4 – ONDAS ESTACIONÁRIAS
CONTEÚDO: Cordas sonoras. Páginas 45 a 48.
EXERCÍCIOS DE AULA: Apostila Positivo (Página 48 – 2, 3 e 6).
LIÇÃO DE CASA: Apostila Positivo (Página 48 – 1, 4 e 5; Página 54 – 1, 2, 3 e 4).
4 – ONDAS ESTACIONÁRIAS
CORDAS SONORAS

– VELOCIDADE DAS ONDAS EM CORDAS
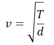
Equação de Taylor:
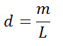
onde T é a tração que tensiona a corda e d é a densidade linear da corda (razão entre a massa e o comprimento da corda):

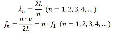
– HARMÔNICOS
Uma corda pode vibrar emitindo um conjunto de frequências (harmônicos). Esses harmônicos são múltiplos inteiros da menor frequência que ela pode emitir (1º harmônico ou frequência fundamental). Para qualquer harmônico obtido em cordas sonoras:



