Essential idea: Every living organism inherits a blueprint for life from its parents.
2015 – MAY – SL
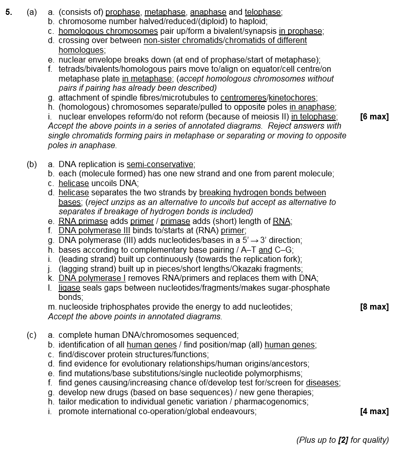
3.4 (IB 2015/MAY – SL P1/13D) (HL)
The feather colour of a certain breed of chicken is controlled by codominant alleles. A cross between a homozygous black-feathered chicken and a homozygous white-feathered chicken produces all speckled chickens. What phenotypic ratios would be expected from a cross between two speckled chickens?
A. All speckled
B. 1 black feathers : 1 white feathers
C. Speckled, black feathers and white feathers in equal numbers
D. 1 black feathers : 2 speckled feathers : 1 white feathers
3.4 (IB 2015/MAY – SL P1/14B) (HL)
The presence of freckles is a characteristic controlled by a dominant gene. Two parents who are heterozygous for the characteristic have three children, all of whom have freckles. Which statement is true if they have a fourth child?
A. There is a 100 % chance that their next child will have freckles.
B. There is a 75 % chance that their next child will have freckles.
C. There is a 50 % chance that their next child will have freckles.
D. The next child will have no freckles as the ratio is 3 with freckles to 1 without freckles.
3.4 (IB 2015/MAY – SL P1/15C) (HL)
What maximum number of different genotypes and phenotypes are possible among the children of a mother with blood group A and a father with blood group B?
3.4 (IB 2015/MAY – SL P1/16C) (HL)
The allele for tall T is dominant to the allele for dwarf t. Which of the following represents a test cross?
A. tt × tt
B. TT × Tt
C. Tt × tt
D. Tt × Tt
3.5 (IB 2015/MAY – SL P1/17C)
Which is the best definition of a clone?
A. Two organisms sharing the same parents
B. Groups of phenotypically identical organisms
C. Cells derived by mitosis from a single parent cell
D. Multiple gamete cells produced by an individual
3.5 (IB 2015/MAY HL P1/14B)
Which process can be used to amplify small fragments of DNA?
A. Gel electrophoresis
B. Polymerase chain reaction
C. DNA profiling
D. Electron microscopy
(IB 2015/MAY – SL P2/6)
(IB 2015/MAY – HL P2/5)
2014 – NOVEMBER
3.2 (IB 2014/NOV – SL P1/D) (HL)
After chorionic villus sampling, how is the material processed for karyotyping?
A. DNA is fingerprinted.
B. Genes are photographed.
C. Alleles are compared.
D. Homologous chromosomes are paired.
3.3 (IB 2014/NOV – SL P1/B) (HL)
When could non-disjunction occur?
A. Prophase
B. Meiosis
C. Interphase
D. Cytokinesis
3.4 (IB 2014/NOV – SL P1/A)
A purple-flowered plant of dominant phenotype is crossed with a white-flowered homozygous recessive plant. If there are many offspring and they are all purple, what is the genotype of the purple-flowered parent plant?
A. Homozygous dominant
B. Homozygous recessive
C. Heterozygous
D. Codominant
3.4 (IB 2014/NOV – SL P1/D) (HL)
What are the genotypes of the parental generation?
A. Male is homozygous dominant and female is homozygous recessive.
B. Male is heterozygous and female is homozygous dominant.
C. Male is homozygous recessive and female is homozygous dominant.
D. Male is homozygous recessive and female is heterozygous.
3.4 (IB 2014/NOV – SL P1/B)
If a woman has three male offspring, what is the probability that her next child will be female?
A. 25 %
B. 50 %
C. 75 %
D. 100 %
3.5 (IB 2014/NOV – SL P1/C)
After gene transfer between species, what ensures that the amino acid sequence of the polypeptide made using the transferred gene remains unchanged?
A. The genetic code is semi-conservative.
B. The genetic code is degenerate.
C. The genetic code is universal.
D. The genetic code can be cloned.
(IB 2014/NOV – HL P1/17B)
If both parents are heterozygous for sickle-cell anemia ( HbA HbS ), what percentage of their offspring will have a homozygous genotype?
A. 25
B. 50
C. 75
D. 0
2014 – MAY
3.1 (IB 2014/MAY – SL 1/13A)
What occurs during gene mutation?
A. Allele change
B. Crossing over
C. Non-disjunction
D. Evolution
3.3 (IB 2014/MAY – SL 1/14A) (HL)
What is the result after the first meiotic division of one diploid animal cell containing 2n chromosomes?
3.4 (IB 2014/MAY – SL 1/15C) (HL)
Which blood group genotype shows codominance?
A. IAIA
B. IBi
C. IAIB
D. ii
3.5 (IB 2014/MAY – SL 1/16B) (HL)
What term describes genetically identical organisms derived from a single parent?
A. Species
B. Clone
C. Family
D. Twins
3.5 (IB 2014/MAY – SL 1/17D)
How is the polymerase chain reaction (PCR) used in research?
A. Allows the separation of DNA fragments
B. Tests expression of many genes simultaneously
C. Permits identification of gene function
D. Duplicates a selected DNA fragment
3.5 (IB 2014/MAY – SL 1/18D) (HL)
What provides evidence for the universal nature of the genetic code?
A. Uracil replaces thymine in RNA.
B. The amount of A is equal to the amount of T and the amount of G is equal to the amount of C.
C. Nucleic acids contain the same bases in all species.
D. mRNA codons are assigned to the same amino acids in different species.
(IB 2014/MAY – SL P2/3)
(IB 2014/MAY – HL P2/6)
2013 – NOVEMBER – HL
3.4 (IB 2013/NOV – HL 1/C)
3.4 (IB 2013/NOV – HL 1/B)
3.4 (IB 2013/NOV – HL 1/A)
2013 – MAY
3.3 (IB 2013/MAY – SL P1/14D)
A body cell of a goat has 60 chromosomes. What would be produced following meiosis in the testis of a male goat?
A. 2 cells each with 60 chromosomes
B. 4 cells each with 60 chromosomes
C. 2 cells each with 30 chromosomes
D. 4 cells each with 30 chromosomes
3.3 (IB 2013/MAY – SL P1/15B)
Which of the following involves meiosis?
A. Tissue repair
B. Production of gametes
C. Asexual reproduction
D. Growth
3.2 (IB 2013/MAY – SL P1/16C)
What information can be concluded from the karyotype?
A. The person is a normal male.
B. The person is a normal female.
C. The person is a male with Down syndrome.
D. The person is a female with Down syndrome.
3.4 (IB 2013/MAY – SL P1/17B)
In guinea pigs black coat colour is dominant to white. In a test cross between a black and a white guinea pig both black and white offspring were produced. What percentage of the offspring would be expected to be white?
A. 75 %
B. 50 %
C. 33.3 %
D. 25 %
3.1 (IB 2013/MAY – SL P1/18D)
Organisms can be genetically modified to produce the human blood clotting factor IX. What characteristic of the genetic code makes this possible?
A. It is conservative.
B. It is degenerate.
C. It is complementary.
D. It is universal.
2012 – NOV
3.1 (IB 2012/NOV – SL P1/13C)
What is the name given to a heritable factor which controls a specific characteristic?
A. Allele
B. Chromosome
C. Gene
D. Mutation
3.4 (IB 2012/NOV – SL P1/14D)
What would be the expected result if a woman carrier for colour blindness and a colour blind man had many children?
