9 – GRANDEZAS ESCALARES DA ELETROSTÁTICA
CONTEÚDO: Energia potencial elétrica e potencial elétrico. Páginas 36 a 40.
EXERCÍCIOS DE AULA: Apostila Positivo (Página 40 – 3, 4 e 5)
LIÇÃO DE CASA: Apostila Positivo (Página 40 – 1, 2, 6 e 7)
9 – GRANDEZAS ESCALARES DA ELETROSTÁTICA

ENERGIA POTENCIAL ELÉTRICA
A energia potencial é um tipo de energia que é armazenada para futuramente se transformar em energia cinética. No caso da energia potencial elétrica, é uma energia armazenada nos elétrons que faz com que eles possam se movimentar.
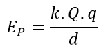
A energia potencial elétrica não pode ser definida para uma única carga, mas sim para um sistema de duas cargas e calculada por:
Na equação acima não devemos omitir o sinal das cargas, pois se trata de uma grandeza escalar.
A unidade no SI de energia é o joule (J).
POTENCIAL ELÉTRICO
Potencial elétrico (V) é a grandeza escalar que avalia, em cada ponto do espaço sujeito a um campo elétrico, quanta energia potencial elétrica é armazenada por unidade de carga elétrica. Sua unidade no SI é o volt (V).
- Para pontos infinitamente distantes, o potencial elétrico é nulo.
- Para cargas positivas, quanto mais distante o ponto estiver da carga, menor é módulo do potencial elétrico.
- Para cargas negativas, quanto mais distante o ponto estiver da carga, maior é o módulo do potencial elétrico.
- O potencial elétrico diminui no sentido da linha de força.
Potencial elétrico para um sistema de cargas
O potencial resultante de um certo ponto, devido a ação de várias cargas, é a soma algébrica dos potenciais individuais das mesmas cargas naquele ponto.
Diferença de potencial (U)
É a diferença entre o potencial de dois pontos de um campo elétrico. A diferença de potencial entre os pontos A e B é:

Cada fio tem um valor de potencial. Quando usamos uma fase e um neutro estamos estabelecendo uma diferença de potencial. Mesmo que o fio esteja desencapado, os passarinhos não levam choque porque só tocam em um fio.





