(IB 2010/NOV – SL P1/)
Essential idea: Living organisms control their composition by a complex web of chemical reactions.

2017 – NOV – HL
2.8 (IB 2017/NOV – HL /C)
A cricket was placed in a respirometer at constant temperature for ten minutes. The soap bubble moved along the pipette.
[Source: © International Baccalaureate Organization 2017]
What was measured by the movement of the soap bubble?
- Production of carbon dioxide
- Volume of excretory products
- Oxygen consumption
- Release of heat.
2015 – MAY – SL
2.2 (IB 2015/MAY – SL 1/B)
What property of water makes it suitable as a coolant?
A. It takes a lot of energy to increase the temperature of water.
B. It takes a lot of energy for water to evaporate.
C. Water molecules are cohesive and stick to the skin.
D. Water is a good solvent so it can transport heat from the body.
2.1 (IB 2015/MAY – SL 1/D)
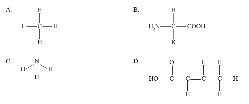
What are these molecules?
2.4 (IB 2015/MAY – SL 1/B)
Molecules A and B are amino acids and C is a dipeptide. Which reaction represents a condensation reaction?
2.3 (IB 2015/MAY – SL 1/C)
What is a difference between carbohydrates and lipids in energy storage?
A. Carbohydrates are used for long term storage and lipids for short term storage.
B. Carbohydrates contain more energy per 100 g than lipids.
C. Carbohydrates are more easily transported to where energy is required than lipids.
D. Carbohydrates store food only in plants whereas lipids store food in plants and animals.
2.7 (IB 2015/MAY – SL 1/A)
Which molecules are formed as a direct result of translation and transcription?
2.5 (IB 2015/MAY – SL 1/B)
Why does exposure to high temperatures cause an enzyme to lose its biological properties?
A. The substrate blocks the active site at high temperatures.
B. The three dimensional structure of the enzyme becomes changed.
C. Chemical reactions cannot take place at high temperatures.
D. High temperatures increase the activation energy of reactions.
2014 – NOVEMBER
2.2 (IB 2014/NOV – SL 1/A)
What characteristic(s) of water allow(s) effective transport of nutrients around the body by blood?
I. Solvent properties
II. Thermal capacity
III. Transparency
A. I only
B. I and II only
C. II and III only
D. I, II and III
2.5 (IB 2014/NOV – SL 1/B)
How can a change in pH stop an enzyme-catalysed reaction from occurring?
A. Collisions between enzyme and substrate are prevented.
B. The structure of the enzyme is altered.
C. There is too much product produced.
D. The active site is blocked by the substrate.
2.7 (IB 2014/NOV – SL 1/B)
During which process is messenger RNA (mRNA) formed?
A. Translocation
B. Transcription
C. Translation
D. Transmission
2.8 (IB 2014/NOV – SL 1/B)
What is the correct site of anaerobic respiration in yeast and one of its end products?
2.1 (IB 2014/NOV – SL 1/C)
Which compound is inorganic?
2.9 (IB 2014/NOV – SL 1/B)
What is light energy used for in photosynthesis?
A. To absorb carbon dioxide.
B. To split water molecules.
C. To oxidize organic compounds.
D. To make oxygen and hydrogen react.
2.3 (IB 2014/NOV – HL P1/B)
Which is a function of sucrose in plants?
A. Protection
B. Transport
C. Support
D. Photosynthesis
2.5 (IB 2014/NOV – HL P1/B)
What happens when the substrate concentration is increased in an enzyme-catalysed reaction?
A. The enzyme is denatured.
B. Competitive inhibition is reduced.
C. End-product inhibition occurs.
D. The allosteric site in non-competitive inhibition is blocked.
2.7 (IB 2014/NOV – HL P1/B)
During replication of the DNA lagging strand, which enzyme is responsible for removing RNA primers and replacing them with DNA?
A. Helicase
B. DNA polymerase I
C. DNA polymerase III
D. RNA primase
2.9 (IB 2014/NOV – HL P1/A)
What causes cyclic photophosphorylation to occur in photosynthesis?
