produzindo CO2 e água terá a mesma variação de entalpia, caso ocorra em um calorímetro ou no organismo humano.
III – Um catalisador adequado propicia um caminho com menor diferença de entalpia entre reagente e produtos.
Quais estão corretas?
- a) Apenas I.
- b) Apenas II.
- c) Apenas III.
- d) Apenas I e lI.
- e) I, II e III.
E (UDESC 2018) O uso de hidrogênio, como combustível para automóveis, é uma das apostas da indústria automobilística para o futuro, já que a queima do gás hidrogênio libera apenas água como produto da reação e uma grande quantidade de calor. A reação de combustão do gás hidrogênio é apresentada abaixo.
- a) endotérmica, com absorção de 241,8 kJ por mol de gás hidrogênio.
- b) exotérmica, com liberação de 483,6 kJ por mol de gás hidrogênio.
- c) endotérmica, com absorção de 483,6 kJ por mol de gás hidrogênio.
- d) endotérmica, com liberação de 483,6 kJ por mol de gás hidrogênio.
- e) exotérmica, com liberação de 241,8 kJ por mol de gás hidrogênio.
2017
A (FUVEST 2017) Sob certas condições, tanto o gás flúor quanto o gás cloro podem reagir com hidrogênio gasoso, formando, respectivamente, os haletos de hidrogênio HF e HCℓ, gasosos. Pode-se estimar a variação de entalpia (∆H) de cada uma dessas reações, utilizando-se dados de energia de ligação. A tabela apresenta os valores de energia de ligação dos reagentes e produtos dessas reações a 25 °C e 1 atm.
Com base nesses dados, um estudante calculou a variação de entalpia (∆H) de cada uma das reações e concluiu, corretamente, que, nas condições empregadas,
- a) a formação de HF (g) é a reação que libera mais energia.
- b) ambas as reações são endotérmicas.
- c) apenas a formação de HCℓ (g) é endotérmica.
- d) ambas as reações têm o mesmo valor de ∆H.
- e) apenas a formação de HCℓ (g) é exotérmica.
D (MACKENZIE 2017) O etanol, produzido por meio da fermentação do açúcar extraído da cana-de-açúcar, é um combustível renovável extremamente difundido no território nacional, e possui entalpia-padrão de combustão de -1368 kJ∙mol-1. Considerando-se os dados fornecidos na tabela abaixo, é correto afirmar que, a entalpia-padrão de formação do etanol é de
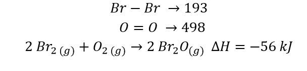
B (FGV SP 2017) O arsênio é encontrado na natureza associado a minerais de certos metais de transição. Seu óxido, As2O3 é obtido como subproduto de processos de metalurgia extrativa. Esse óxido pode ser transformado em As2O5 por meio de reação com oxigênio ou com ozônio.
Com base nessas informações, é correto afirmar que o valor da entalpia padrão da reação (ΔHor) de conversão de 1 mol de oxigênio a ozônio, em kJ, é aproximadamente
- a) –286.
- b) –95.
- c) +95.
- d) +286.
- e) +810.
2016
B (FUVEST 2016) O biogás pode substituir a gasolina na geração de energia. Sabe-se que 60%, em volume, do biogás são constituídos de metano, cuja combustão completa libera cerca de 900 kJ/mol. Uma usina produtora gera 2.000 litros de biogás por dia. Para produzir a mesma quantidade de energia liberada pela queima de todo o metano contido nesse volume de biogás, será necessária a seguinte quantidade aproximada (em litros) de gasolina:
- a) 0,7
- b) 1,0
- c) 1,7
- d) 3,3
- e) 4,5
A (UFRGS 2016) Com base no seguinte quadro de entalpias de ligação, assinale a alternativa que apresenta o valor da entalpia de formação da água gasosa.
- a) – 243 kJ mol–1
- b) – 134 kJ mol–1
- c) + 243kJ mol–1
- d) + 258 kJ mol–1
- e) + 1532 kJ mol–1
2011
B (IFMG 2011) São conhecidos os seguintes valores de energia de ligação a 25 ºC.
Determine o ΔH para a reação abaixo e marque a alternativa CORRETA.
a) + 5,1 Kcal.
b) – 5,1 Kcal.
c) – 516,7 Kcal.
d) + 516,7 Kcal.
2010
A (UFJF – PISM 2 2010) O fosgênio (COCl2) ou diclorometanona é um gás tóxico que foi utilizado na Primeira Guerra Mundial como arma química do tipo sufocante. Utilizando os dados a seguir, calcule o H de formação do gás fosgênio, em kJ/mol, e assinale a alternativa CORRETA.
- a) -1004
- b) +1004
- c) – 409
- d) – 1891
- e) +1891
2009
C (UERJ 2009) Explosivos, em geral, são formados por substâncias que, ao reagirem, liberam grande quantidade de energia. O nitrato de amônio, um explosivo muito empregado em atividades de mineração, se decompõe segundo a equação química:

Em um teste, essa decomposição liberou 592,5 kJ de energia e produziu uma mistura de nitrogênio e oxigênio com volume de 168 L, medido nas CNTP. Nas mesmas condições, o teste com 1 mol de nitrato de amônio libera, em quilojoules, a seguinte quantidade de energia:
- a) 39,5
- b) 59,3
- c) 118,5
- d) 158,0
D (ESPCEX 2009) São dadas as seguintes informações relativas às reações que ocorrem à temperatura de 25 °C e à pressão de 1 atm.
Com base nesses dados, é possível afirmar que, quando há produção de somente 1(um) mol de óxido de ferro III, a partir de substâncias simples, ocorre
- a) absorção de 1012,6 kJ.
- b) liberação de 1012,6 kJ.
- c) absorção de 824,2 kJ.
- d) liberação de 824,2 kJ.
- e) liberação de 577,38 kJ.
EXERCÍCIOS EXTRAS
(CSA 2011 – BIB – U2a) O que é entalpia de formação?
(CSA 2011 – BIB – U4b) A partir dos dados abaixo, determine a energia de ligação (em kJ/mol):
(CSA 2011 – BIB – U5a) Demonstre num diagrama de entalpias qual dos processos abaixo envolve maior quantidade de calor:
(CSA 2011 – BIB – U6) Com os dados:
Entalpia de combustão do H2(g): -286 kJ/mol
Entalpia de formação do Ag2O(s): -31 kJ/mol
Entalpia de formação do HBr(g): -36 kJ/mol
Calcule, aplicando a lei de Hess, a entalpia de formação do brometo de prata sólido.
(CSA 2010 – BIB – U3) Determine, pela Lei de Hess, a entalpia envolvida na reação.
A partir dos seguintes dados:
















