3 – VELOCIDADE E ACELERAÇÃO
CONTEÚDO: Aceleração. Páginas 34 a 38.
EXERCÍCIOS DE AULA: Apostila Positivo (Página 36 – 1, 2, 3 e 5; Página 38 – 2).
LIÇÃO DE CASA: Apostila Positivo (Página 36 – 3 e 6; Página 38 –1, 3 e 4; Página 44 – 5, 6 e 7).
3 – VELOCIDADE E ACELERAÇÃO
ACELERAÇÃO
É a rapidez com que a velocidade de um corpo varia.
O vetor aceleração possui duas componentes: a aceleração tangencial e a aceleração centrípeta:
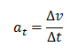
– ACELERAÇÃO TANGENCIAL (at)
Altera o módulo do vetor velocidade.
Seu módulo é dado por:
Exemplo: Calcular a aceleração de cada um dos corpos cujo movimento está representado no gráfico.
– ACELERAÇÃO CENTRÍPETA (ac)
Altera a direção do vetor velocidade.