A. Reduced NADP is accumulating in the stroma.
B. Photoactivation of photosystem II is inhibited.
C. Light-dependent reactions are slower than light-independent reactions.
D. ATP is not required for the Calvin cycle.
2014 – MAY
2.6 (IB 2014/MAY – SL P1/A)
Which parts of this nucleotide would bond covalently with other nucleotides in a DNA double helix?
A. 1 and 2 only
B. 1 and 3 only
C. 2 and 3 only
D. 1, 2 and 3
2.3 (IB 2014/MAY – SL P1/C)
Which is a disaccharide?
A. Fructose
B. Galactose
C. Lactose
D. Ribose
2.3 (IB 2014/MAY – SL P1/B)
What process forms triglycerides?
A. Evaporation
B. Condensation
C. Hydrolysis
D. Glycolysis
2.3 (IB 2014/MAY – SL P1/C)
How much energy is stored in 1 kg of body fat compared to 1 kg of glycogen?
A. Half as much
B. Same amount
C. Twice as much
D. One tenth as much
2.7 (IB 2014/MAY – SL P1/A)
Which nucleic acids are directly involved in transcription?
A. mRNA and one DNA strand
B. mRNA and both DNA strands
C. tRNA and both DNA strands
D. tRNA and one DNA strand
2.9 (IB 2014/MAY – SL P1/D)
Which substances are made during photosynthesis and store energy that can be used by cells?
A. Carbon dioxide and glucose
B. ATP and water
C. Water and glucose
D. Glucose and ATP
2013 – NOVEMBER – HL
2.1 (IB 2013/NOV – HL 1/C)
2.6 (IB 2013/NOV – HL 1/D)
2.8 (IB 2013/NOV – HL 1/B)
2.5 (IB 2013/NOV – HL 1/D)
2.7 (IB 2013/NOV – HL 1/D)
2013 – MAY
2.2 (IB 2013/MAY – SL P1/5A)
Water shows strong cohesive properties. Which of the following can occur because of the cohesive properties of water?
A. Water can be pulled up a plant through the xylem.
B. Enzymes can react with their substrates in cells.
C. Sweating cools the body on a hot day.
D. Salt can dissolve in sea water.
2.3 (IB 2013/MAY – SL P1/6C)
Which molecules are monosaccharides?
A. starch, glycogen, cellulose
B. sucrose, maltose, lactose
C. fructose, glucose, galactose
D. glucose, lactose, cellulose
2.3 (IB 2013/MAY – SL P1/7A)
What process occurs when fatty acids combine with glycerol to make a triglyceride?
A. Condensation
B. Decarboxylation
C. Denaturation
D. Hydrolysis
2.6 (IB 2013/MAY – SL P1/10B)
What links the pairs of complementary bases in a DNA double helix?
A. Covalent bonds
B. Hydrogen bonds
C. Ionic bonds
D. Peptide bonds
2.5 (IB 2013/MAY – SL P1/11C)
Which graph shows the effect of increasing substrate concentration on enzyme activity?
2.8 (IB 2013/MAY – SL P1/12D)
What substance is produced from glucose during anaerobic respiration in all organisms?
A. Carbon dioxide
B. Ethanol
C. Lactate
D. Pyruvate
2.9 (IB 2013/MAY – SL P1/13D)
What is the source of the oxygen released into the atmosphere in photosynthesis?
A. Glucose
B. Carbon dioxide
C. Chlorophyll
D. Water
2.3 (IB 2013/MAY – HL P1/6C)
Which molecules are monosaccharides?
A. starch, glycogen, cellulose
B. sucrose, maltose, lactose
C. fructose, glucose, galactose
D. glucose, lactose, cellulose
2.7 (IB 2013/MAY – HL P1/7D)
The base sequence of a fragment of DNA is:
ACC GTG CAG GAT
What is the base sequence on the messenger RNA (mRNA) molecule transcribed from it?
A. TGG CAC GTC CTA
B. TGG CUC GTC CTU
C. UGG CTC GUC CUT
D. UGG CAC GUC CUA
2.5 (IB 2013/MAY – HL P1/8C)
Which graph shows the effect of increasing substrate concentration on enzyme activity?
