RESUMO
ELEMENTOS DE UMA ELIPSE
- F1 e F2 são os focos;
- 2c é a distância focal
- A1A2 é o eixo maior;
- 2a é o comprimento do eixo maior;
- B1B2 é o eixo menor;
- 2b é o comprimento do eixo menor.
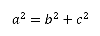
RELAÇÃO FUNDAMENTAL
EXCENTRICIDADE
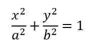
ELIPSE COM CENTRO NA ORIGEM E EIXO MAIOR SOBRE O EIXO x
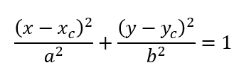
ELIPSE COM EIXO MAIOR SOBRE O EIXO x
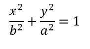
ELIPSE COM CENTRO NA ORIGEM E EIXO MAIOR SOBRE O EIXO y
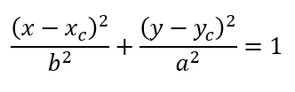
ELIPSE COM EIXO MAIOR SOBRE O EIXO y