A. All offspring will be colour blind.
B. All male offspring will be colour blind and all females normal.
C. All males will be normal and all females will be colour blind.
D. All females will be carriers of colour blindness or colour blind.
3.4 (IB 2012/NOV – SL P1/15C)
In peas, tall is dominant to dwarf. In a cross between a dwarf plant and a heterozygous tall plant what percentage of the offspring will be dwarf?
A. 0 %
B. 25 %
C. 50 %
D. 100 %
3.3 (IB 2012/NOV – SL P1/16A)
What commonly causes Down syndrome in humans?
A. Non-disjunction
B. Base substitution
C. Amniocentesis
D. Gene mutation
3.1 (IB 2012/NOV – SL P1/17D)
When genes are transferred between species, the amino acid sequence of the polypeptide translated from them is unchanged. Why is this so?
A. All organisms use ribosomes for protein synthesis.
B. DNA replication is semi-conservative.
C. The enzymes used are substrate specific.
D. The genetic code is universal.
2012 – MAY
3.3 (IB 2012/MAY – SL P1/14B)
If there are 16 chromosomes in a cell that is about to divide, what will be the number of chromosomes in a daughter cell after division by mitosis or meiosis?
3.4 (IB 2012/MAY – SL P1/15A)
Which of his grandparents must be a carrier if none of them had the disease?
A. Maternal grandmother (his mother’s mother)
B. Maternal grandfather (his mother’s father)
C. Paternal grandmother (his father’s mother)
D. Paternal grandfather (his father’s father)
3.4 (IB 2012/MAY – SL P1/16A)
His wife does not carry the hemophilia allele. What would be expected in their children?
3.1 (IB 2012/MAY – SL P1/17A)
What makes gene transfer between species possible?
A. All species use the same genetic code.
B. All species have the same genetic material.
C. All species produce the same polypeptides.
D. All species transcribe genes using plasmids.
2011 – NOV
3.1 (IB 2011/NOV – SL P1/14C)
Which statement is a definition of a gene?
A. The whole of the genetic information of an organism
B. The factor that affects the phenotype in the homozygous state
C. A heritable factor that controls a specific characteristic
D. The factor that affects the phenotype in the heterozygous state
3.3 (IB 2011/NOV – SL P1/15A)
Which of the following statements relate(s) to Down syndrome (trisomy 21)?
- It can be detected in chorionic villus samples.
- It results from non-disjunction in meiosis.
- It is caused by gene mutation.
A. I and II only
B. I and III only
C. II only
D. III only
3.4 (IB 2011/NOV – SL P1/17A)
In humans a V-shaped hair line is dominant to a straight hair line. A woman with a V-shaped hair line and a man with a straight hair line have children. The woman has a mother with a straight hair line. What is the proportion of children who are likely to have a V-shaped hair line?
A. Half of the children
B. A quarter of the children
C. All of the children
D. None of the children
3.5 (IB 2011/NOV – SL P1/18D)
Which technique causes fragments of DNA to move in an electric field?
A. Polymerase chain reaction (PCR)
B. Genetic modification
C. Therapeutic cloning
D. Gel electrophoresis
(IB 2011/NOV – SL P2/4)
2011 – MAY
3.2 (IB 2011/MAY – SL P1/14A)
Which of the following statements about homologous chromosomes is correct?
A. Each gene is at the same locus on both chromosomes.
B. They are two identical copies of a parent chromosome which are attached to one another at the centromere.
C. They always produce identical phenotypes.
D. They are chromosomes that have identical genes and alleles.
3.3 (IB 2011/MAY – SL P1/15A)
What happens in crossing over?
A. Exchange of genetic material between homologous chromosomes
B. Exchange of genes during metaphase of mitosis
C. Random distribution of chromosomes during meiosis
D. Homologous chromosomes fail to separate during meiosis
3.4 (IB 2011/MAY – SL P1/16D)
The pedigree chart below shows the blood types of three members of a family.
