CAIU NO ENEM
2019
E (ENEM 2019) Em um condomínio, uma área pavimentada, que tem a forma de um círculo com diâmetro medindo 6 m, é cercada por grama. A administração do condomínio deseja ampliar essa área, mantendo seu formato circular e aumentando em 8 m o diâmetro dessa região, mantendo o revestimento da parte já existente. O condomínio dispõe, em estoque, de material suficiente para pavimentar mais 100 m2 de área. O síndico do condomínio irá avaliar se esse material disponível será suficiente para pavimentar a região a ser ampliada. Utilize 3 como aproximação para π.
A conclusão correta a que o síndico deverá chegar, considerando a nova área a ser pavimentada, é a de que o material disponível em estoque:
- a) será suficiente, pois a área da nova região a ser pavimentada mede 21 m2.
- b) será suficiente, pois a área da nova região a ser pavimentada mede 24 m2.
- c) será suficiente, pois a área da nova região a ser pavimentada mede 48 m2.
- d) não será suficiente, pois a área da nova região a ser pavimentada mede 108 m2.
- e) não será suficiente, pois a área da nova região a ser pavimentada mede 120 m2.
B (ENEM 2019) Uma administração municipal encomendou a pintura de dez placas de sinalização para colocar em seu pátio de estacionamento.
O profissional contratado para o serviço inicial pintará o fundo de dez placas e cobrará um valor de acordo com a área total dessas placas.
O formato de cada placa é um círculo de diâmetro d = 40 cm, que tangencia lados de um retângulo, sendo que o comprimento total da placa é h = 60 cm, conforme lustrado na figura.
Use 3,14 como aproximação para π.
Qual é a soma das medidas das áreas, em centímetros quadrados, das dez placas?
- a) 16 628.
- b) 22 280.
- c) 28 560.
- d) 41 120.
- e) 66 240.
D (ENEM 2019) Construir figuras de diversos tipos, apenas dobrando e cortando papel, sem cola e sem tesoura, é a arte do origami (ori = dobrar; kami = papel), que tem um significado altamente simbólico no Japão. A base do origami é o conhecimento do mundo por base do tato.
Uma jovem resolveu construir um cisne usando técnica do origami, utilizando uma folha de papel de 18 cm por 12 cm. Assim, começou por dobrar a folha conforme a figura.
Após essa primeira dobradura, a medida do segmento AE é:
2018
C (ENEM 2018) O remo de assento deslizante é um esporte que faz uso de um barco e dois remos do mesmo tamanho. A figura mostra uma das posições de uma técnica chamada afastamento.
Nessa posição, os dois remos se encontram no ponto A e suas outras extremidades estão indicadas pelos pontos B e C. esses três pontos formam um trângulo ABC cujo ângulo BÂC tem medida de 170°. O tipo de triângulo com vértices nos pontos A, B e C, no momento em que o remador está nessa posição, é
- a) retângulo escaleno.
- b) acutângulo escaleno.
- c) acutângulo isósceles.
- d) obtusângulo escaleno.
- e) obtusângulo isósceles.
CAIU NO VESTIBULAR
2020
(ÁREA DE FIGURAS PLANAS) A (INSPER 2020-1) O editor de ciência da BBC, David Shukman, esteve na Amazônia brasileira para fazer uma reportagem para o site BBC News sobre o desmatamento na região. Segundo a reportagem feita, uma área do tamanho de um campo de futebol é destruída por minuto na região.
Considerando que as medidas oficiais de um campo de futebol são 90 metros por 120 metros, de acordo com os dados da reportagem, em 24 horas, a área destruída na região da Amazônia brasileira é, aproximadamente,
- a) 15,5 km2.
- b) 15 500 km2.
- c) 930 km2.
- d) 6 500 km2.
- e) 6,5 km2.
(ÁREA DE FIGURAS PLANAS/PORCENTAGEM) D (INSPER 2020-1) Os microplásticos são fragmentos de plásticos com dimensões micrométricas. Embora sua presença nos oceanos seja conhecida desde os anos 1970, apenas em 2004 o termo “microplástico” foi incorporado à literatura científica pelo pesquisador britânico Richard Thompson, professor de biologia marinha da Universidade de Plymouth, na Inglaterra. Os oceanos são o repositório de boa parcela do microplástico produzido em terra, uma vez que recebem as águas de rios, riachos e esgotos.
https://revistapesquisa.fapesp.br, julho de 2019. (Adaptado)
Observe o gráfico sobre a distribuição de fontes de microplástico nos oceanos do mundo:
Considerando que as áreas dos círculos são proporcionais ao respectivo percentual indicado e adotando raio R para o círculo que representa os têxteis sintéticos e raio r para o que representa os pneus de carros, com R e r medidos na mesma unidade, tem-se que R pode ser escrito em função de r da seguinte forma:
(ÁREA DE FIGURAS PLANAS) D (INSPER 2020-1) Um arquiteto fez o projeto de uma piscina a pedido de um cliente, conforme a figura.
A área destinada à piscina é obtida a partir da região comum de dois setores circulares, delimitada por um quadrado. Considerando π = 3,14, a superfície da piscina que será construída ocupará
- a) 78,5% da área do quadrado que a delimita.
- b) 21,5% da área do quadrado que a delimita.
- c) 71,5% da área do quadrado que a delimita.
- d) 57,0% da área do quadrado que a delimita.
- e) 28,5% da área do quadrado que a delimita.
2019
(ÁREA DE FIGURAS PLANAS) E (INSPER 2019-2) O gráfico indica a densidade demográfica d, em habitantes por km2, em função da área A, em km2, das cidades P e Q.

Se a área do triângulo PQR é igual a 30 000 unidades de área do sistema de eixos ortogonais, então a cidade
- a) P tem densidade demográfica de 2 250 hab/km2.
- b) Q tem 150 000 habitantes.
- c) Q tem 300 000 habitantes.
- d) P tem densidade demográfica de 2 000 hab/km2.
- e) Q tem 160 000 habitantes.
(ÁREA DE FIGURAS PLANAS) A (INSPER 2019-2) Um nanômetro (1 nm) corresponde a 10– 9 metros. Certo número x de quadrados idênticos de área igual a 64 nm2 foram justapostos e alinhados até perfazerem a extensão de 1 cm, como representado na figura.
O valor de x, em notação científica, é igual a
- a) 1,25 . 106
- b) 1,5625 . 105
- c) 8 . 10–7
- d) 8 . 10–11
- e) 1,25 . 108
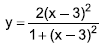
D (INSPER 2019-2) A figura mostra o desenho do projeto de um trecho de montanha-russa, feito na escala 1 : 500. O trecho desenhado, que vai do ponto P até o ponto Q, atinge altura mínima no ponto S e foi modelado pela função
, com a unidade dos eixos cartesianos em centímetros.
Se o trecho que liga P com S fosse um plano inclinado retilíneo, seu comprimento real seria igual a
- a) 3√38 m
- b) 24 m
- c) 30√34 m
- d) 3√34 m
- e) 30√38 m
D (INSPER 2019-2) A figura mostra o desenho do projeto de um trecho de montanha-russa, feito na escala 1 : 500. O trecho desenhado, que vai do ponto P até o ponto Q, atinge altura mínima no ponto S e foi modelado pela função
, com a unidade dos eixos cartesianos em centímetros.
No desenho do projeto, a distância entre os pontos S e R é igual a
- a) √6 cm
- b) 2√6 cm
- c) √2 cm
- d) √3 cm
- e) 2√3 cm