2.5 (IB 2013/MAY – HL P1/9A)
What is produced when the enzyme lactase is added to milk?
A. Glucose and galactose
B. Lactose
C. Glucose and fructose
D. Lactic acid
2.8 (IB 2013/MAY – HL P1/10D)
In cell respiration, what is the name of the process where glucose is broken down into pyruvate?
A. Electron transport chain
B. Krebs cycle
C. Link reaction
D. Glycolysis
2012 – NOVEMBER
2.1 (IB 2012/NOV – SL P1/8A)
Which structure represents a fatty acid?
2.6 (IB 2012/NOV – SL P1/9A)
The diagram shows part of a DNA molecule.
What type of bond does X represent?
A. Covalent bond
B. Hydrogen bond
C. Peptide bond
D. Semi-conservative bond
2.7 (IB 2012/NOV – SL P1/10D)
What will be the sequence on the mRNA molecule that is produced when the DNA base sequence ACTGATGCC is transcribed?
A. ACTGATGCC
B. ACUGAUGCC
C. TGACTACGG
D. UGACUACGG
2.8 (IB 2012/NOV – SL P1/11C)
The diagram shows anaerobic respiration in yeast cells.
A. ATP
B. Lactate
C. Ethanol and CO2
D. CO2 and H2O
2.9 (IB 2012/NOV – SL P1/12C)
What is the energy absorbed by chlorophyll used directly for in plants?
I. To produce ATP
II. To split water
III. To fix CO2
A. I only
B. III only
C. I and II only
D. II and III only
2012 – MAY
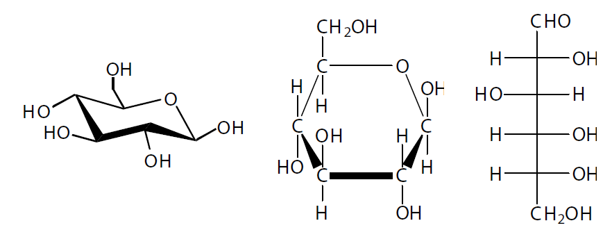
2.1 (IB 2012/MAY – SL P1/6B)
The diagrams show three representations of the structure of the same chemical substance.
What chemical substance is shown?
A. Ribose
B. Glucose
C. Fatty acid
D. Amino acid
2.7 (IB 2012/MAY – SL P1/7D)
The diagram shows the translation of a mRNA molecule.
A tRNA molecule with anticodon CAG carries the amino acid phenylalanine. Which codon of mRNA will the tRNA join?
A. CTG
B. CAG
C. GTC
D. GUC
2.7 (IB 2012/MAY – SL P1/9A)
What is formed during transcription?
A. RNA strand complementary to DNA strand, formed by RNA polymerase
B. DNA strand complementary to DNA strand, formed by DNA polymerase
C. RNA strand complementary to RNA strand, formed by DNA polymerase
D. DNA strand complementary to RNA strand, formed by RNA polymerase
2.5 (IB 2012/MAY – SL P1/10A)
How does an increase in temperature affect enzyme activity?
2.9 (IB 2012/MAY – SL P1/11B)
What are the effects of changing carbon dioxide concentration on the rate of photosynthesis?
I. At low and moderate carbon dioxide concentrations, decreases cause the rate of photosynthesis to fall.
II. At high carbon dioxide concentrations, increases do not alter the rate of photosynthesis.
III. At high carbon dioxide concentrations, increases cause the rate of photosynthesis to fall.
A. I only
B. I and II only
C. I and III only
D. III only
2011 – NOV
2.1 (IB 2011/NOV – SL P1/7B)
What substance is represented by this structure?
A. Glycerol
B. Fatty acid
C. Cellulose
D. Glycogen
2.3 (IB 2011/NOV – SL P1/8A )
What is a function of cellulose in plants?
A. To form a mesh of fibres in the cell wall
B. To prevent mineral ions from diffusing out of the cell
C. To prevent water loss
D. To capture blue and red light photons
2.6 (IB 2011/NOV – SL P1/10C)
Question refer to the following diagram of DNA.
What does the structure labelled X represent?
