CAIU NO ENEM!
A (ENEM 2016) Num experimento, um professor deixa duas bandejas de mesma massa, uma de plástico e outra de alumínio, sobre a mesa do laboratório. Após algumas horas, ele pede aos alunos que avaliem a temperatura das duas bandejas, usando para isso o tato. Seus alunos afirmam, categoricamente, que a bandeja de alumínio encontra-se numa temperatura mais baixa. Intrigado, ele propõe uma segunda atividade, em que coloca um cubo de gelo sobre cada uma das bandejas, que estão em equilíbrio térmico com o ambiente, e os questiona em qual delas a taxa de derretimento do gelo será maior.
O aluno que responder corretamente ao questionamento do professor dirá que o derretimento ocorrerá
- a) mais rapidamente na bandeja de alumínio, pois ela tem uma maior condutividade térmica que a de plástico.
- b) mais rapidamente na bandeja de plástico, pois ela tem inicialmente uma temperatura mais alta que a de alumínio.
- c) mais rapidamente na bandeja de plástico, pois ela tem uma maior capacidade térmica que a de alumínio.
- d) mais rapidamente na bandeja de alumínio, pois ela tem um calor específico menor que a de plástico.
- e) com a mesma rapidez nas duas bandejas, pois apresentarão a mesma variação de temperatura.
D (ENEM 2016 – 2ª APLICAÇÃO) Para a instalação de um aparelho de ar-condicionado, é sugerido que ele seja colocado na parte superior da parede do cômodo, pois a maioria dos fluidos (líquidos e gases), quando aquecidos, sofrem expansão, tendo sua densidade diminuída e sofrendo um deslocamento ascendente. Por sua vez, quando são resfriados, tornam-se mais densos e sofrem um deslocamento descendente.
A sugestão apresentada no texto minimiza o consumo de energia, porque
- a) diminui a umidade do ar dentro do cômodo.
- b) aumenta a taxa de condução térmica para fora do cômodo.
- c) torna mais fácil o escoamento da água para fora do cômodo.
- d) facilita a circulação das correntes de ar frio e quente dentro do cômodo.
- e) diminui a taxa de emissão de calor por parte do aparelho para dentro do cômodo.
D (ENEM 2016 – 2ª APLICAÇÃO) Nos dias frios, é comum ouvir expressões como: “Esta roupa é quentinha” ou então “Feche a janela para o frio não entrar”. As expressões do senso comum utilizadas estão em desacordo com o conceito de calor da termodinâmica. A roupa não é “quentinha”, muito menos o frio “entra” pela janela.
A utilização das expressões “roupa é quentinha” e “para o frio não entrar” é inadequada, pois o(a)
- a) roupa absorve a temperatura do corpo da pessoa, e o frio não entra pela janela, o calor é que sai por ela.
- b) roupa não fornece calor por ser um isolante térmico, e o frio não entra pela janela, pois é a temperatura da sala que sai por ela.
- c) roupa não é uma fonte de temperatura, e o frio não pode entrar pela janela, pois o calor está contido na sala, logo o calor é que sai por ela.
- d) calor não está contido num corpo, sendo uma forma de energia em trânsito de um corpo de maior temperatura para outro de menor temperatura.
- e) calor está contido no corpo da pessoa, e não na roupa, sendo uma forma de temperatura em trânsito de um corpo mais quente para um corpo mais frio.
B (ENEM 2014) Um engenheiro decidiu instalar um aquecedor solar em sua casa, conforme mostra o esquema.
De acordo com as instruções de montagem, para se ter um aproveitamento máximo da incidência solar, as placas do coletor solar devem ser instaladas com um ângulo de inclinação determinado. O parâmetro que define o valor do ângulo de inclinação dessas placas coletoras é a
- a) altitude
- b) latitude
- c) longitude
- d) nebulosidade
- e) umidade relativa do ar
C (ENEM 2013) É comum nos referirmos a dias quentes como dias “de calor”. Muitas vezes ouvimos expressões como “hoje está calor” ou “hoje o calor está muito forte” quando a temperatura ambiente está alta.
No contexto científico, é correto o significado de “calor” usado nessas expressões?
- a) Sim, pois o calor de um corpo depende de sua temperatura.
- b) Sim, pois calor é sinônimo de alta temperatura.
- c) Não, pois calor é energia térmica em trânsito.
- d) Não, pois calor é a quantidade de energia térmica contida em um corpo.
- e) Não, pois, embora o calor seja sempre diretamente proporcional à temperatura, eles possuem conceitos diferentes.
E (Enem PPL 2013)
Quais são os processos de propagação de calor relacionados à fala de cada personagem?
- a) Convecção e condução.
- b) Convecção e irradiação.
- c) Condução e convecção.
- d) Irradiação e convecção.
- e) Irradiação e condução.
C (ENEM PPL 2012) Em dias com baixas temperaturas, as pessoas utilizam casacos ou blusas de lã com o intuito de minimizar a sensação de frio. Fisicamente, esta sensação ocorre pelo fato de o corpo humano liberar calor, que é a energia transferida de um corpo para outro em virtude da diferença de temperatura entre eles.
A utilização de vestimenta de lã diminui a sensação de frio, porque
- a) possui a propriedade de gerar calor.
- b) é constituída de material denso, o que não permite a entrada do ar.
- c) diminui a taxa de transferência de calor do corpo humano para o meio externo.
- d) tem como principal característica a absorção de calor, facilitando o equilíbrio térmico.
- e) está em contato direto com o corpo humano, facilitando a transferência de calor por condução.
CAIU NO VESTIBULAR!
2018
B (FUVEST 2018) Um fabricante de acessórios de montanhismo quer projetar um colchão de espuma apropriado para ser utilizado por alpinistas em regiões frias. Considere que a taxa de transferência de calor ao solo por uma pessoa dormindo confortavelmente seja 90 kcal/hora e que a transferência de calor entre a pessoa e o solo se dê exclusivamente pelo mecanismo de condução térmica através da espuma do colchão. Nestas condições, o gráfico representa a taxa de transferência de calor, em J/s, através da espuma do colchão, em função de sua espessura, em cm.
Considerando 1 cal = 4 J, a menor espessura do colchão, em cm, para que a pessoa durma confortavelmente é
- a) 1,0
- b) 1,5
- c) 2,2
- d) 2,8
- e) 3,9
D (UNESP 2018) O gráfico mostra o fluxo térmico do ser humano em função da temperatura ambiente em um experimento no qual o metabolismo basal foi mantido constante. A linha azul representa o calor trocado com o meio por evaporação (E) e a linha vermelha, o calor trocado com o meio por radiação Sabendo que os valores positivos indicam calor recebido
pelo corpo e os valores negativos indicam o calor perdido pelo corpo, conclui-se que:
- a) em temperaturas entre 36 ºC e 40 ºC, o corpo recebe mais calor do ambiente do que perde.
- b) à temperatura de 20 ºC, a perda de calor por evaporação é maior que por radiação e convecção.
- c) a maior perda de calor ocorre à temperatura de 32 ºC.
- d) a perda de calor por evaporação se aproxima de zero para temperaturas inferiores a 20 ºC.
- e) à temperatura de 36 ºC, não há fluxo de calor entre o corpo e o meio.e convecção (RC).
C (UNICAMP 2018) Mesmo em manhãs bem quentes, é comum ver um cão tomando sol. O pelo do animal esquenta e sua língua do lado de fora sugere que ele está cansado. O pelo do animal está muito quente, mas mesmo assim o cão permanece ao sol, garantindo a produção de vitamina D3. Durante essa exposição ao sol, ocorrem transferências de energia entre o cão e o ambiente, por processos indicados por números na figura abaixo.
Em ordem crescente, os números correspondem, respectivamente, aos processos de
- a) convecção, evaporação, radiação, condução e radiação.
- b) convecção, radiação, condução, radiação e evaporação.
- c) condução, evaporação, convecção, radiação e radiação.
- d) condução, radiação, convecção, evaporação e radiação.
2017
D (UFJF – PSIM 2 – 2017) A garrafa térmica de uma determinada marca foi construída de forma a diminuir as trocas de calor com o ambiente que podem ocorrer por três processos: condução, convecção e radiação. Dentre as suas várias características, podemos citar:
I. a ampola interna da garrafa é feita de plástico.
II. a ampola possui paredes duplas, e entre essas paredes, é feito vácuo.
III. a superfície interna da ampola é espelhada.
Assinale a alternativa que corresponde ao processo que se quer evitar usando as características citadas acima.
- a) I – radiação; II – condução e convecção; III – convecção
- b) I – condução e radiação; II – convecção; III – condução
- c) I – convecção; II –condução; III – radiação
- d) I – condução; II – condução e convecção; III – radiação
- e) I –radiação; II – condução e convecção; III – radiação
C (IFSUL 2017) A cidade de São Paulo, como muitas outras do nosso país, é bastante castigada pela poluição do ar no inverno, pois os poluentes ficam com temperaturas mais baixas que o ar puro das camadas superiores, o que faz com que não ocorra a dispersão dos poluentes.