Which could be the blood types of individuals 1 and 2?
3.2 (IB 2011/MAY – SL P1/17A)
Which of the following types of information are needed to construct a karyotype?
- Size of the chromosomes
- Gene mutations of the chromosomes
- Age of the individual
A. I only
B. II only
C. I and II only
D. I, II and III
3.4 (IB 2011/MAY – SL P1/18A)
A woman who is a carrier for hemophilia and a man who does not have hemophilia have a child. What is the probability that the child will have hemophilia?
3.5 (IB 2011/MAY – SL P1/19D)
Which enzymes are needed to produce recombinant plasmids to be used in gene transfer?
A. DNA polymerase and DNA ligase
B. DNA polymerase and restriction enzyme (endonuclease)
C. Transcriptase and RNA polymerase
D. Restriction enzyme (endonuclease) and DNA ligase
3.5 (IB 2011/MAY – SL P2/3)
2010-NOV
3.1 (IB 2010/NOV – SL P1/13D)
What does the nucleus of a human lymphocyte contain?
A. Only the genes to produce a specific antigen
B. Only the genes to produce a range of antibodies
C. Only the genes that control the growth and development of a lymphocyte
D. The whole genetic information for a human
3.3 (IB 2010/NOV – SL P1/14C)
A cell in the testis of a male chimpanzee (Pan troglodytes) contains 48 chromosomes. It is about to undergo meiosis. How many molecules of DNA will be present in the nucleus of the sperm cells just after meiosis?
A. 96
B. 48
C. 24
D. 12
(IB 2010/NOV – SL P1/15A)
What is chorionic villus sampling?
A. Sampling cells from the placenta
B. Sampling cells from the fetal digestive system
C. Sampling fetal cells from the amniotic fluid
D. Sampling stem cells from the umbilical cord
3.5 (IB 2010/NOV – SL P1/16B)
How can fragments of DNA be separated?
A. Using polymerase chain reaction (PCR)
B. Using gel electrophoresis
C. Using gene transfer
D. Using gene cloning
(IB 2010/NOV – SL P1/17B)
To produce artificial erythrocytes for use in blood transfusions, tobacco plants have been genetically modified to produce human hemoglobin. The first three triplets of the human hemoglobin gene are:
ATG GTG CAT
What would be the first three triplets of the hemoglobin gene inserted into the genome of the modified tobacco plants?
A. TAC GTG GTA
B. ATG GTG CAT
C. TAC CAC GTA
D. GCA ACA TGC
2010-MAY
3.1 (IB 2010/MAY – SL P1/13D)
In some people, hemoglobin always contains the amino acid valine in place of a glutamic acid at one position in the protein. What is the cause of this?
A. An error in transcription of the hemoglobin gene
B. An error in translation of the mRNA
C. Lack of glutamic acid in the diet
D. A base substitution in the hemoglobin gene
3.4 (IB 2010/MAY – SL P1/14B)
What is a suspected heterozygous individual crossed with in a test cross?
A. Homozygous dominant
B. Homozygous recessive
C. Heterozygous dominant
D. Heterozygous recessive
3.2 (IB 2010/MAY – SL P1/15C)
What are homologous chromosomes?
A. Identical chromosomes
B. Non-identical chromosomes with different genes
C. Non-identical chromosomes with the same genes in the same sequence but not necessarily the same alleles
D. Non-identical chromosomes with the same genes in a different sequence and not necessarily the same alleles
3.5 (IB 2010/MAY – SL P1/16A)
Which processes involved in cloning an animal are indicated by the letters X and Y?
3.4 (IB 2010/MAY – SL P1/17C)
What type of inheritance is shown in this pedigree chart?
A. X-linked dominant
B. Y-linked dominant
C. X-linked recessive
D. Y-linked recessive





