A. Hydrogen bond
B. Phosphate
C. Covalent bond
D. Base
2.6 (IB 2011/NOV – SL P1/11B)
Question refer to the following diagram of DNA.
What does the structure labelled Y represent?
A. Ribose
B. Thymine
C. Guanine
D. Deoxyribose
2.3 (IB 2011/NOV – SL P1/12D)
Which statement describes glycogen?
A. It is a hormone involved in the control of blood glucose.
B. It is a component of the cell wall in plants.
C. It is a monosaccharide converted to pyruvate during cell respiration.
D. It is a polysaccharide found in animals.
2.9 (IB 2011/NOV – SL P1/13A)
Which of the following is a role of ATP in photosynthesis?
A. It provides the energy to make carbohydrate molecules.
B. It splits water molecules to form oxygen and hydrogen.
C. It breaks down pyruvate into carbon dioxide.
D. It converts light energy into chemical energy.
2011 – MAY
2.2 (IB 2011/MAY – SL P1/7D)
Which of the following are connected by hydrogen bonds?
A. Hydrogen to oxygen within a molecule of water
B. Phosphate to sugar in a DNA molecule
C. Base to sugar in a DNA molecule
D. Hydrogen to oxygen between two different molecules of water
2.5 (IB 2011/MAY – SL P1/8C)
The graph below shows the effect of substrate concentration on enzyme activity. What conclusion can be drawn about section X of the graph?
A. The enzyme has started to denature and the reaction slows down.
B. The reaction has finished and the substrate has been used up.
C. The enzyme is saturated and is working at its maximum reaction rate.
D. Some of the enzyme has been consumed and the reaction has reached a plateau.
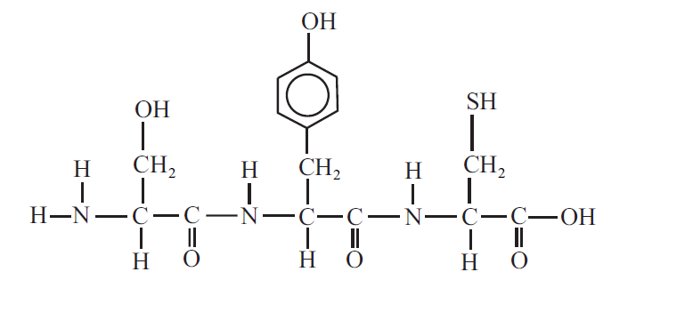
2.1 (IB 2011/MAY – SL P1/9A)
Which type of molecule is shown in the diagram below?
A. Peptide
B. Carbohydrate
C. Lipid
D. Nucleic acid
2.6 (IB 2011/MAY – SL P1/10D)
The percentage of thymine in the DNA of an organism is approximately 30 %. What is the percentage of guanine?
A. 70 %
B. 30 %
C. 40 %
D. 20 %
2.4 (IB 2011/MAY – SL P1/11A)
What is denaturation?
A. A structural change of a protein that results in the loss of its biological properties
B. A change in the genetic code of an organism
C. A change in the amino acid sequence of a protein causing a disruption of its 3D shape
D. The process by which amino acids are broken down and ammonia is released
2.8 (IB 2011/MAY – SL P1/12D)
How do cells capture the energy released by cell respiration?
A. They store it in molecules of carbon dioxide.
B. They produce glucose.
C. The energy is released as pyruvate.
D. They produce ATP.
2.9 (IB 2011/MAY – SL P1/13C)
What is the source of the oxygen released into the air as a product of photosynthesis?
A. Chlorophyll
B. Carbon dioxide only
C. Water only
D. Both water and carbon dioxide
2010 – NOV
2.2 (IB 2010/NOV – SL P1/7B)
Which diagram best illustrates the interactions between water molecules?
2.4 (IB 2010/NOV – SL P1/8B)
What chemical reaction is taking place when a dipeptide becomes two amino acids?
A. Condensation
B. Hydrolysis
C. Denaturation
D. Polymerization
2.6 (IB 2010/NOV – SL P1/9B)
The base ratios in the DNA and RNA for an onion (Allium cepa) are given below.
What is the reason for the difference between these figures?
A. DNA is only found in the nucleus but RNA is found throughout the cell.
B. DNA is made entirely of double helix but RNA is not.
C. In DNA bases A and T are complementary but in RNA bases A and C are complementary.
D. RNA comes in three forms but DNA only comes in one form.
2.5 (IB 2010/NOV – SL P1/10A)
Which of the following will cause an enzyme to permanently lose its properties?
I. Hydrolysis
II. Freezing to –20 °C
III. Dissolving it in water
A. I only
B. II only
C. I and II only
D. I and III only
2.6 (IB 2010/NOV – SL P1/11C)
What is lactase used for?
A. It is used to make sugar-free milk.
B. It hydrolyses lactose to glucose and fructose.
C. It improves the digestion of milk by some people.
D. It decreases the acidity of the milk.
2.9 (IB 2010/NOV – SL P1/12A)
How can the rate of photosynthesis of a plant be directly measured?
A. By measuring the rate of oxygen produced
B. By measuring the rate of carbon dioxide produced
C. By measuring the rate of plant growth
D. By measuring the rate of light absorbed
2010 – MAY
2.4 (IB 2010/MAY – SL P1/7C)
Which substance in prokaryotes contains sulfur?
A. DNA
B. Phospholipids
C. Proteins
D. Antibiotics
2.1 (IB 2010/MAY – SL P1/8D)
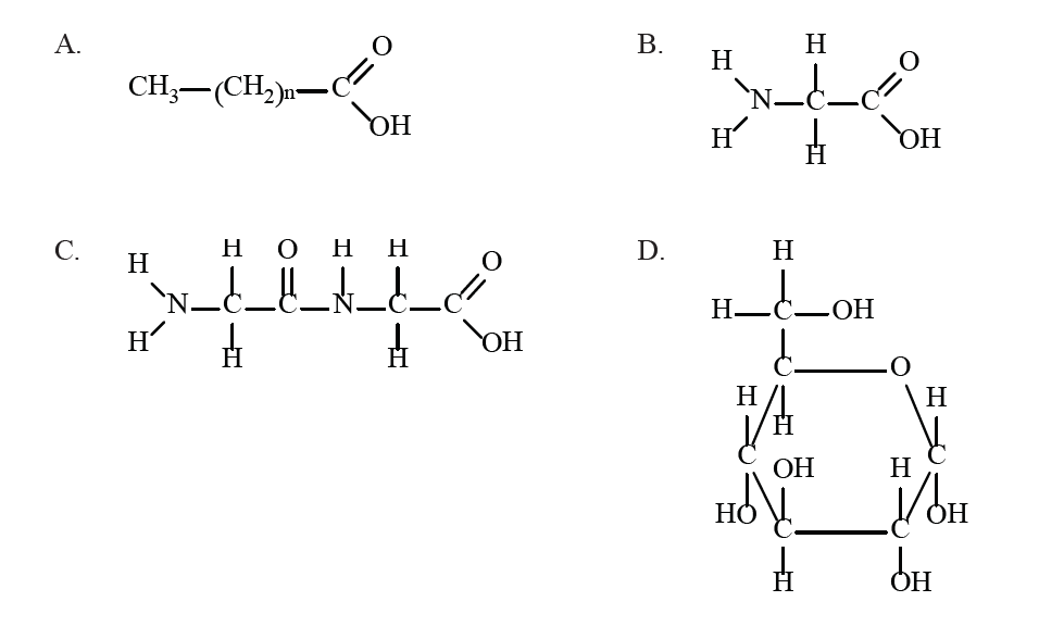
Which describes these molecules correctly/?
2.7 (IB 2010/MAY – SL P1/9D)
What sequence of processes is carried out by the structure labelled X during translation?
A. Combining with an amino acid and then binding to an anticodon
B. Binding to an anticodon and then combining with an amino acid
C. Binding to a codon and then combining with an amino acid
D. Combining with an amino acid and then binding to a codon
2.8 (IB 2010/MAY – SL P1/10B)
The diagram below shows a biochemical pathway in a yeast cell. Which of the following correctly identifies a compound in the diagram?
A. I is fat.
B. II is pyruvate.
C. III is lactate.
D. IV is carbon dioxide.
2.6 (IB 2010/MAY – SL P1/11B)
The following diagram shows a short stretch of DNA. What bases are indicated by labels Y and Z?
2.9 (IB 2010/MAY – SL P1/12D)
A plant is exposed to increasing light intensity from very dim to bright light, while the carbon dioxide concentration and temperature are kept at an optimum level. What will happen to the rate of oxygen production?
A. It will increase exponentially.
B. It will remain constant.
C. It will decrease to a minimum level.
D. It will increase to a maximum level.
2009 – NOV
2.1 (IB 2009/NOV – HL P1/5A)
Which of the following chemical elements are part of biochemical molecules in living organisms?
A. nitrogen, sulfur, phosphorus and iron
B. lead, oxygen, carbon and phosphorus
C. helium, carbon, sulfur and nitrogen
D. silicon, helium, oxygen and iron
2.6 (IB 2009/NOV – HL P1/6C)
The diagram below represents part of the DNA molecule.

What are the parts labelled I, II and III?
2.7 (IB 2009/NOV – HL P1/7A)
What principle is necessary to preserve the sequence of DNA during replication?
A. Base pairing is complementary.
B. One gene codes for one polypeptide.
C. Substrates are specific to enzymes.
D. The genetic code is universal.
2.7 (IB 2009/NOV – HL P1/8D)
What happens during translation?
A. Copying of DNA to produce DNA
B. Copying of DNA to produce mRNA
C. Copying of DNA to produce tRNA
D. Polypeptide synthesis
2.8 (IB 2009/NOV – HL P1/9A)
Which equation shows a chemical reaction that occurs during anaerobic cell respiration?
2.9 (IB 2009/NOV – HL P1/10D)
Oxygen is produced during photosynthesis. What is the source of this oxygen inside the plant?
A. Air spaces in the leaf
B. Carbon dioxide
C. Glucose
D. Water
2009 – MAY
2.2 (IB 2009/MAY – SL P1/8B)
Which diagram represents the polarity of a water molecule?
2.3 (IB 2009/MAY – SL P1/9B)
Which of these molecules is a disaccharide?
A. Galactose
B. Sucrose
C. Cellulose
D. Ribose
2.6 (IB 2009/MAY – SL P1/10B)
What is a codon?
A. A sequence of nucleotides on rRNA that corresponds to an amino acid
B. A sequence of nucleotides on mRNA that corresponds to an amino acid
C. A sequence of nucleotides on tRNA that corresponds to an amino acid
D. A sequence of nucleotides on DNA that corresponds to an amino acid
2.5 (IB 2009/MAY – SL P1/11B)
What happens as an enzyme becomes denatured?
A. The enzyme works faster.
B. The enzyme works slower.
C. The enzyme can perform a new role.
D. The enzyme can make the reverse reaction proceed faster.
2.8 (IB 2009/MAY – SL P1/12A)
What happens during the pathway of glycolysis?
A. Glucose is broken down into pyruvate.
B. Carbon dioxide is produced.
C. More ATP is consumed than is produced.
D. Lactic acid is produced.
2.9 (IB 2009/MAY – SL P1/13C)
What is light energy used for during photosynthesis?
A. To produce carbon dioxide
B. To produce water molecules
C. To produce ATP
D. To break down sugar molecules
2008 – NOV
(IB 2008/NOV – SL P1/6B)
Which of the following contain the element phosphorus?
A. Amino acids
B. Viruses
C. Ribose
D. Deoxyribose
(IB 2008/NOV – SL P1/7A)
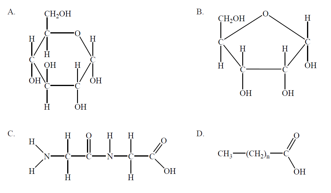
Which diagram correctly illustrates a glucose molecule?
(IB 2008/NOV – SL P1/8A)
The following diagram shows the effect of temperature on enzyme activity. What explains the lack of activity at high temperatures?
A. The active site no longer has the required shape.
B. All the substrate has been used.
C. All the enzyme has been used.
D. The active site is completely filled with substrate.
(IB 2008/NOV – SL P1/9A)
Which of the following correctly show the process and location for pyruvate formation?