Esse fenômeno físico é conhecido por
- a) convecção
- b) radiação
- c) inversão térmica
- d) condução
D (IFSUL 2017) Um atiçador é uma barra rija e não inflamável usada para empurrar lenha ardente em uma lareira.
Para segurança e conforto durante o uso, o atiçador deveria ser feito de um material com
- a) alto calor específico e alta condutividade térmica.
- b) baixo calor específico e baixa condutividade térmica.
- c) baixo calor específico e alta condutividade térmica.
- d) alto calor específico e baixa condutividade térmica.
C (UEL 2017) Com base na charge e nos conceitos da termodinâmica, é correto afirmar que as luvas de amianto são utilizadas porque a condutividade térmica
- a) da cuia de cristal é menor que a do líquido.
- b) da cuia de cristal e a do amianto são iguais.
- c) do amianto é menor que a da cuia de cristal.
- d) do amianto é maior que a da cuia de cristal.
- e) do amianto é maior que a do líquido.
2016
D (UNICAMP 2016) Um isolamento térmico eficiente é um constante desafio a ser superado para que o homem possa viver em condições extremas de temperatura. Para isso, o entendimento
completo dos mecanismos de troca de calor é imprescindível.
Em cada uma das situações descritas a seguir, você deve reconhecer o processo de troca de calor envolvido.
I. As prateleiras de uma geladeira doméstica são grades vazadas, para facilitar fluxo de energia térmica até o congelador por […]
II. O único processo de troca de calor que pode ocorrer no vácuo é por […].
III. Em uma garrafa térmica, é mantido vácuo entre as paredes duplas de vidro para evitar que o calor saia ou entre por [….].
Na ordem, os processos de troca de calor utilizados para preencher as lacunas corretamente são:
- a) condução, convecção e radiação.
- b) condução, radiação e convecção.
- c) convecção, condução e radiação.
- d) convecção, radiação e condução.
D (UPE 2016 – SSA 2) É muito comum o amplo uso de aparelhos de ar-condicionado durante o verão intenso do Recife. Nessa cidade, uma residência possui uma parede de área 40 m2 e espessura 20 cm, separando o ambiente interior do exterior. Se a temperatura externa é de 33 ºC e deseja-se manter a interna igual a 23 ºC, qual será o gasto por hora de aparelho ligado, considerando-se, apenas, essa parede separadora?
Dados: a condutividade térmica da parede é igual a 1,25×10-3 kw/(mk), e o custo da energia elétrica em kwh é de R$ 0,60.
- a) R$ 0,30
- b) R$ 0,90
- c) R$ 1,20
- d) R$ 1,50
- e) R$ 2,50
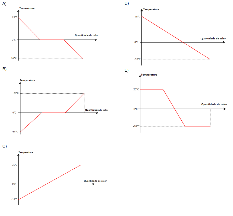
A (PUC PR 2016) Uma forma de gelo com água a 25°C é colocada num freezer de uma geladeira para formar gelo. O freezer está no nível de congelamento mínimo, cuja temperatura corresponde a -18°C. As etapas do processo de trocas de calor e de mudança de estado da substância água podem ser identificadas num gráfico da temperatura X quantidade de calor cedida.
Qual dos gráficos a seguir mostra, corretamente (sem considerar a escala), as etapas de mudança de fase da água e de seu resfriamento para uma atmosfera?
2014
C (UTFPR 2014) Sobre trocas de calor, considere as afirmações a seguir.
I. Cobertores são usados no inverno para transmitir calor aos corpos.
II. A superfície da Terra é aquecida por radiações eletromagnéticas transmitidas pelo Sol.
III. Em geral, as cidades localizadas em locais mais altos são mais frias porque correntes de convecção levam o ar mais frio pra cima.
Está correto apenas o que se afirma em:
- a) I
- b) II
- c) II
- d) I e II.
- e) II e III.
C (UNIFOR 2014) Em 2010 o Prêmio Nobel de Física foi dado a dois cientistas de origem russa, André Geim e Konstantin Novoselov, por descobrirem em 2004 o grafeno, uma forma revolucionária do grafite. O grafeno apresenta vários aspectos positivo para a tecnologia de hoje, sendo uma delas o melhor condutor de calor. Analise as afirmações abaixo sobre os processos de propagação de calor.
