9 – GRANDEZAS ESCALARES DA ELETROSTÁTICA
CONTEÚDO: Trabalho da Força elétrica. Páginas 41 a 45.
EXERCÍCIOS DE AULA: Apostila Positivo (Página 43 – 1 a 6)
LIÇÃO DE CASA: Apostila Positivo (Página 44 – 1 a 12)
9 – GRANDEZAS ESCALARES DA ELETROSTÁTICA

TRABALHO DA FORÇA ELÉTRICA
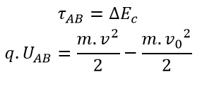
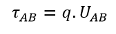
Trabalho é a energia transferida ou transformada devido à aplicação de uma força. O trabalho da força elétrica para deslocar uma carga q de um ponto A até um ponto B é dado por:

No caso do trabalho da força elétrica a energia potencial elétrica vai ser transformada em energia cinética (e vice-versa) através da atuação da força elétrica. Assim, podemos relacionar o trabalho da força elétrica com a variação da energia cinética:
Se o trabalho da força elétrica for positivo, o trabalho é motor e o movimento é espontâneo. Se for negativo, o trabalho é resistente e o movimento não é espontâneo.
- A força elétrica é conservativa. Logo, o trabalho realizado pela força elétrica entre dois pontos INDEPENDE da trajetória usada para realizar o deslocamento.
- CARGAS ELÉTRICAS POSITIVAS, abandonadas em repouso num campo elétrico e sujeitas apenas à força elétrica, deslocam-se espontaneamente para pontos de MENOR POTENCIAL (mesmo sentido das linhas de força).
- CARGAS ELÉTRICAS NEGATIVAS, abandonadas em repouso num campo elétrico e sujeitas apenas à força elétrica, deslocam-se espontaneamente para pontos de MAIOR POTENCIAL (sentido contrário ao das linhas de força).
- Em todo movimento espontâneo de cargas elétricas num campo elétrico, a energia potencial elétrica diminui.
- Percorrendo-se uma linha de força no seu sentido, o potencial elétrico ao longo de seus pontos diminui.
SUPERFÍCIE EQUIPOTENCIAL
São conjuntos de pontos no espaço que apresentam o mesmo potencial em relação à distribuição de cargas. As superfícies equipotenciais são perpendiculares às linhas de força, em cada ponto.
TRABALHO DA FORÇA ELÉTRICA EM CAMPOS ELÉTRICOS UNIFORMES
RESUMO DAS GRANDEZAS ELETROSTÁTICAS