(IB 2008/NOV – SL P1/10B)
A molecule has two guanines, one cytosine, three riboses and three phosphates arranged in a single strand. What kind of molecule is this?
A. DNA
B. RNA
C. A triplet of DNA nucleotides
D. A polysaccharide
(IB 2008/NOV – SL P1/11B)
In photosynthesis, light energy is used to split water molecules. Which products are formed and what is the name of the reaction?
2008 – MAY
(IB 2008/MAY – SL P1/6D)
(IB 2008/MAY – SL P1/7B)
Which diagram correctly illustrates a dipeptide?
(IB 2008/MAY – SL P1/8A)
(IB 2008/MAY – SL P1/9D)
(IB 2008/MAY – SL P1/10D)
B. Most of the blue light is absorbed by chlorophyll and most of the red and green light is reflected.
C. Most of the red light is absorbed by chlorophyll and most of the green and blue light is reflected.
D. Most of the red and blue light is absorbed by chlorophyll and most of the green light is reflected.
(IB 2008/MAY – SL P1/11A)
How would the following DNA sequence, ACGTTGCATGGCA, be transcribed?
A. UGCAACGUACCGU
B. TGCAACGTACCGT
C. ACGTTGCATGGCA
D. ACGUUGCAUGGCA
2007 – NOV
(IB 2007/NOV – SL P1/5D)
Which substance is a base found in RNA?
A. Ribose
B. Thymine
C. Adenosine
D. Uracil
(IB 2007/NOV – SL P1/6D)
What type of bond holds the complementary base pairs together in a double helix of DNA?
A. Covalent bonds
B. Peptide bonds
C. Glycosidic bonds
D. Hydrogen bonds
(IB 2007/NOV – SL P1/7B)
During the process of translation which of the following statements describes the relationship between nucleic acids?
A. Anticodons on mRNA bind to complementary codons on DNA.
B. Anticodons on tRNA bind to complementary codons on mRNA.
C. Bases on DNA bind to complementary bases on mRNA.
D. A single strand of mRNA is produced from the DNA in the nucleus.
(IB 2007/NOV – SL P1/8D)
What chemical substances are used during the manufacture of organic molecules in photosynthesis?
I. Hydrogen
II. ATP
III. Carbon dioxide
A. I and III only
B. I and II only
C. II and III only
D. I, II and III
2007 – MAY
(IB 2007/MAY – SL P1/6A)
In which compounds would a double bond link carbon to oxygen (C
O)?
I. Amino acid
II. Fatty acid
III. Glycerol
A. I and II only
B. II and III only
C. I and III only
D. I, II and III
(IB 2007/MAY – SL P1/7B)
During the process of replication, which bond(s) in the diagram of DNA below is/are broken?
A. 3
B. 4, 5
C. 1, 2, 6, 7
D. 1, 7, 4, 5
(IB 2007/MAY – SL P1/8B)
Why is the genetic code described as degenerate?
A. Some codons can cause translation to stop.
B. More than one codon can represent one amino acid.
C. The genetic code is the same in all organisms.
D. Codons can change through mutation.
(IB 2007/MAY – SL P1/9C)
What is the maximum number of fatty acids that can be condensed with glycerol?
A. One
B. Two
C. Three
D. Four
(IB 2007/MAY – SL P1/10D)
Which row in the table describes the first stage of cellular respiration?
2006 – NOV
2006 – MAY
2005 – NOV
2005 – MAY
OTHERS
(IB/A)
(IB/A)
(IB/B)
(IB/A)
(IB/D)
(IB/D)
(IB/B)
(IB/B)
(IB/D)
(IB/D)
(IB/D)
(IB/C)
(IB/B)
(IB/D)
(IB/B)
(IB/C)
(IB/B)
(IB/D)
(IB/C)
(IB/A)
(IB/A)
(IB/B)
(IB/B)
(IB/C)
(IB/A)
(IB/D)
(IB/A)

































































