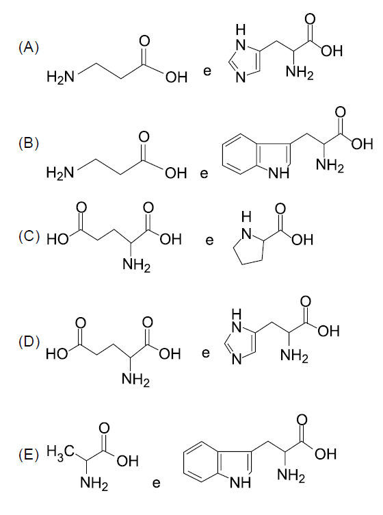
BIOQUÍMICA CAIU NO VESTIBULAR! 2018 A (FGV SP 2018) O dipeptídeo representado pela fórmula é uma substância empregada como complemento alimentar por fisiculturistas. Ele é o resultado da formação da ligação peptídica entre os aminoácidos 24 de julho de 2018 Renata Quartieri