4 – ONDAS ESTACIONÁRIAS
CONTEÚDO: Tubos sonoros. Páginas 49 a 55.
EXERCÍCIOS DE AULA: Apostila Positivo (Página 53 – 1, 2 , 3 e 4).
LIÇÃO DE CASA: Apostila Positivo (Página 53 – 5 e 6; Página 54 –5, 6, 7, 8, 9 e 10).
4 – ONDAS ESTACIONÁRIAS
TUBOS SONOROS
Os instrumentos de sopro são tubos sonoros. Saxofone, trombone, trompete e flauta são alguns exemplos.

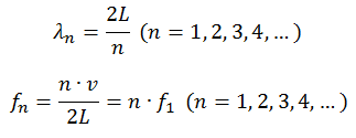
– TUBO ABERTO

- Possuem duas extremidades abertas.
- A onda estacionária forma ventres nas duas pontas do tubo.
- O número de nós equivale ao número do harmônico.
Valem as mesmas equações usadas na aula passada:

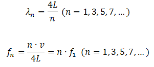
- Possuem uma extremidade aberta e outra fechada.
- A onda estacionária forma ventre na extremidade aberta e nó na extremidade fechada.
- O número de semifusos (λ/4) equivale ao número do harmônico. Não existem harmônicos pares.
Valem as equações:



