8 – GRANDEZAS VETORIAIS DA ELETROSTÁTICA
CONTEÚDO: Campo elétrico. Páginas 26 a 35.
EXERCÍCIOS DE AULA: Apostila Positivo (Página 33 – 1 a 6)
LIÇÃO DE CASA: Apostila Positivo (Página 34 – 1 a 12)
8 – GRANDEZAS VETORIAIS DA ELETROSTÁTICA
CAMPO ELÉTRICO
É uma deformação no espaço que ocorre devido à presença de uma carga elétrica e é representado pelas linhas de força.

O campo elétrico é uma grandeza vetorial (precisa de um módulo, uma direção e um sentido para ser definido) e sua unidade é o N/C ou o V/m, que são equivalentes.
Podemos pensar no campo elétrico como sendo uma “aura” que envolve toda e qualquer carga elétrica não existindo carga elétrica sem seu respectivo campo elétrico. O campo elétrico é uma parte real, mas não material, de qualquer carga elétrica, e é impossível desvincular uma carga elétrica de seu próprio campo elétrico. Se a carga elétrica se movimentar, seu campo elétrico acompanha o movimento.

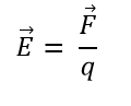
Determinação do campo elétrico em função da força
O campo elétrico gerado por uma carga puntiforme e fixa é igual à razão entre a força elétrica e a carga de prova.
A sua direção é a mesma de F e o seu sentido depende do sinal da carga de prova: se q > 0, o sentido é o mesmo da força; se q < 0, o sentido é contrário ao da força.

A carga de prova é a carga que não está fixa. Ela é assim chamada porque se ela se movimentar prova que naquela região existe um campo elétrico externo a ela.
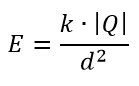
Determinação do campo elétrico em função da carga geradora
O módulo do vetor campo elétrico gerado por uma carga fixa Q, num ponto P, situado a uma distância d da carga, é dado por:
Resultantes de campos elétricos
O campo elétrico resultante é a soma vetorial dos campos elétricos individuais.

Linhas de força
Características das linhas de força:
- Partem sempre da carga positiva e chegam na carga negativa;
- O vetor campo elétrico e o vetor força elétrica são sempre tangentes às linhas de força do campo elétrico;
- As linhas de força nunca se cruzam (a tangente é única);
- O campo elétrico é tão mais intenso quanto mais próximas estiverem as linhas de força;
Representando as linhas de força:
- Linhas de força de cargas isoladas

- Atração entre uma carga positiva e uma negativa

- Repulsão entre cargas positivas:

Campo elétrico uniforme (CEU)
Um campo elétrico é uniforme quando em qualquer ponto dessa região o vetor campo elétrico possuir o mesmo módulo, a mesma direção e o mesmo sentido.
Ele é gerado por placas paralelas carregadas com cargas de mesmo módulo e sentidos contrários.