I. Convecção: é o processo de transmissão de energia térmica feita de partícula para partícula sem que haja transporte de matéria de uma região para outra.
II. Condução: é o processo de transmissão de energia térmica feita por meio do transporte da matéria de uma região para outra.
III. Radiação: é o processo que consiste na transmissão de energia térmica por meio de ondas eletromagnéticas. Ocorre tanto no vácuo quanto em outros meios materiais.
Analisando as afirmações, é CORRETO apenas o que se afirma em:
- a) I
- b) II
- c) III
- d) I e III
- e) II e III
2013
C (UEL 2013) O cooler, encontrado em computadores e em aparelhos eletroeletrônicos, é responsável pelo resfriamento do microprocessador e de outros componentes. Ele contém um ventilador que faz circular ar entre placas difusoras de calor. No caso de computadores, as placas difusoras ficam em contato direto com o processador, conforme a figura a seguir.
Sobre o processo de resfriamento desse processador, assinale a alternativa correta.
- a) O calor é transmitido das placas difusoras para o processador e para o ar através do fenômeno de radiação.
- b) O calor é transmitido do ar para as placas difusoras e das placas para o processador através do fenômeno de convecção.
- c) O calor é transmitido do processador para as placas difusoras através do fenômeno de condução.
- d) O frio é transmitido do processador para as placas difusoras e das placas para o ar através do fenômeno de radiação.
- e) O frio é transmitido das placas difusoras para o ar através do fenômeno de radiação.
C (UNESP 2013) Por que o deserto do Atacama é tão seco?
A região situada no norte do Chile, onde se localiza o deserto do Atacama, é seca por natureza. Ela sofre a influência do Anticiclone Subtropical do Pacífico Sul (ASPS) e da cordilheira dos Andes. O ASPS, região de alta pressão na atmosfera, atua como uma “tampa”, que inibe os mecanismos de levantamento do ar necessários para a formação de nuvens e/ou chuva. Nessa área, há umidade perto da costa, mas não há mecanismo de levantamento. Por isso não chove. A falta de nuvens na região torna mais intensa a incidência de ondas eletromagnéticas vindas do Sol, aquecendo a superfície e elevando a temperatura máxima. De noite, a Terra perde calor mais rapidamente, devido à falta de nuvens e à pouca umidade da atmosfera, o que torna mais baixas as temperaturas mínimas. Essa grande amplitude térmica é uma característica dos desertos.
(Ciência Hoje, novembro de 2012. Adaptado.)
Baseando-se na leitura do texto e dos seus conhecimentos de processos de condução de calor, é correto afirmar que o ASPS ______________ e a escassez de nuvens na região do Atacama ______________.
As lacunas são, correta e respectivamente, preenchidas por
- a) favorece a convecção – favorece a irradiação de calor
- b) favorece a convecção – dificulta a irradiação de calor
- c) dificulta a convecção – favorece a irradiação de calor
- d) permite a propagação de calor por condução – intensifica o efeito estufa
- e) dificulta a convecção – dificulta a irradiação de calor
(UFSC 2013) Calor é energia em trânsito, devido a uma diferença de temperatura. No momento em que não existe mais esta diferença de temperatura, o calor deixa de existir. O calor não pode ser armazenado ou contido por um corpo. Em uma situação na qual existe uma diferença de temperatura, o calor surge e, dependendo do meio em que isto ocorre, o calor vai apresentar formas distintas de se propagar.
Em relação às formas de propagação do calor, assinale a(s) proposição(ões) CORRETA(S).
01) Na ausência de matéria, o calor se propaga por radiação, ondas eletromagnéticas em que a frequência do calor está na faixa do ultravioleta.
02) O calor também pode se propagar na faixa da radiação de micro-ondas, a mesma usada nos fornos de micro-ondas para aquecer e cozinhar alimentos.
04) O fluxo de calor através de um sólido depende da sua geometria e do material do qual é com posto.
08) O calor se propaga por três processos: na condução a energia é transferida pela interação dos átomos ou moléculas; na convecção a energia é transferida pelo transporte direto de matéria e na radiação a energia é transferida por meio de ondas eletromagnéticas.
16) A garrafa térmica, ou frasco de Dewar, pode ser considerada um recipiente de paredes adiabáticas, pois seu objetivo é evitar qualquer tipo de propagação de calor.
32) O processo de aquecimento de um fluido se dá por convecção, por isso a fonte de calor deve estar preferencialmente localizada na região superior desse fluido.
RESPOSTA: 04 + 08 + 16 = 28
2012
C (FUVEST 2012) Em uma sala fechada e isolada termicamente, uma geladeira, em funcionamento, tem, num dado instante, sua porta completamente aberta. Antes da abertura dessa porta, a temperatura da sala é maior que a do interior da geladeira. Após a abertura da porta, a temperatura da sala,
- a) diminui até que o equilíbrio térmico seja estabelecido.
- b) diminui continuamente enquanto a porta permanecer aberta.
- c) diminui inicialmente, mas, posteriormente, será maior do que quando a porta foi aberta.
- d) aumenta inicialmente, mas, posteriormente, será menor do que quando a porta foi aberta.
- e) não se altera, pois se trata de um sistema fechado e termicamente isolado.
C (IFSC 2012) O frasco de Dewar é um recipiente construído com o propósito de conservar a temperatura das substâncias que ali forem colocadas, sejam elas quentes ou frias. O frasco consiste em um recipiente de paredes duplas espelhadas, com vácuo entre elas e de uma tampa feita de material isolante. A garrafa térmica que temos em casa é um frasco de Dewar. O objetivo da garrafa térmica é evitar ao máximo qualquer processo de transmissão de calor entre a substância e o meio externo.
É CORRETO afirmar que os processos de transmissão de calor são:
- a) indução, condução e emissão.
- b) indução, convecção e irradiação.
- c) condução, convecção e irradiação.
- d) condução, emissão e irradiação.
- e) emissão, convecção e indução.
C (UFRN 2012) O uso de tecnologias associadas às energias renováveis tem feito ressurgir, em Zonas Rurais, técnicas mais eficientes e adequadas ao manejo de biomassa para produção de energia. Entre essas tecnologias, está o uso do fogão a lenha, de forma sustentável, para o aquecimento de água residencial. Tal processo é feito por meio de uma serpentina instalada no fogão e conectada, através de tubulação, à caixa d’água, conforme o esquema mostrado na Figura seguir.

Na serpentina, a água aquecida pelo fogão sobe para a caixa d’água ao mesmo tempo em que a água fria desce através da tubulação em direção à serpentina, onde novamente é realizada a troca de calor.
Considerando o processo de aquecimento da água contida na caixa d’água, é correto afirmar que este se dá, principalmente, devido ao processo de
- a) condução causada pela diminuição da densidade da água na serpentina.
- b) convecção causada pelo aumento da densidade da água na serpentina.
- c) convecção causada pela diminuição da densidade da água na serpentina.
- d) condução causada pelo aumento da densidade da água na serpentina.
2011
VVVFV (UPE 2011) Sobre os processos de transmissão do calor, analise as proposições a seguir e conclua.
( ) O calor sempre se propaga de um corpo com maior temperatura para um corpo de menor temperatura.
( ) Na transmissão de calor por condução, a energia térmica se propaga de partícula para partícula, sem que elas sejam transladadas.
( ) Na convecção, o calor se propaga por meio do movimento de fluidos de densidades diferentes.
( ) A irradiação térmica exige um meio material, para que ocorra a propagação de calor.
( ) O poder emissivo do corpo negro é proporcional à quarta potência de sua temperatura absoluta.
C (UTFPR 2011) A garrafa térmica tem como função manter seu conteúdo em temperatura praticamente constante durante um longo intervalo de tempo. É constituída por uma ampola de vidro cujas superfícies interna e externa são espelhadas para impedir a propagação do calor por __________. As paredes de vidro são más condutoras de calor evitando-se a __________ térmica. O vácuo entre as paredes da ampola dificulta a propagação do calor por ___________ e ____________.
Marque a alternativa que completa o texto corretamente:
- a) reflexão – transmissão – condução – irradiação.
- b) condução – irradiação – irradiação – convecção.
- c) irradiação – condução – convecção – condução.
- d) convecção – convecção – condução – irradiação.
- e) reflexão – irradiação – convecção – condução.
D (UNIMONTES 2011) Duas barras metálicas de comprimentos L1 e L2, de materiais diferentes, estão acopladas (ver figura abaixo). A barra de comprimento L1 possui condutividade térmica k1, e a barra de comprimento L2 possui condutividade térmica k2, sendo k1 > k2. As duas extremidades são mantidas a temperaturas fixas e diferentes, T1 e T2. Considere as três seções retas destacadas na figura. A seção reta 1 está na barra 1; a 2, na barra 2; a 3, na interface ou região de acoplamento das barras.
Pode-se afirmar corretamente que
- a) o fluxo de calor na seção reta 1 é maior que o fluxo de calor na seção reta 2.
- b) o fluxo de calor na seção reta 2 é maior que o fluxo de calor na seção reta 1.
- c) o fluxo de calor na interface é nulo.
- d) o fluxo de calor é o mesmo em qualquer uma das três seções retas.
E (IFSC 2011) A lei de Fourier, ou lei da condução térmica serve para analisar e quantificar o fluxo de calor através de um sólido. Ele relaciona esse fluxo de calor com o material, com a geometria do corpo em questão e à diferença de temperatura na qual está submetido.
Para aumentar o fluxo de calor de um corpo, sem alterar o material e a diferença de temperatura, deve-se…
- a) manter a área da secção transversal e aumentar a espessura (comprimento) do corpo.
- b) aumentar a área da secção transversal e a espessura (comprimento) do corpo.
- c) diminuir a área da secção transversal e a espessura (comprimento) do corpo.
- d) diminuir a área da secção transversal e aumentar a espessura (comprimento) do corpo.
- e) aumentar a área da secção transversal e diminuir a espessura (comprimento) do corpo.
D (UFRN 2011) O calor e suas formas de propagação se manifestam em diversas situações tanto na Natureza quanto nas atividades humanas. Assim, fenômenos aparentemente muito diferentes são semelhantes, quando analisados mais detidamente.
Veja-se, por exemplo: A energia do Sol que aquece nosso Planeta e a energia emitida pelo magnetron do forno de microondas, que aquece os alimentos colocados em seu interior, são fenômenos que envolvem propagação de calor.
Pode-se afirmar que as formas de propagação de energia entre o Sol e a Terra e entre o magnetron e os alimentos são, respectivamente
- a) convecção e condução.
- b) convecção e convecção.
- c) condução e radiação.
- d) radiação e radiação.
A (UFRN 2011) O Meio Ambiente é repleto de situações nas quais a variação de temperatura pode provocar belas mudanças na paisagem. Por exemplo, a placidez da superfície da água de um lago muda completamente para a rigidez da superfície de gelo quando uma frente fria provoca o congelamento da água. Nessa situação, algo ainda mais curioso acontece: a água fica congelada na superfície formando uma camada de gelo, mas continua no estado líquido abaixo dessa camada, permitindo assim a preservação da vida aquática. Tal fenômeno deve-se ao comportamento anômalo da densidade desse precioso líquido, mostrado no Gráfico abaixo.
O processo de troca de calor no interior do lago, entre as temperaturas inicial de 10oC e final de 0oC, permite entender o motivo pelo qual se forma uma camada de gelo na superfície enquanto, abaixo dela, a água permanece em estado líquido.
Destas informações, é correto concluir que:
- a) entre 4 °C e 0 °C, à medida que a temperatura diminui, a densidade da água diminui também, impedindo a troca de calor por convecção e permitindo o resfriamento da água por condução.
- b) entre 4 °C e 0 °C, à medida que a temperatura diminui, a densidade da água aumenta, permitindo a troca de calor por convecção e impedindo o resfriamento da água por condução.
- c) entre 10 °C e 4 °C, à medida que a temperatura diminui, a densidade da água diminui também, impedindo a troca de calor por condução e permitindo o resfriamento da água por convecção.
- d) entre 10 °C e 4 °C, à medida que a temperatura diminui, a densidade da água aumenta, permitindo a troca de calor por condução e impedindo o resfriamento da água por convecção.
2010
D (CEFET SC 2010) Em nossas casas, geralmente são usados piso de madeira ou de borracha em quartos e piso cerâmico na cozinha. Por que sentimos o piso cerâmico mais gelado?
- a) Porque o piso de cerâmica está mais quente do que o piso de madeira, por isso a sensação de mais frio no piso cerâmico.
- b) Porque o piso de cerâmica está mais gelado do que o piso de madeira, por isso a sensação de mais frio no piso cerâmico.
- c) Porque o piso de cerâmica no quarto dá um tom menos elegante.
- d) Porque o piso de madeira troca menos calor com os nossos pés, causando-nos menos sensação de frio.
- e) Porque o piso de cerâmica tem mais área de contato com o pé, por isso troca mais calor, causando sensação de frio.










